Скачать ОССЦЖ 81-01-04-2001 Часть 4. Бетонные, железобетонные и керамические изделия, нерудные материалы, товарные бетоны и растворыДата актуализации: 10.08.2017 ОССЦЖ 81-01-04-2001
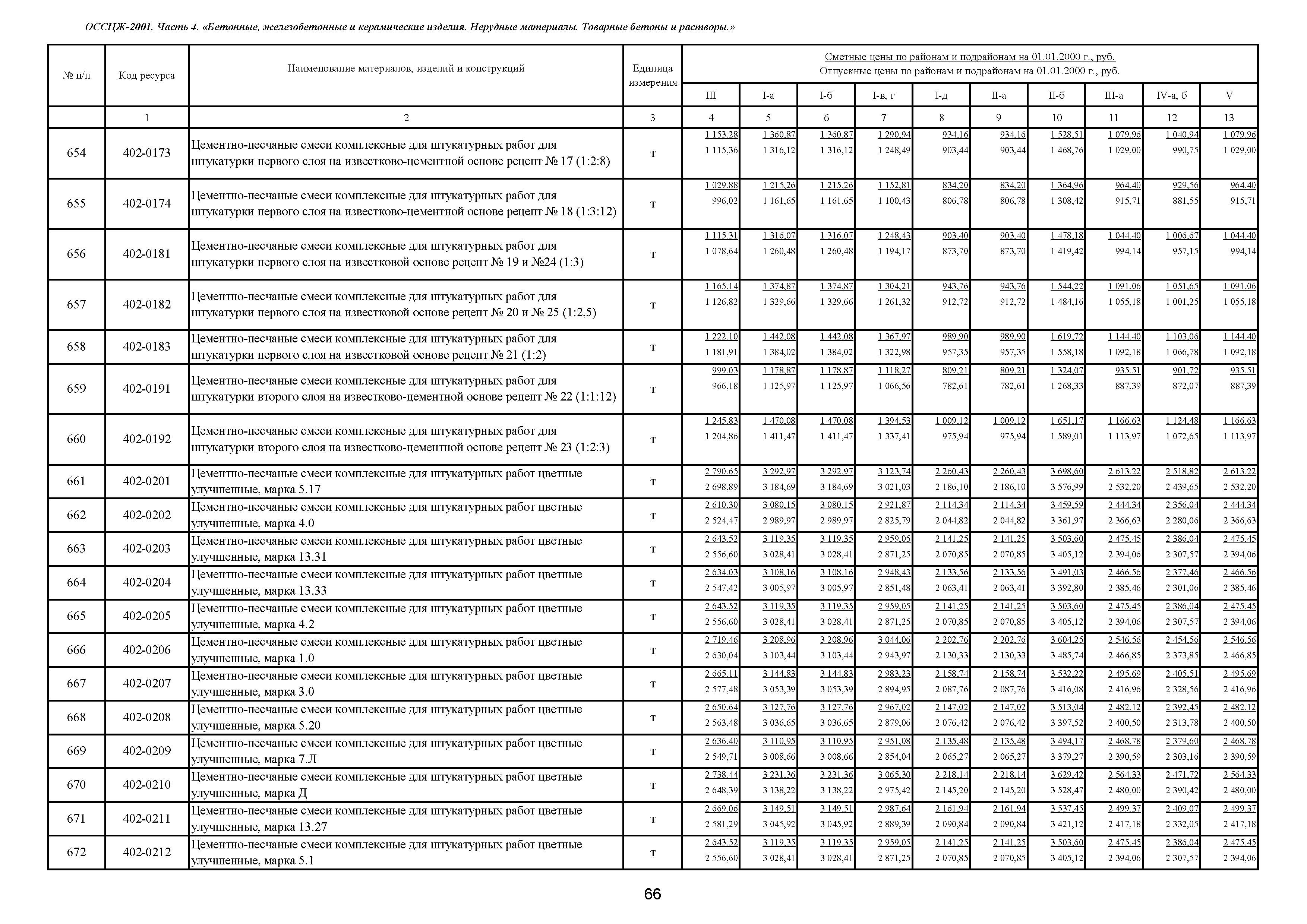
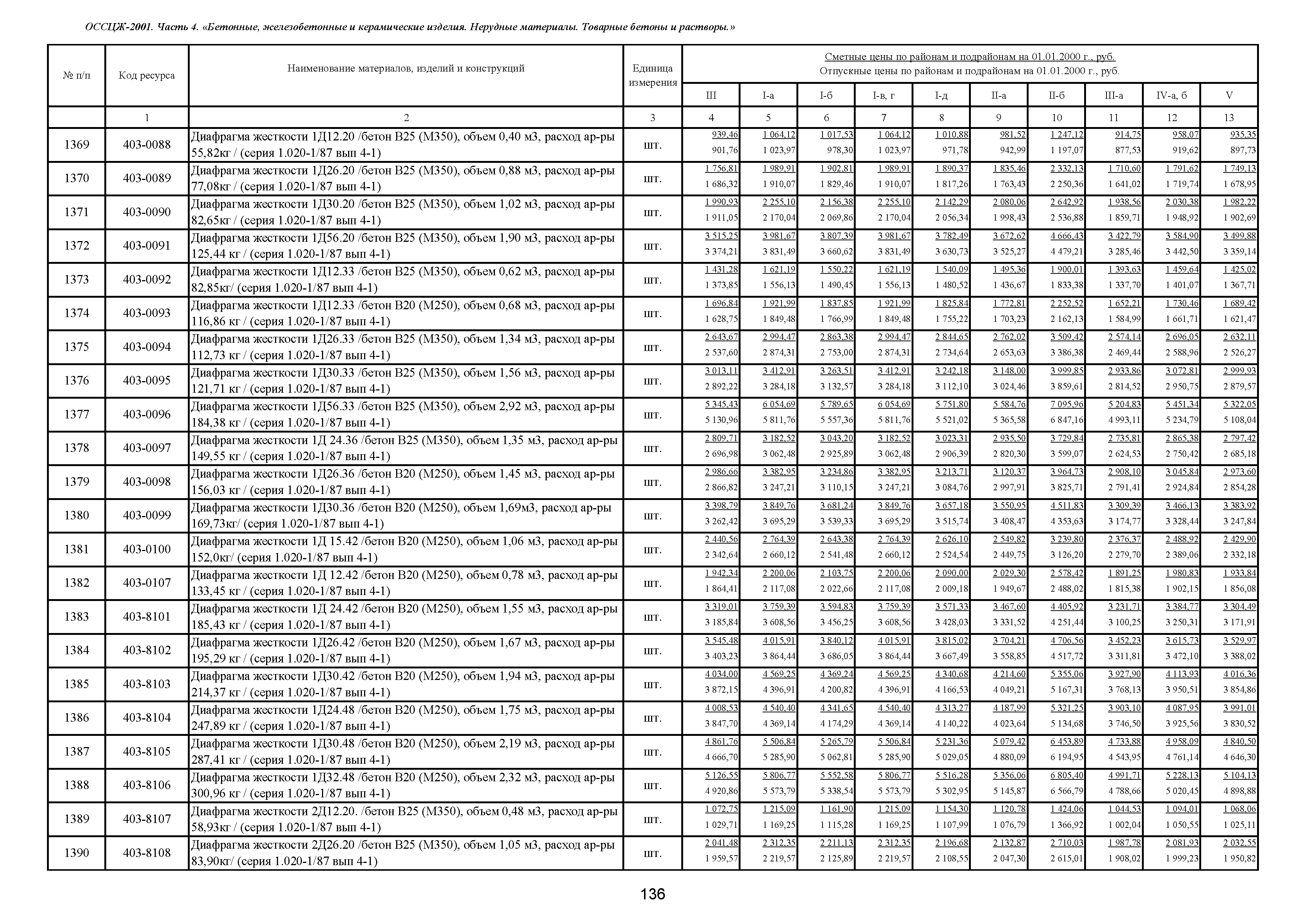
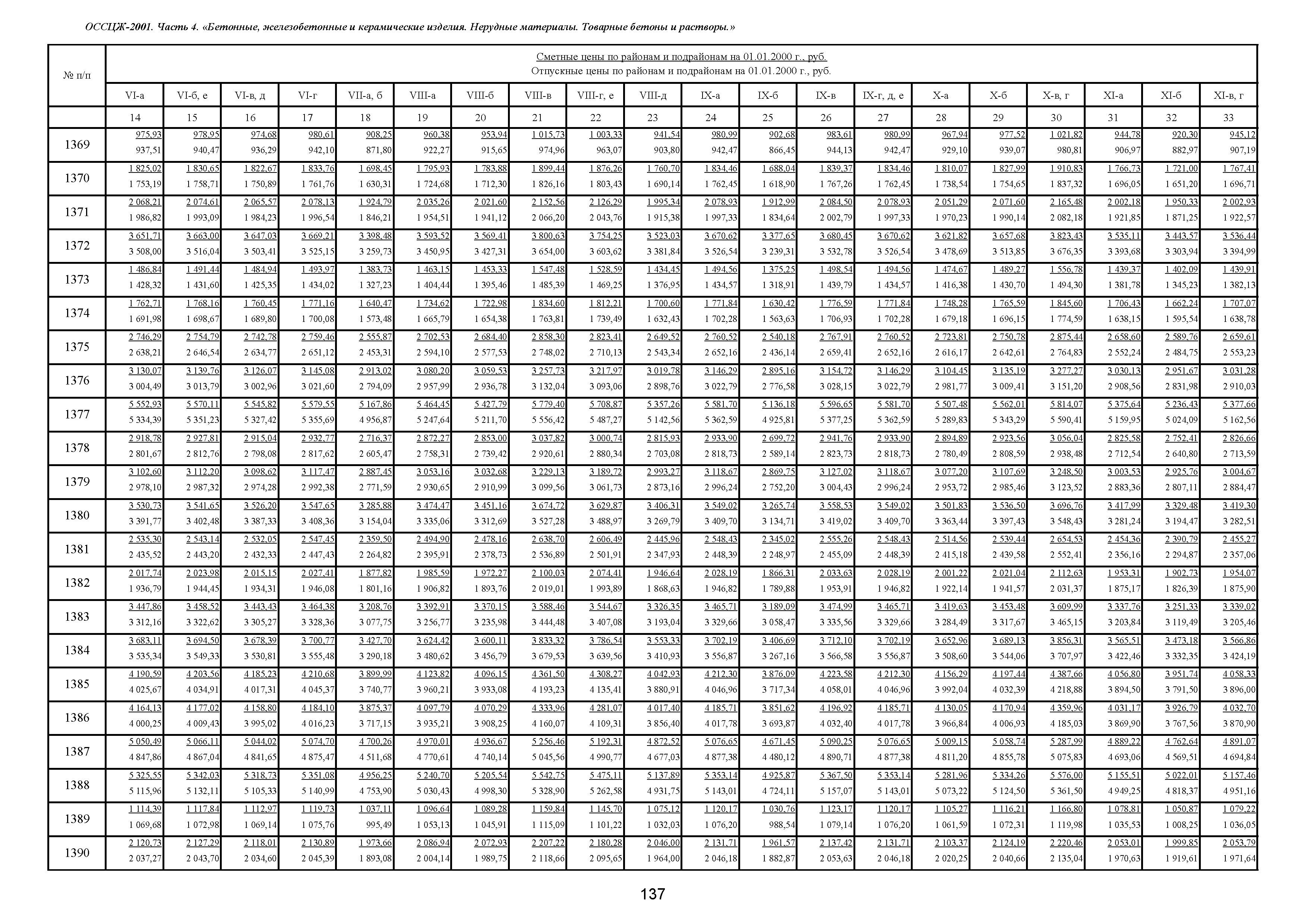
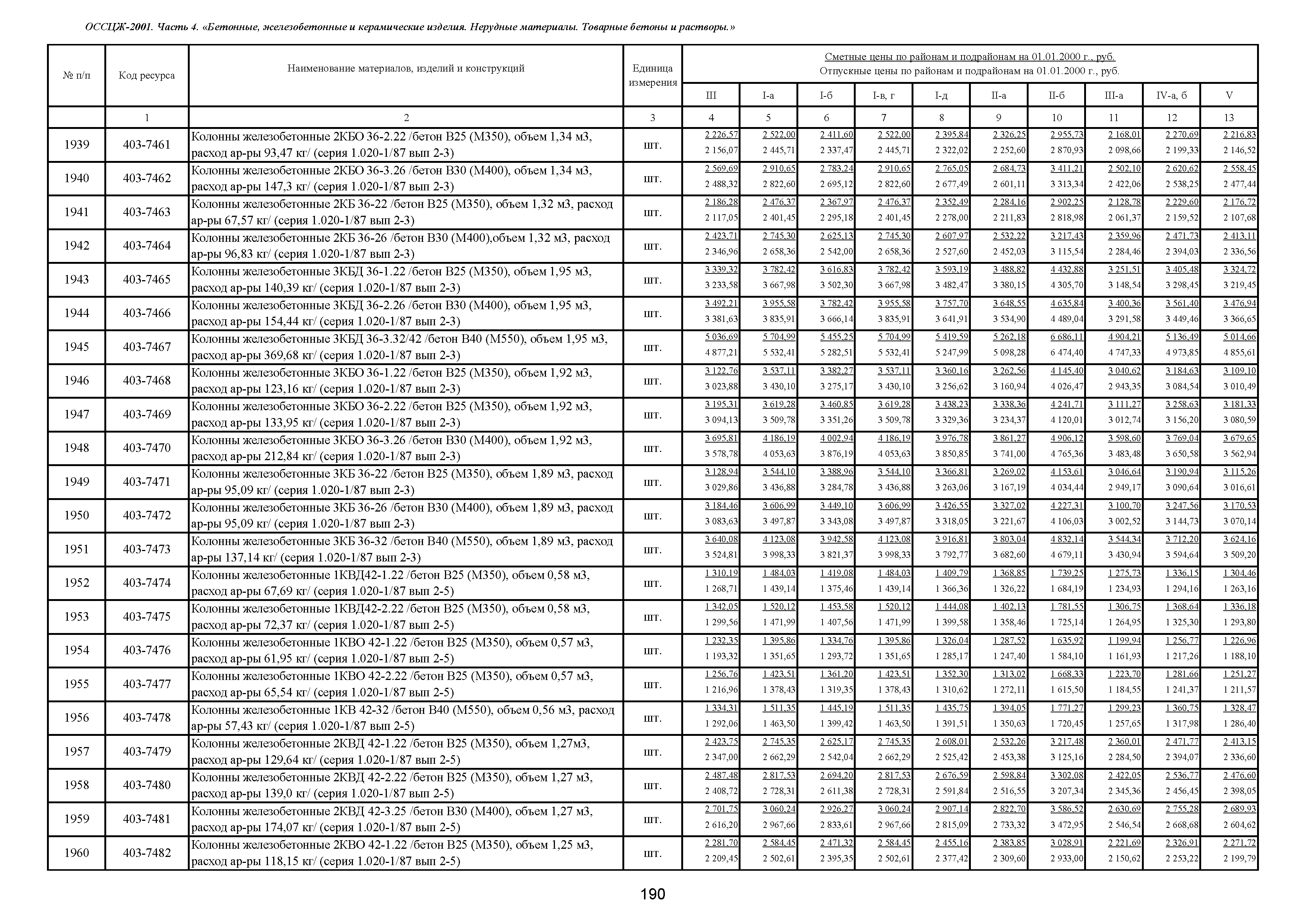
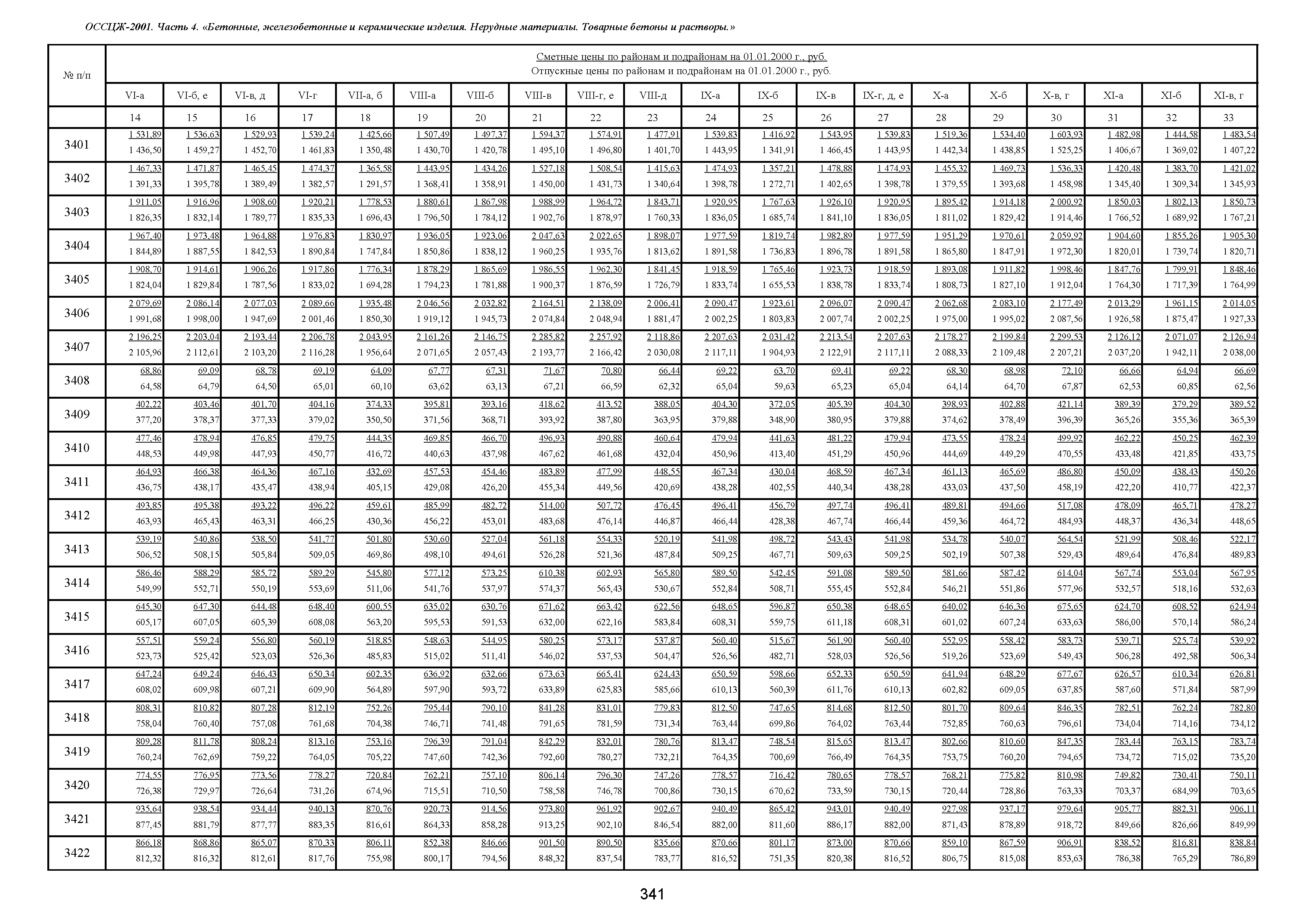
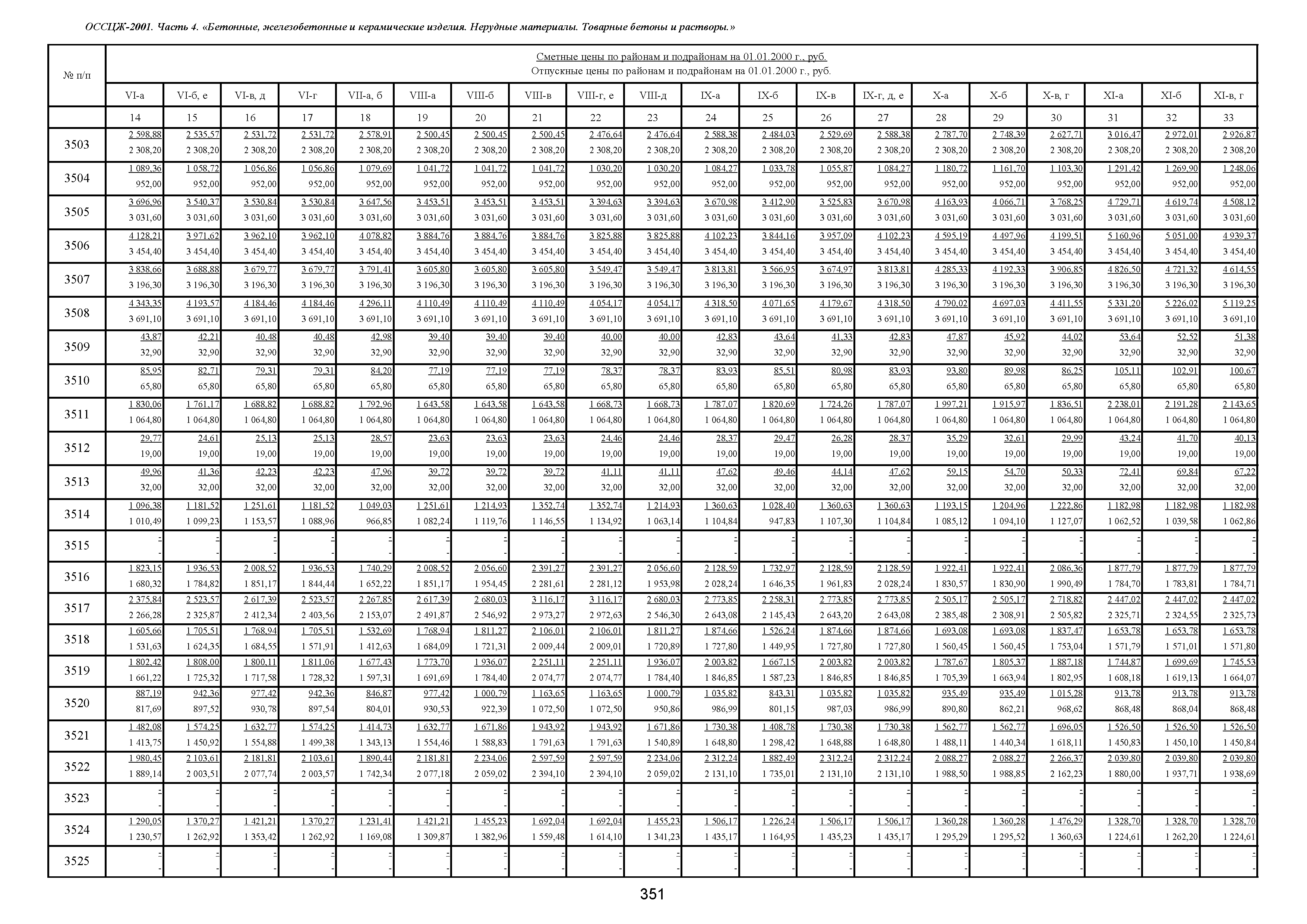
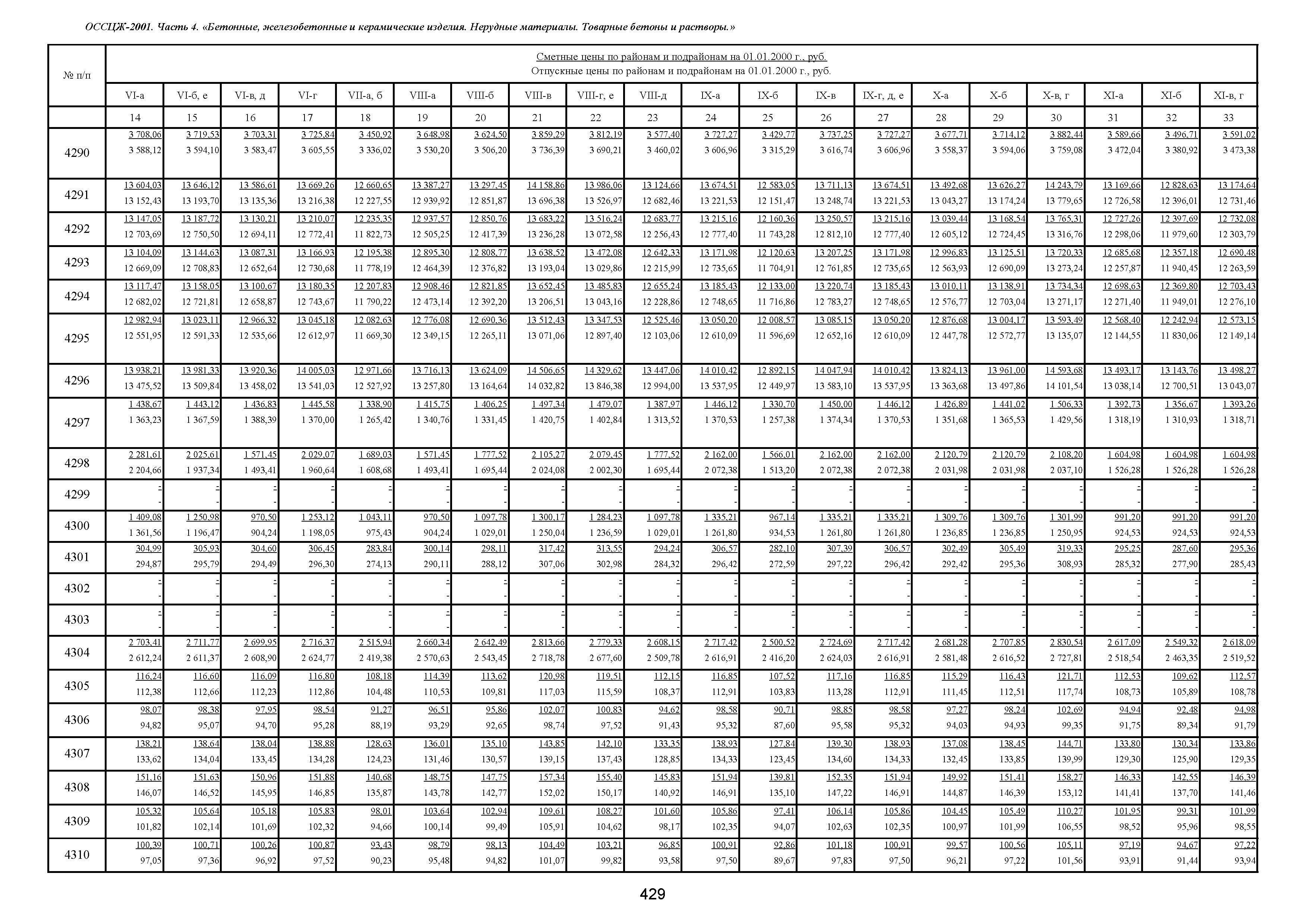
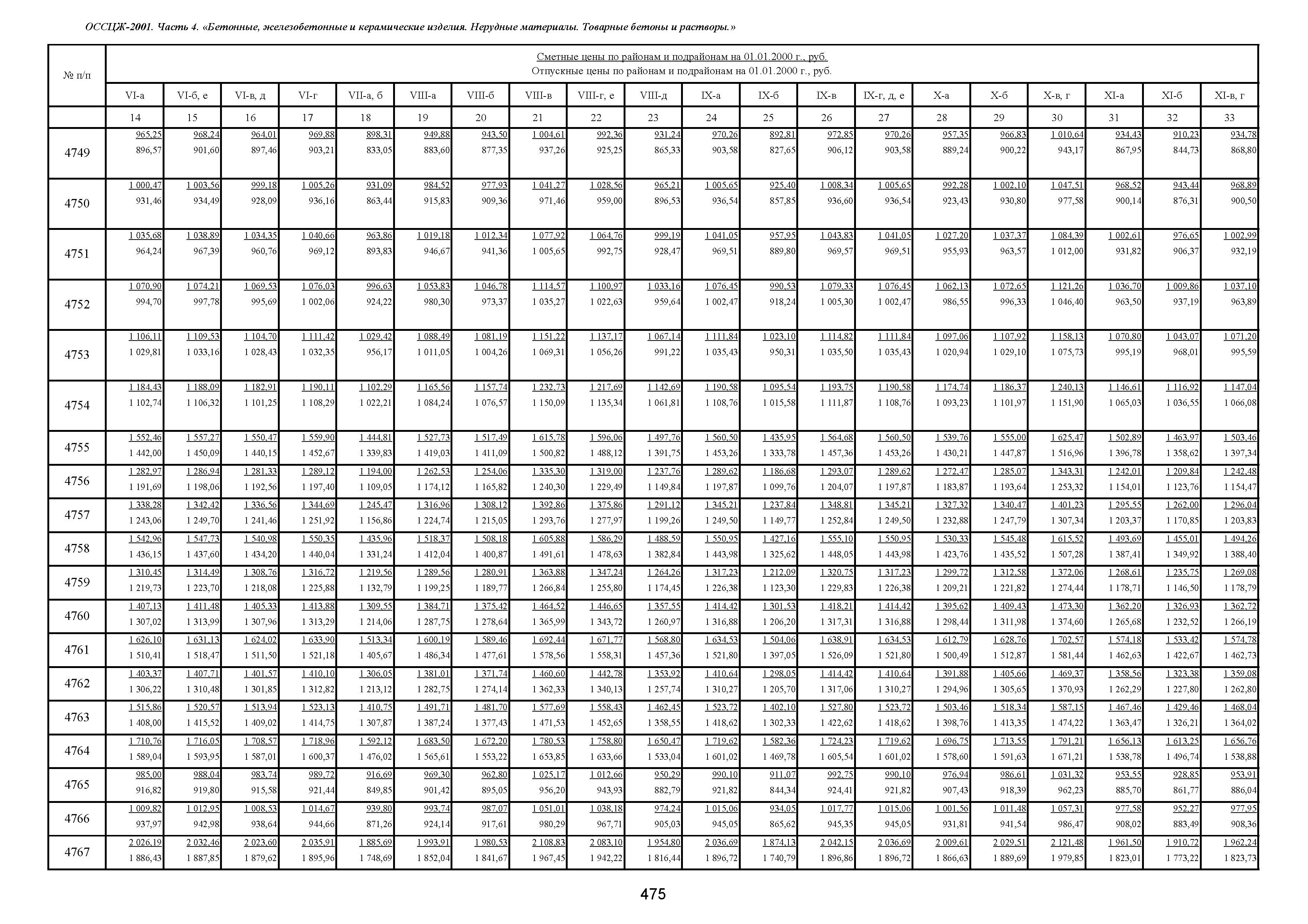
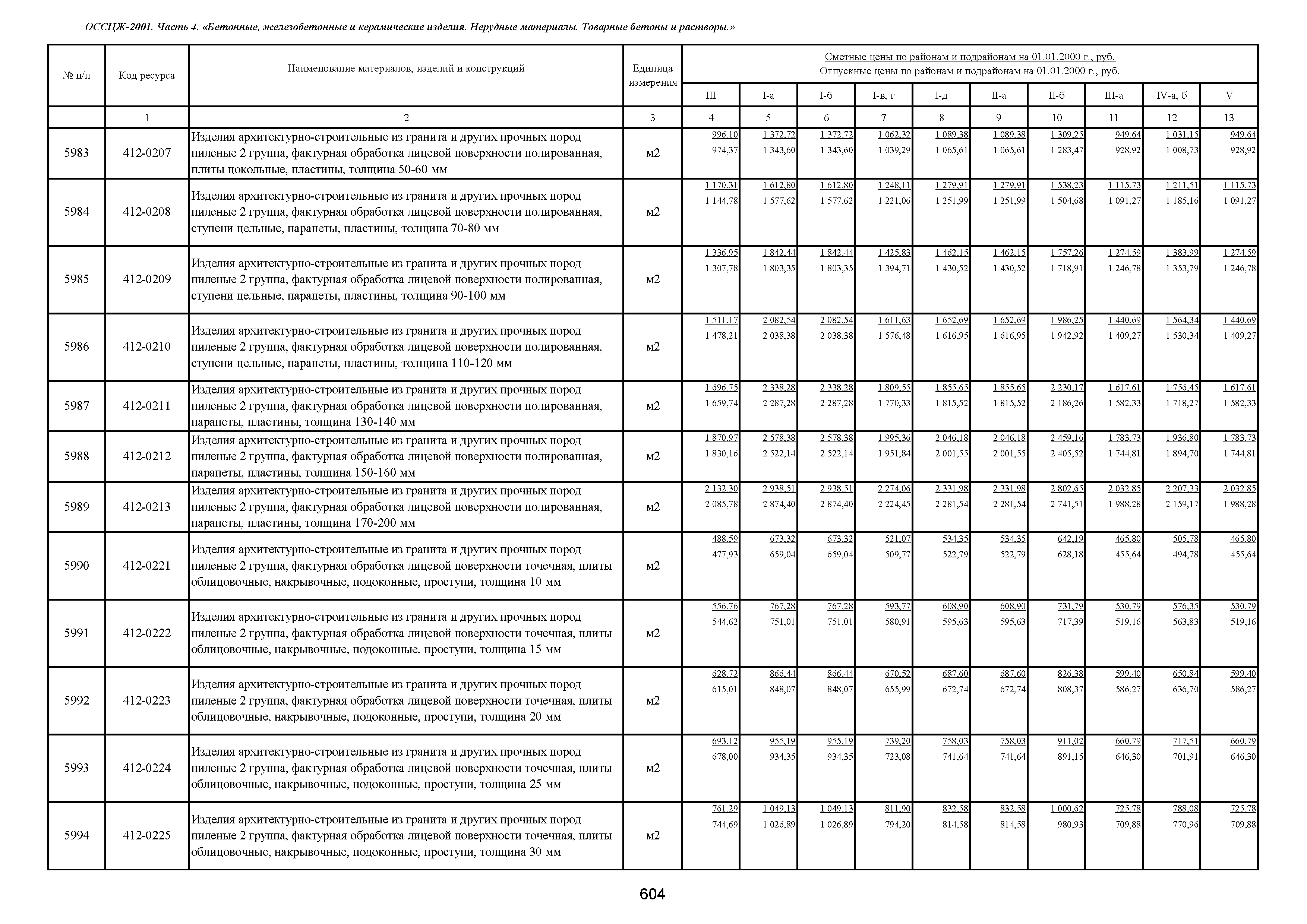
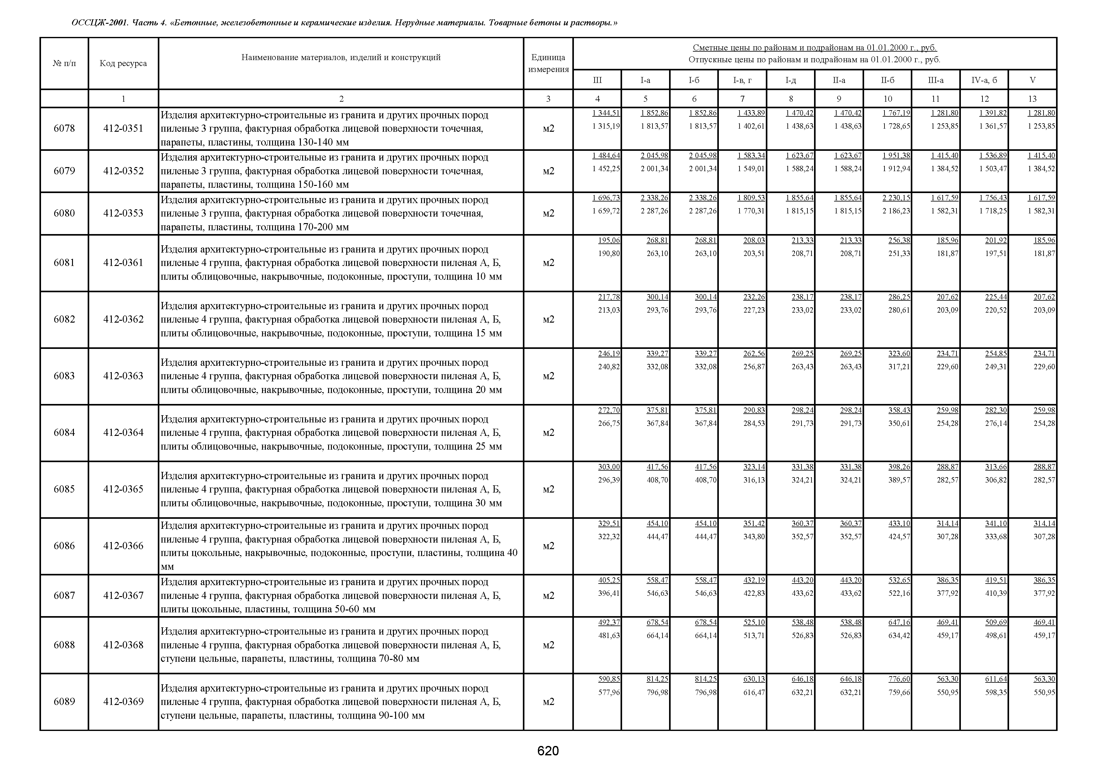
Часть 4. Бетонные, железобетонные и керамические изделия, нерудные материалы, товарные бетоны и растворыОбозначение: | ОССЦЖ 81-01-04-2001 | Обозначение англ: | 81-01-04-2001 | Статус: | действует | Название рус.: | Часть 4. Бетонные, железобетонные и керамические изделия, нерудные материалы, товарные бетоны и растворы | Дата добавления в базу: | 12.02.2016 | Дата актуализации: | 05.05.2017 | Дата введения: | 01.06.2011 | Область применения: | Отраслевые сметные цены на материалы, изделия и конструкции предназначены для определения сметной стоимости строительных (ремонтно-строительных) и монтажных работ, а также для определения стоимостных показателей отраслевых расценок на строительные, монтажные и ремонтно-строительные работы | Оглавление: | Раздел 4.01 Бетоны Подраздел: Бетоны готовые к употреблению Подраздел: Сухие бетонные смеси Раздел 4.02 Растворы строительные Подраздел: Растворы готовые к употреблению Подраздел: Сухие растворные смеси Раздел 4.03. Бетонные и железобетонные изделия Подраздел: Бетонные изделия Подраздел: Железобетонные изделия Раздел 4.04. Кирпич, камни, черепица Подраздел: Кирпич Подраздел: Камни, черепица Раздел 4.05. Известь и гипсовые вяжущие Раздел 4.06 Заполнители керамзитовые, шунгизитовые, аглопоритовые и другие Раздел 4.07. Земля, глина, торф, грунт, грунтовые смеси Раздел 4.08 Щебень, гравий, песок и смеси из природных материалов Подраздел: Щебень, гравий Подраздел: Песок Подраздел: Смеси Подраздел: Материалы из отсевов дробления изверженных и осадочных горных пород Раздел 4.09 Щебень, песок, шлак и смеси из металлургических шлаков Раздел 4.10 Продукция асфальтобетонная и асфальтобитумная Подраздел: Материалы Подраздел: Смеси асфальтобетонные дорожные, аэродромные и асфальтобетон Подраздел: Асфальт литой Раздел 4.11 Вода, пар, сжатый воздух, электроэнергия Раздел 4.12 Изделия облицовочные из природного камня Подраздел: Изделия архитектурно-строительные Подраздел: Плиты декоративные на основе природного камня Раздел 4.13 Камни бортовые, мостовые и стеновые из природного камня Раздел 4.14 Материалы для озеленения Раздел 4.15 Гипсовые и цементные изделия | Разработан: | ОАО РЖД НО Национальная ассоциация стоимостного инжиниринга
| Утверждён: | 31.01.2011 ОАО РЖД (178р)
| Расположен в: |
|
                                                                                                                                                                                                                                                                                                                                                                                                                                                                                                                                                                                                                                                                                                                                                                                                                      
|