Скачать ОЕРЖ 81-02-43-2001 Часть 43. Судовозные пути стапелей и слипов. Книга 2 (Уральский, Западно-Сибирский, Восточно-Сибирский, Дальневосточный территориальные районы)Дата актуализации: 10.08.2017 ОЕРЖ 81-02-43-2001
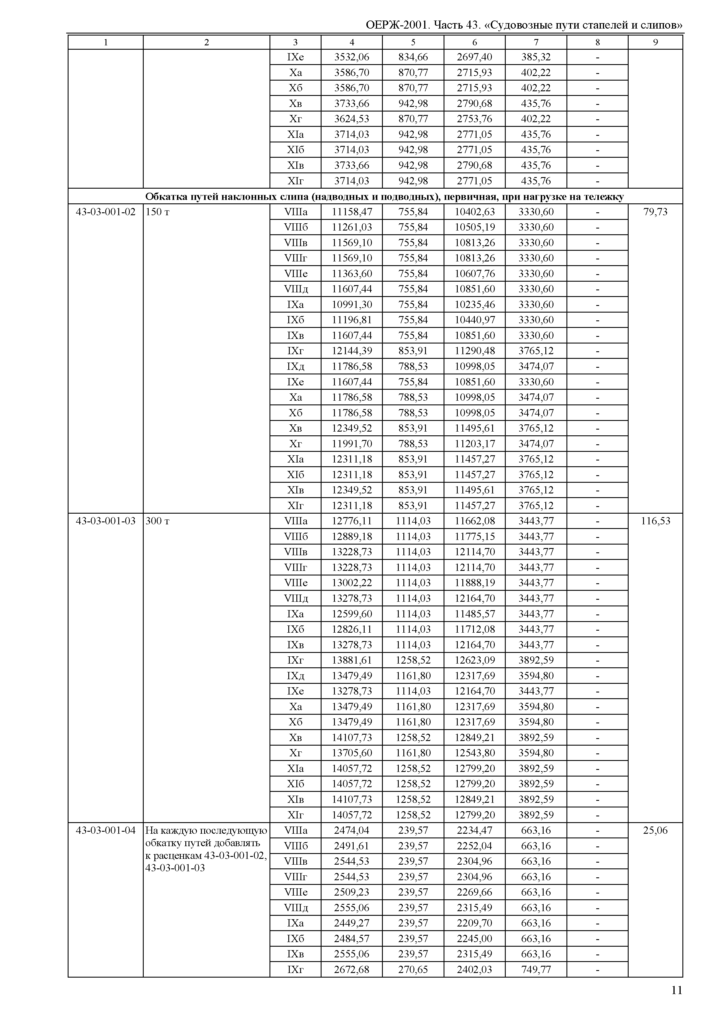
Часть 43. Судовозные пути стапелей и слипов. Книга 2 (Уральский, Западно-Сибирский, Восточно-Сибирский, Дальневосточный территориальные районы)Обозначение: | ОЕРЖ 81-02-43-2001 | Обозначение англ: | 81-02-43-2001 | Статус: | действует | Название рус.: | Часть 43. Судовозные пути стапелей и слипов. Книга 2 (Уральский, Западно-Сибирский, Восточно-Сибирский, Дальневосточный территориальные районы) | Дата добавления в базу: | 12.02.2016 | Дата актуализации: | 05.05.2017 | Дата введения: | 01.06.2011 | Область применения: | Отраслевые единичные расценки на строительные и специальные строительные работы предназначены для определения затрат при выполнении строительных работ и составления на их основе сметных расчетов (смет) на производство указанных работ. | Оглавление: | Раздел 1. Судовозные рельсовые пути Раздел 2. Глухие пересечения путей в одном уровне Раздел 3. Обкатка пути Раздел 4. Спусковые дорожки стапелей | Разработан: | ОАО РЖД НО Национальная ассоциация стоимостного инжиниринга
| Утверждён: | 31.01.2011 ОАО РЖД (178р)
| Расположен в: |
|
             
|