Скачать ОЕРЖ 81-02-27-2001 Часть 27. Автомобильные дороги. Книга 2 (Уральский, Западно-Сибирский, Восточно-Сибирский, Дальневосточный территориальные районы)Дата актуализации: 10.08.2017 ОЕРЖ 81-02-27-2001
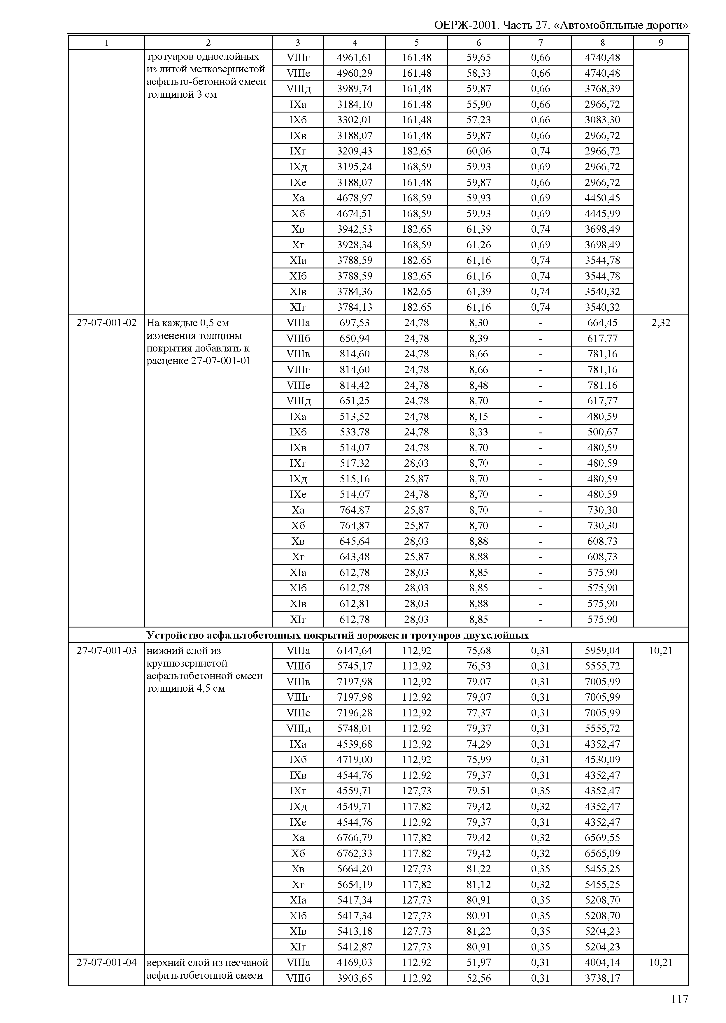
Часть 27. Автомобильные дороги. Книга 2 (Уральский, Западно-Сибирский, Восточно-Сибирский, Дальневосточный территориальные районы)Обозначение: | ОЕРЖ 81-02-27-2001 | Обозначение англ: | 81-02-27-2001 | Статус: | действует | Название рус.: | Часть 27. Автомобильные дороги. Книга 2 (Уральский, Западно-Сибирский, Восточно-Сибирский, Дальневосточный территориальные районы) | Дата добавления в базу: | 12.02.2016 | Дата актуализации: | 05.05.2017 | Дата введения: | 01.06.2011 | Область применения: | Отраслевые единичные расценки на строительные и специальные строительные работы предназначены для определения затрат при выполнении строительных работ и составления на их основе сметных расчетов (смет) на производство указанных работ. | Оглавление: | Часть 27. Автомобильные дороги Раздел 1. Основания и покрытия из грунтов, укрегiляемых вяжущими материалами Подраздел 1.1 Основания и покрытия из грунтов, укрепляемых органическими вяжущими материалами Подраздел 1.2 Основания и покрытия из грунтов, укрепляемых неорганическими вяжущими материалами Раздел 2. Дренажные и водосбросные устройства Раздел 3. Подготовка существующих оснований и покрытий под черные щебеночные (гравийные) и асфальтобетонные покрытия (при реконструкции) Подраздел 3.1 Исправление профиля оснований Подраздел 3.2 Разборка существующих сооружений Раздел 4. Подстилающие, выравнивающие слои основания и покрытия Подраздел 4.1 Подстилающие и выравнивающие слои основания Подраздел 4.2 Основания и покрытия из гравийных, песчано-гравийных и щебеночно-песчаных смесей Подраздел 4.3 Основания и покрытия из щебеночных материалов Подраздел 4.4 Основания и покрытия, устраиваемые на крутых склонах Раздел 5. Устройство мостовых и подзоров Подраздел 5.1 Устройство мостовых Подраздел 5.2 Мощеные подзоры и отмостки Раздел 6. Устройство оснований и покрытий Подраздел 6.1 Жесткие дорожные одежды Подраздел 6.2 Нежесткие дорожные одежды Раздел 7. Дорожки и тротуары Раздел 8. Укрепительные полосы у краев дорожных покрытий и укрепление обочин Раздел 9. Обустройство дорог Подраздел 9.1 Защитные ограждения дорог Подраздел 9.2 Дорожные знаки Подраздел 9.3 Разметка Раздел 10. Приготовление материалов Раздел 11. Дороги, колесопроводы, эстакады, слани и разъезды на болотах. Раздел 12. Устройство временных дорог Подраздел 12.1 Устройство временных грунтовых и лежневых дорог Подраздел 12.2 Дороги колейные из сборных железобетонных плит | Разработан: | ОАО РЖД НО Национальная ассоциация стоимостного инжиниринга
| Утверждён: | 31.01.2011 ОАО РЖД (178р)
| Расположен в: |
|
                                                                                                                                                                                                               
|