Скачать ОЕРЖ 81-02-41-2001 Часть 41. Гидроизоляционные работы в гидротехнических сооружениях. Книга 1 (Северный, Северо-Западный, Центральный, Волго-Вятский, Центрально-Черноземный, Поволжский, Северо-Кавказский территориальные районы)Дата актуализации: 10.08.2017 ОЕРЖ 81-02-41-2001
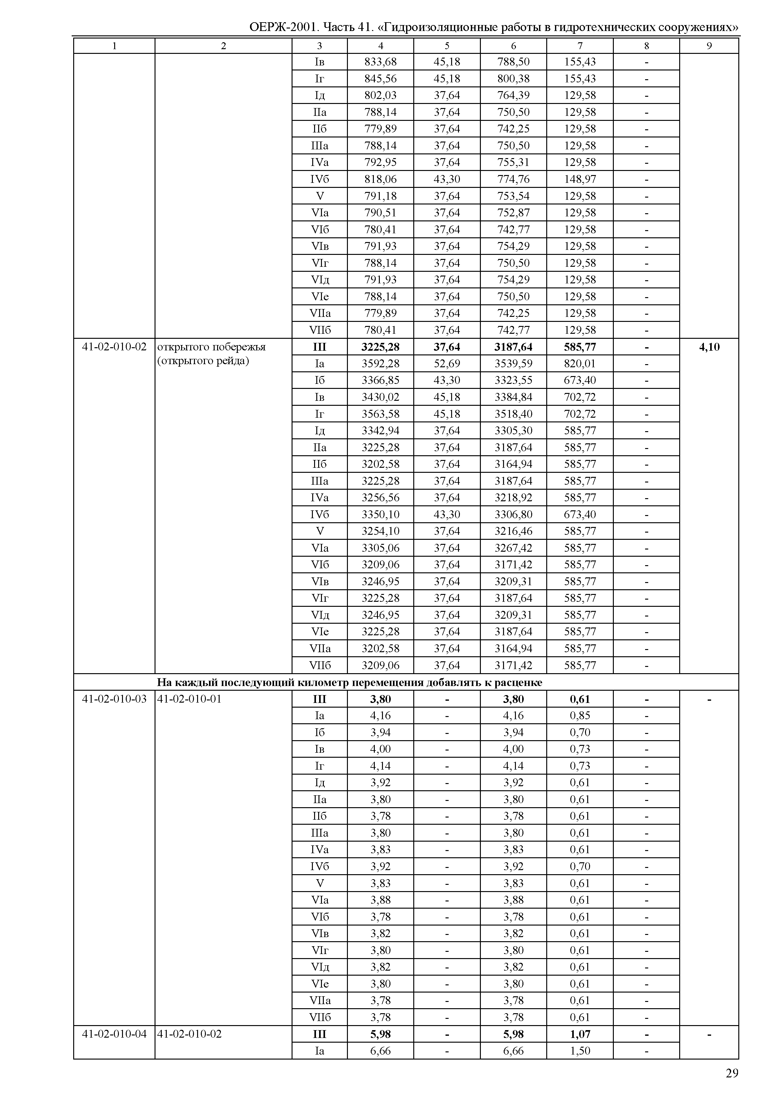
Часть 41. Гидроизоляционные работы в гидротехнических сооружениях. Книга 1 (Северный, Северо-Западный, Центральный, Волго-Вятский, Центрально-Черноземный, Поволжский, Северо-Кавказский территориальные районы)Обозначение: | ОЕРЖ 81-02-41-2001 | Обозначение англ: | 81-02-41-2001 | Статус: | действует | Название рус.: | Часть 41. Гидроизоляционные работы в гидротехнических сооружениях. Книга 1 (Северный, Северо-Западный, Центральный, Волго-Вятский, Центрально-Черноземный, Поволжский, Северо-Кавказский территориальные районы) | Дата добавления в базу: | 12.02.2016 | Дата актуализации: | 05.05.2017 | Дата введения: | 01.06.2011 | Область применения: | Отраслевые единичные расценки на строительные и специальные строительные работы предназначены для определения затрат при выполнении строительных работ и составления на их основе сметных расчетов (смет) на производство указанных работ. | Оглавление: | Раздел 1. Гидроизоляционные работы в речных гидротехнических сооружениях Подраздел 1.1 Штукатурная изоляция бетонных поверхностей Подраздел 1.2 Оклеечная изоляция бетонных поверхностей Подраздел 1.3 Окрасочная изоляция бетонных поверхностей Подраздел 1.4 Уплотнение деформационных швов в напорных гидротехнических сооружениях Подраздел 1.5 Изготовление гидроизоляционных материалов Раздел 2. Гидроизоляционные работы в морских гидротехнических сооружений Подраздел 2.1 Окрасочная изоляция Подраздел 2.2 Теплоизоляция битумно-шлаковой смесью (БШС) Подраздел 2.3 Оклеечная изоляция Подраздел 2.4 Покрытие металлических конструкций гидротехнических сооружений грунтовками, эмалями, лаками и красками | Разработан: | ОАО РЖД НО Национальная ассоциация стоимостного инжиниринга
| Утверждён: | 31.01.2011 ОАО РЖД (178р)
| Расположен в: |
|
                                          
|