Скачать ОССЦЖ 81-01-01-2001 Часть 1. Материалы для строительных работДата актуализации: 10.08.2017 ОССЦЖ 81-01-01-2001
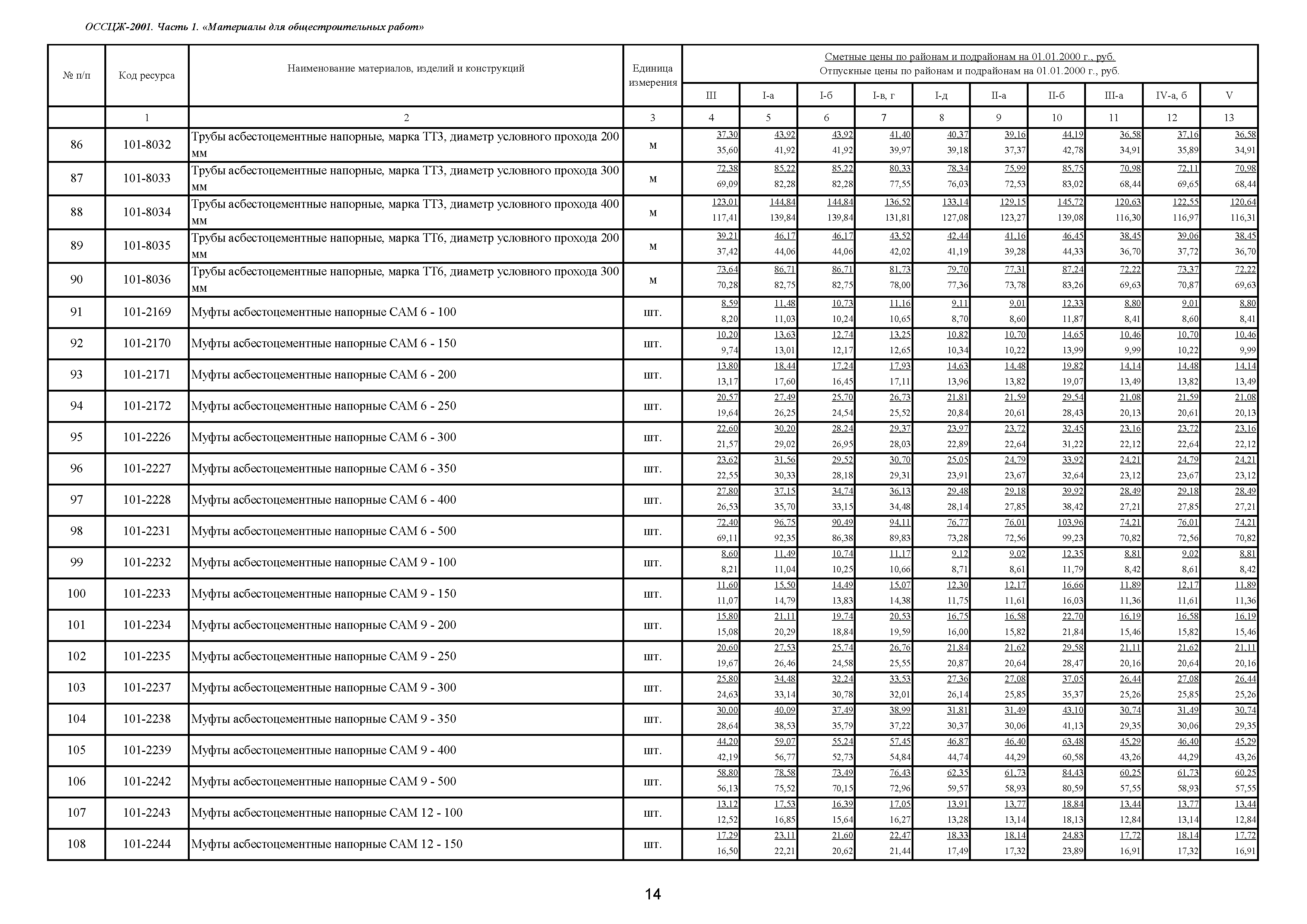
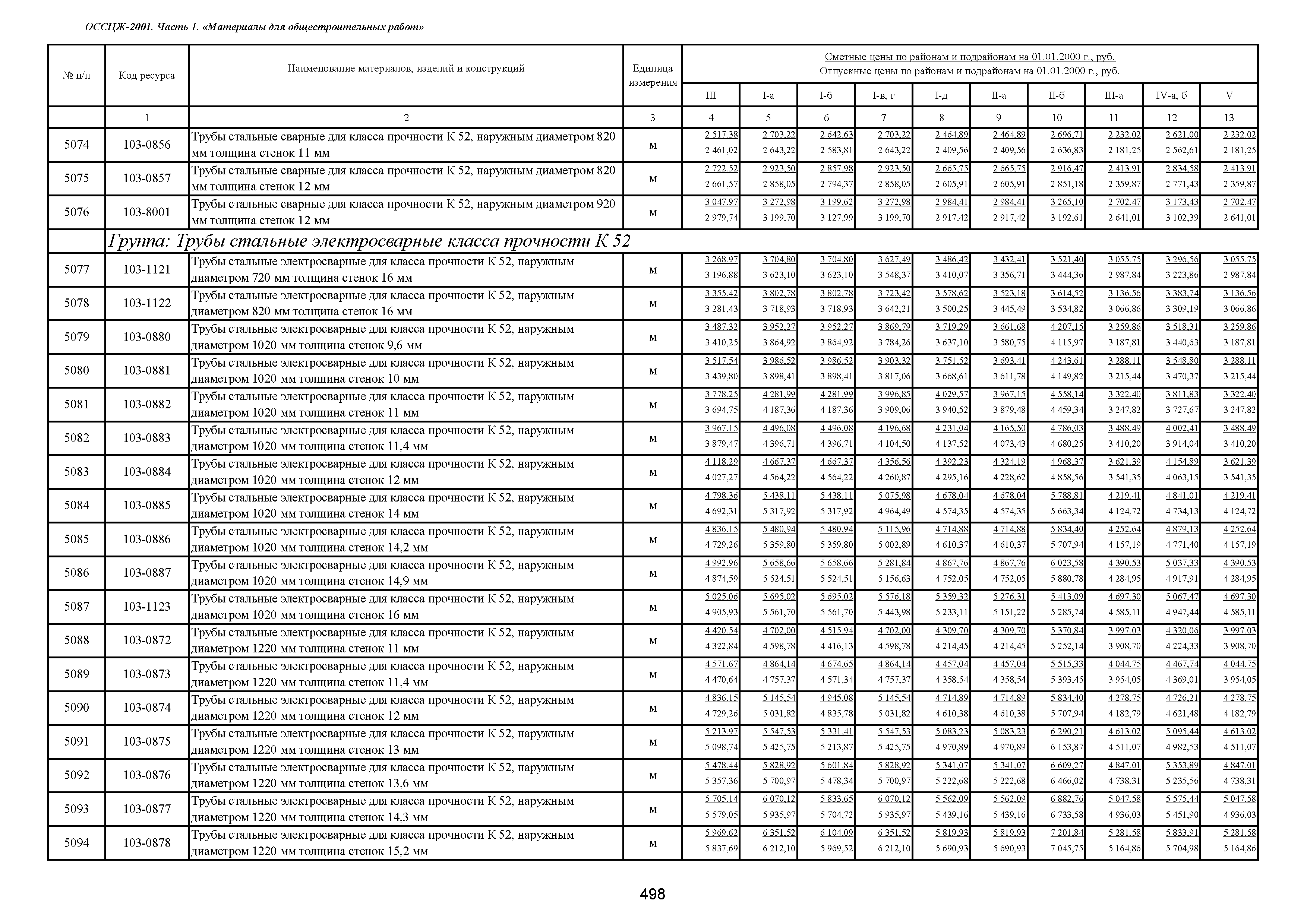
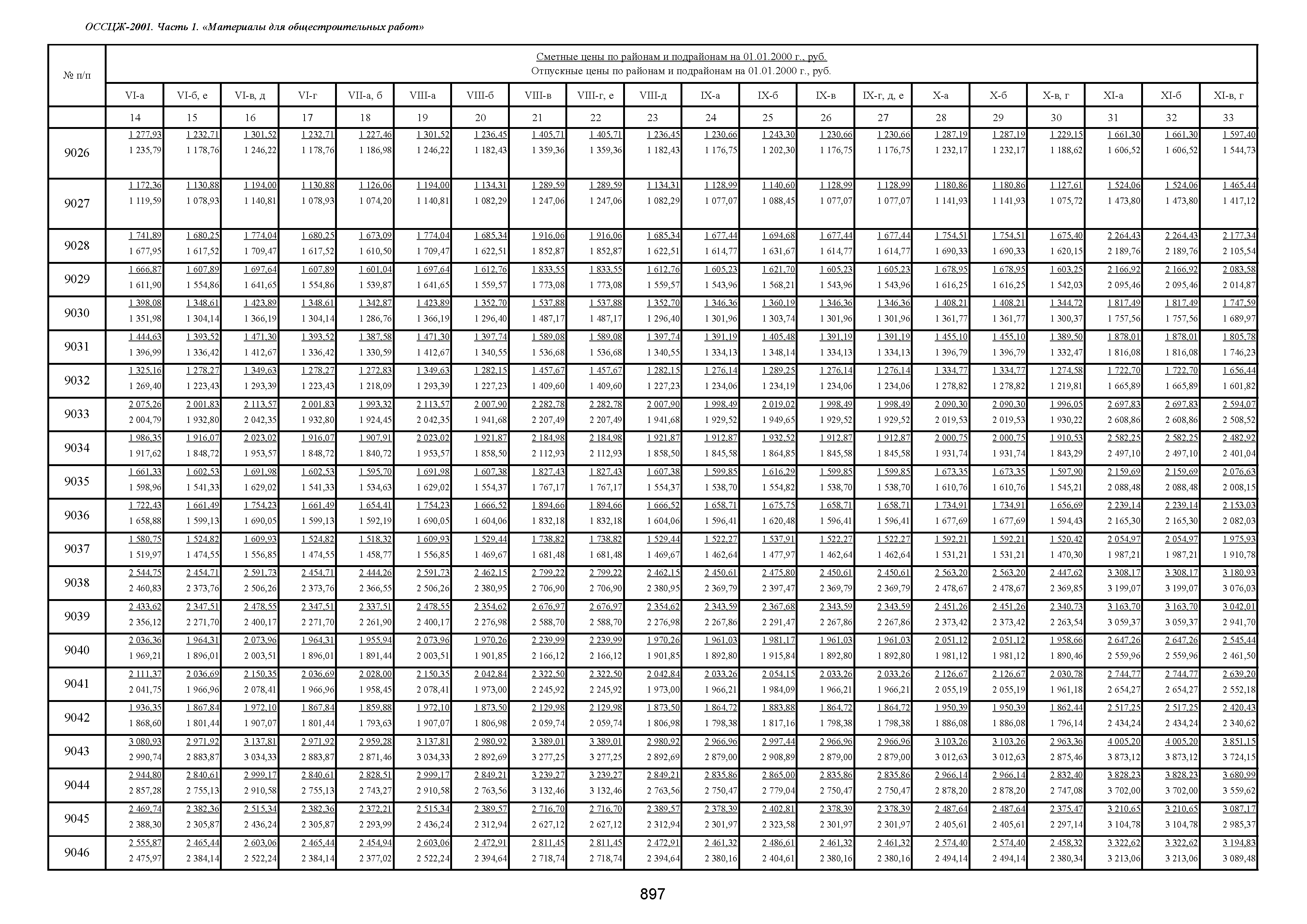
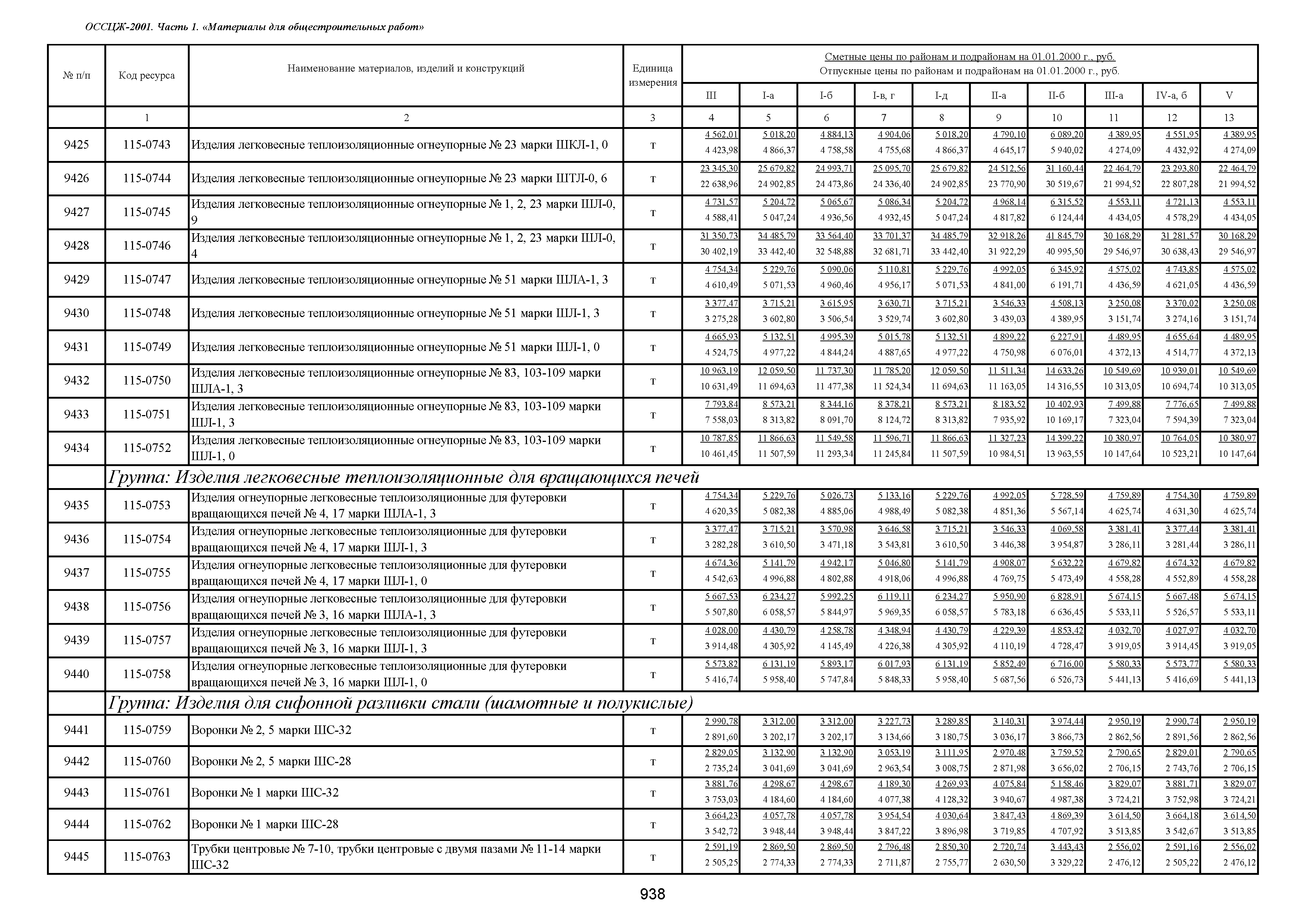
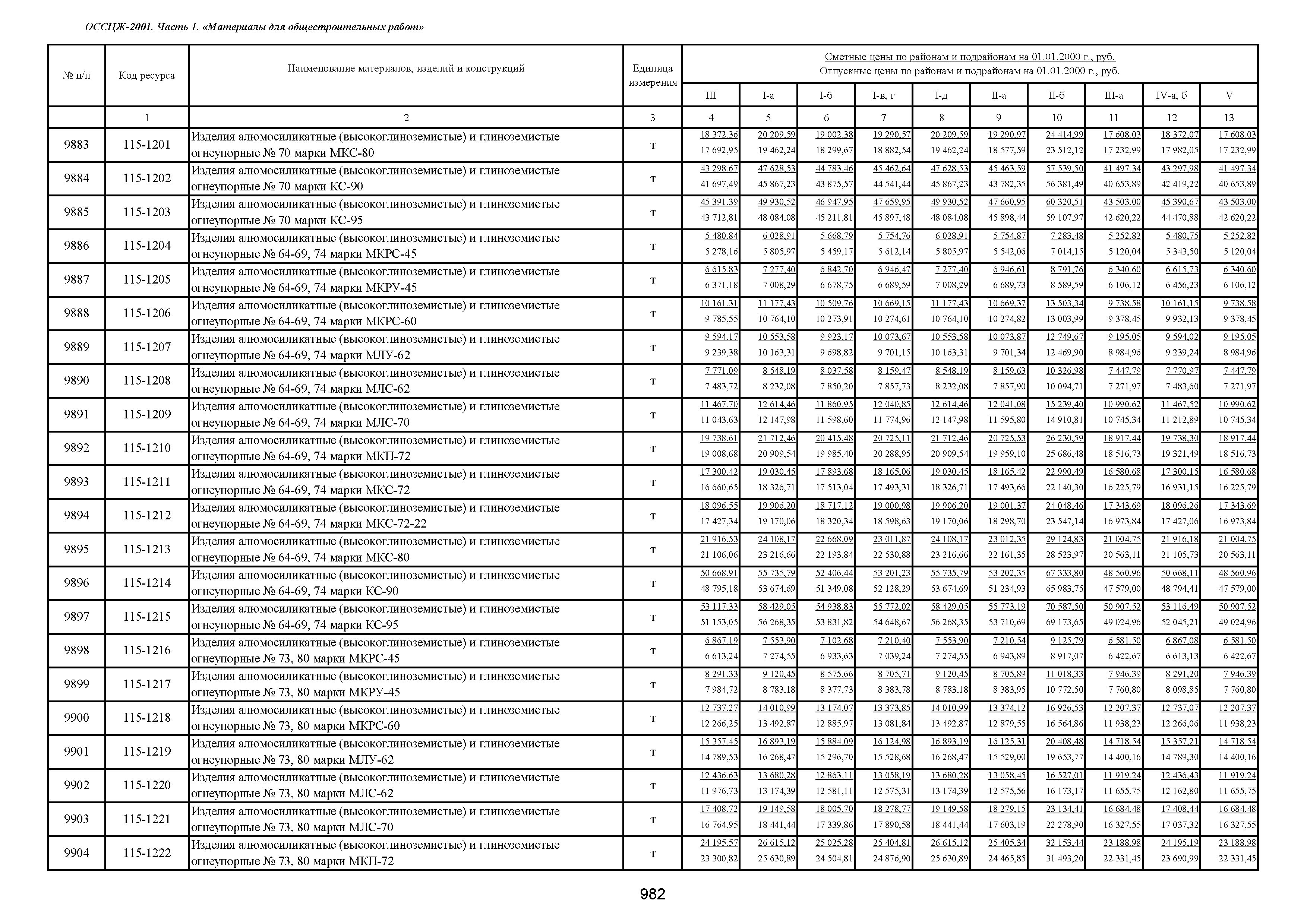
Часть 1. Материалы для строительных работОбозначение: | ОССЦЖ 81-01-01-2001 | Обозначение англ: | 81-01-01-2001 | Статус: | действует | Название рус.: | Часть 1. Материалы для строительных работ | Дата добавления в базу: | 12.02.2016 | Дата актуализации: | 05.05.2017 | Дата введения: | 01.06.2011 | Область применения: | Отраслевые сметные цены на материалы, изделия и конструкции предназначены для определения сметной стоимости строительных (ремонтно-строительных) и монтажных работ, а также для определения стоимостных показателей отраслевых расценок на строительные, монтажные и ремонтно-строительные работы | Оглавление: | Раздел 1.01. Материалы для общестроительных работ Подраздел: Материалы и изделия асбестосодержащие Подраздел: ГСМ, специальные жидкости, газы технические и реактивы Подраздел: Материалы и изделия общего назначения Подраздел: Битумы и битумная продукция Подраздел: Материалы для устройства кровли и гидроизоляции Подраздел: Вяжущие материалы и добавки Подраздел: Материалы отделочные Подраздел: Изделия керамические Подраздел: Резинотехнические изделия Подраздел: Материалы лакокрасочные Подраздел: Ленты Подраздел: Материалы для устройства полов Подраздел: Мастики, пасты Подраздел: Плиты Подраздел: Материалы гипсосодержащие Подраздел: Материалы для дорожного строительства Подраздел: Стекло строительное и изделия Подраздел: Металлоизделия Подраздел: Металлопрокат Подраздел: Материалы для сварочных работ Подраздел: Метизы Подраздел: Скобяные изделия Подраздел: Оснастка технологическая и инструментальная Подраздел: Опалубка, леса, подмости Раздел 1.02. Лесоматериалы Подраздел: Изделия общего назначения Подраздел: Пиломатериалы Подраздел: Лесоматериалы Раздел 1.03. Трубы стальные, чугунные, асбестоцементные, полимерные и керамические Подраздел: Трубы стальные водогазопроводные с резьбой черные Подраздел: Трубы стальные водогазопроводные с резьбой оцинкованные Подраздел: Трубы стальные электросварные Подраздел: Трубы сварные для магистральных газонефтепроводов Подраздел: Трубы стальные бесшовные Подраздел: Трубы чугунные Подраздел: Трубы прочие Подраздел: Фасонные соединительные части и прочие детали Раздел 1.04. Материалы для теплоизоляционных работ Подраздел: Материалы теплоизоляционные Подраздел: Конструкции и изделия теплоизоляционные Раздел 1.05. Материалы верхнего строения пути железных дорог широкой колеи Подраздел: Метизы Подраздел: Прочие материалы и изделия Подраздел: Рельсы Раздел 1.06. Материалы верхнего строения пути железных дорог узкой колеи Раздел 1.07. Материалы верхнего строения трамвайных путей Раздел 1.08. Материалы для метрополитенов и тоннелей Подраздел: Материалы для тоннельных работ Подраздел: Материалы и изделия для путевых работ Раздел 1.09. Материалы для горнопроходческих работ Раздел 1.10. Материалы для сооружений связи Подраздел: Материалы для сооружения связи Подраздел: Изоляторы Раздел 1.11. Материалы и изделия для сигнализаций, централизации, автоблокировки и электрификации железных дорог Подраздел: Материалы Подраздел: Изделия Раздел 1.12. Материалы для взрывных общестроительных и горнопроходческих работ Раздел 1.13. Материалы для антикоррозионных и защитных покрытий Раздел 1.14. Материалы для удобрения и химических средств защиты растений Раздел 1.15. Огнеупорные материалы и изделия Подраздел: Изделия кремнеземистые (динасовые) Подраздел: Алюмосиликатные изделия Подраздел: Изделия алюмосиликатные (высокоглиноземистые) и глиноземистые Подраздел: Изделия высокомагнезиальные, магнезиально-шпинелидные и магнезиально-силикатные Подраздел: Изделия углеродистые Подраздел: Изделия карбидкремниевые Подраздел: Изделия цирконистые Подраздел: Прочие изделия Подраздел: Огнеупоры неформованные Подраздел: Мертели огнеупорные и высокоогнеупорные Подраздел: Заполнители Подраздел: Огнеупорное сырье Раздел 1.16. Малые архитектурные формы Подраздел: Малые архитектурные формы Раздел 1.20. Специализированные изделия из композиционных материалов Подраздел: Изделия из композиционных материалов | Разработан: | ОАО РЖД НО Национальная ассоциация стоимостного инжиниринга
| Утверждён: | 31.01.2011 ОАО РЖД (178р)
| Расположен в: |
|
                                                                                                                                                                                                                                                                                                                                                                                                                                                                                                                                                                                                                                                                                                                                                                                                                                                                                                                                                                                                                                                                                                                                                                                                                         
|