Скачать ОЕРЖ 81-02-23-2001 Часть 23. Канализация - наружные сети. Книга 1 (Северный, Северо-Западный, Центральный, Волго-Вятский, Центрально-Черноземный, Поволжский, Северо-Кавказский территориальные районы)Дата актуализации: 10.08.2017 ОЕРЖ 81-02-23-2001
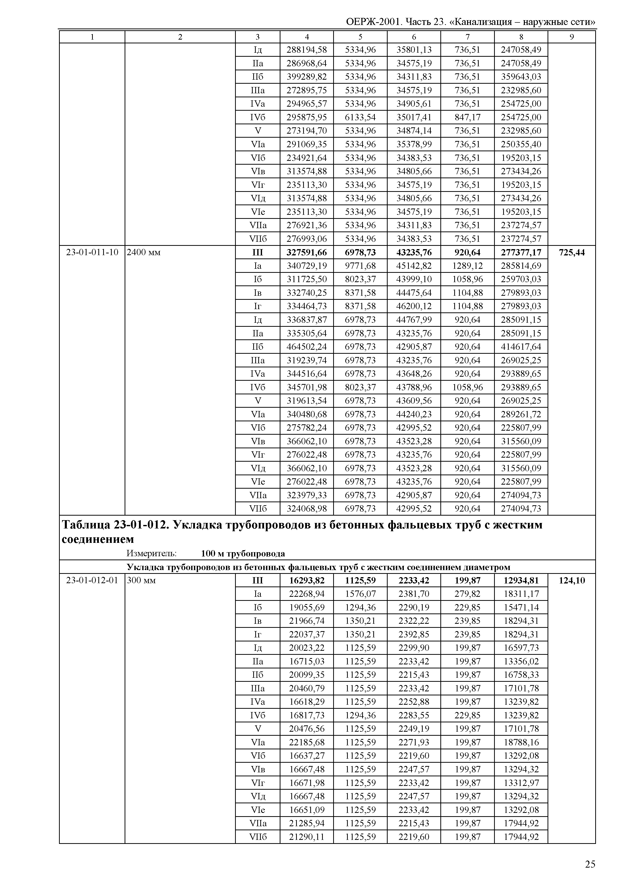
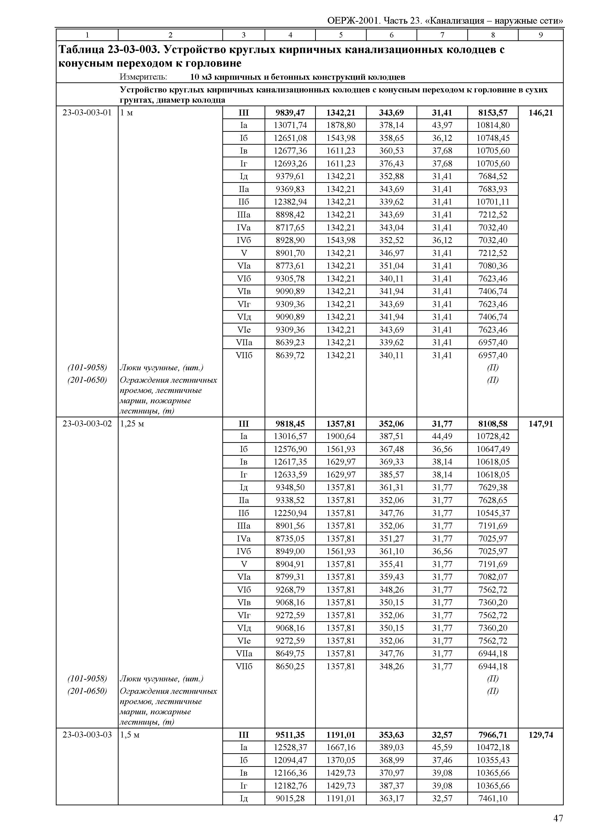
Часть 23. Канализация - наружные сети. Книга 1 (Северный, Северо-Западный, Центральный, Волго-Вятский, Центрально-Черноземный, Поволжский, Северо-Кавказский территориальные районы)Обозначение: | ОЕРЖ 81-02-23-2001 | Обозначение англ: | 81-02-23-2001 | Статус: | действует | Название рус.: | Часть 23. Канализация - наружные сети. Книга 1 (Северный, Северо-Западный, Центральный, Волго-Вятский, Центрально-Черноземный, Поволжский, Северо-Кавказский территориальные районы) | Дата добавления в базу: | 12.02.2016 | Дата актуализации: | 05.05.2017 | Дата введения: | 01.06.2011 | Область применения: | Отраслевые единичные расценки на строительные и специальные строительные работы предназначены для определения затрат при выполнении строительных работ и составления на их основе сметных расчетов (смет) на производство указанных работ. | Оглавление: | Часть 23. Канализация - наружные сети Раздел 1. Укладка трубопроводов и устройство коллекторов Подраздел 1.1 Основания под трубопроводы Подраздел 1.2 Асбестоцементные безнапорные трубы Подраздел 1.3 Керамические канализационные трубы Подраздел 1.4 Железобетонные и бетонные канализационные трубы Подраздел 1.5 Коллекторы для подземных коммуникаций прямоугольных сборных железобетонных Подраздел 1.6 Поливинилхлоридные (ПВХ) безнапорные раструбные канализационные трубы Подраздел 1.7 Полиэтиленовые безнапорные трубы Подраздел 1.8 Стеклопластиковые безнапорные трубы Раздел 2. Гидроизоляция бетонных и железобетонных труб Раздел 3. Колодцы канализационные Раздел 4. Прочие работы Подраздел 4.1 Фильтрующее основание под иловые площадки и поля фильтрации Подраздел 4.2 Дренажные трубы на иловых площадках Подраздел 4.3 Присоединение канализационных трубопроводов к существующие сети Подраздел 4.4 Люки | Разработан: | ОАО РЖД НО Национальная ассоциация стоимостного инжиниринга
| Утверждён: | 31.01.2011 ОАО РЖД (178р)
| Расположен в: |
|
                                                                 
|