Скачать ОССЦЖ 81-01-05-2001 Часть 5. Материалы, изделия и конструкции для монтажных и специальных строительных работ (Книга 1)Дата актуализации: 10.08.2017 ОССЦЖ 81-01-05-2001
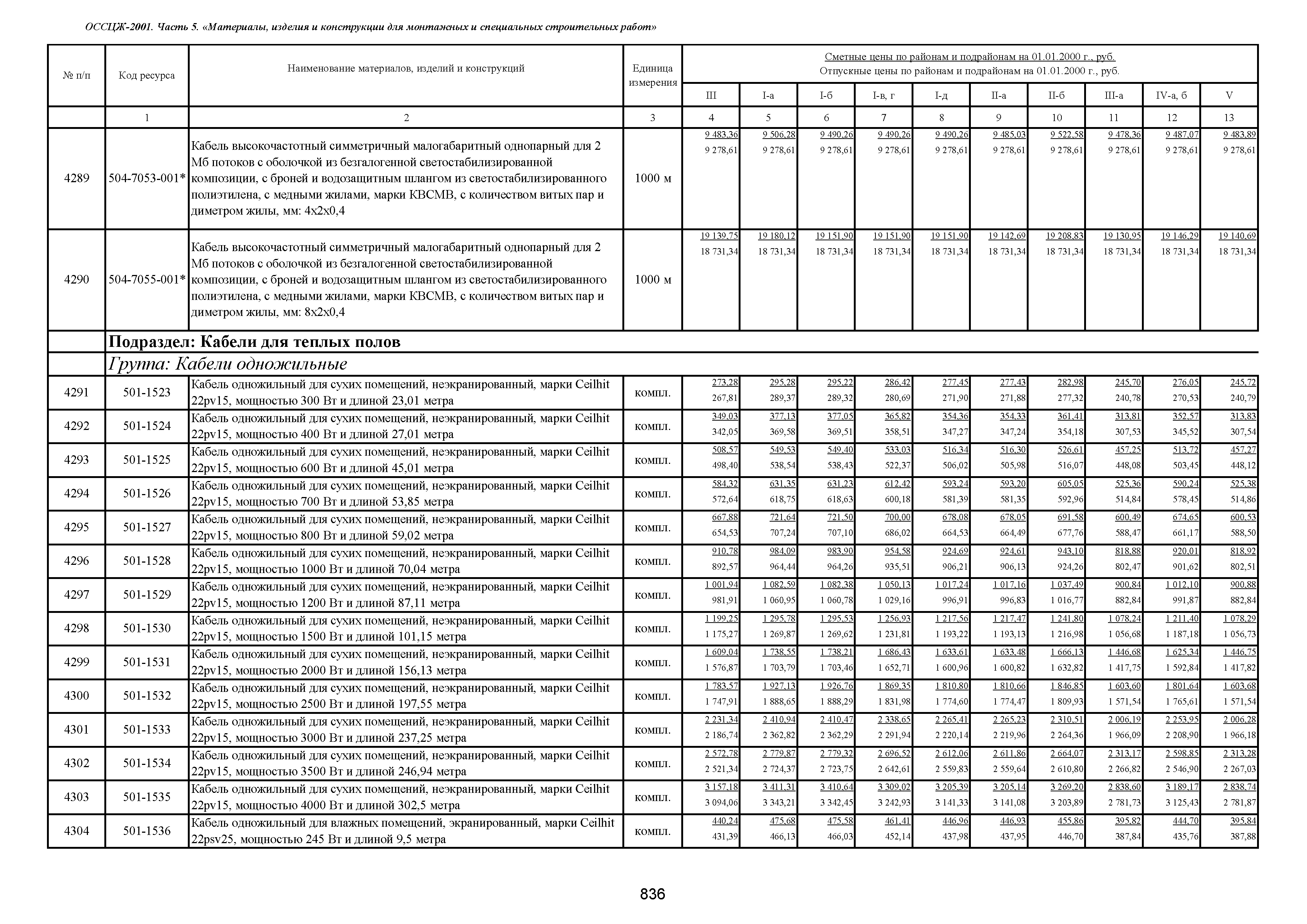
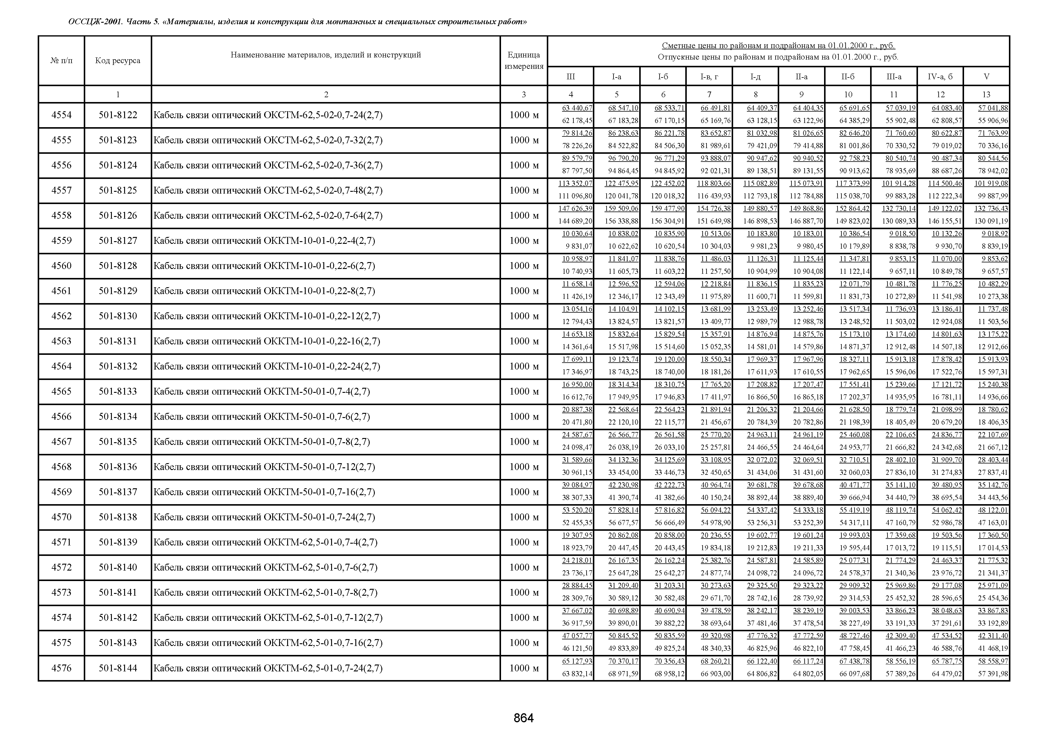
Часть 5. Материалы, изделия и конструкции для монтажных и специальных строительных работ (Книга 1)Обозначение: | ОССЦЖ 81-01-05-2001 | Обозначение англ: | 81-01-05-2001 | Статус: | действует | Название рус.: | Часть 5. Материалы, изделия и конструкции для монтажных и специальных строительных работ (Книга 1) | Дата добавления в базу: | 12.02.2016 | Дата актуализации: | 05.05.2017 | Дата введения: | 01.06.2011 | Область применения: | Отраслевые сметные цены на материалы, изделия и конструкции предназначены для определения сметной стоимости строительных (ремонтно-строительных) и монтажных работ, а также для определения стоимостных показателей отраслевых расценок на строительные, монтажные и ремонтно-строительные работы | Оглавление: | Раздел 5.01 Кабели Подраздел: Кабели для сигнализации и блокировки с медными жилами Подраздел: Кабели силовые Подраздел: Кабели силовые гибкие Подраздел: Кабели контроля Подраздел: Кабели связи Подраздел: Кабели для теплых полов Подраздел: Кабели связи низкочастотные Подраздел: Кабели коаксиальные магистральные Подраздел: Кабели высокочастотные дальней и внутризонной связи, кабели радиофикации и сельской телефонной связи Раздел 5.02 Провода, шнуры, проволока, шины и муфты кабельные Подраздел: Провода Подраздел: Шнуры Подраздел: Проволока Подраздел: Муфты кабельные Подраздел: Проволока, шины Раздел 5.03 Линейно-кабельные изделия связи Раздел 5.04 Электроконструкции | Разработан: | ОАО РЖД НО Национальная ассоциация стоимостного инжиниринга
| Утверждён: | 31.01.2011 ОАО РЖД (178р)
| Расположен в: |
|
                                                                                                                                                                                                                                                                                                                                                                                                                                                                                                                                                                                                                                                                                                                                                                                                                                                                                                                                                                                                                                                                                                         
|