Скачать ОЕРЖ 81-02-04-2001 Часть 4. Скважины. Книга 2 (Уральский, Западно-Сибирский, Восточно-Сибирский, Дальневосточный территориальные районы)Дата актуализации: 10.08.2017 ОЕРЖ 81-02-04-2001
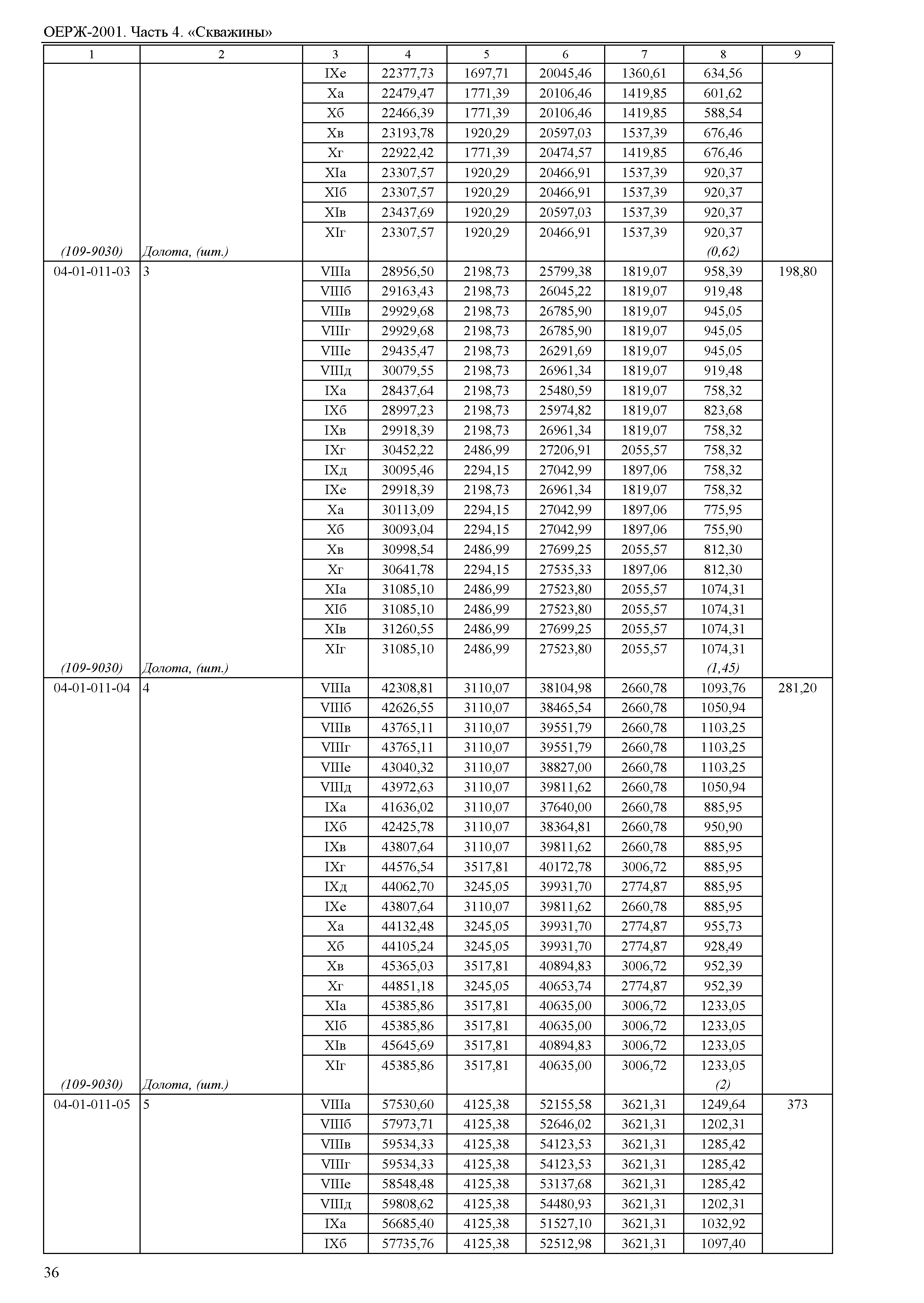
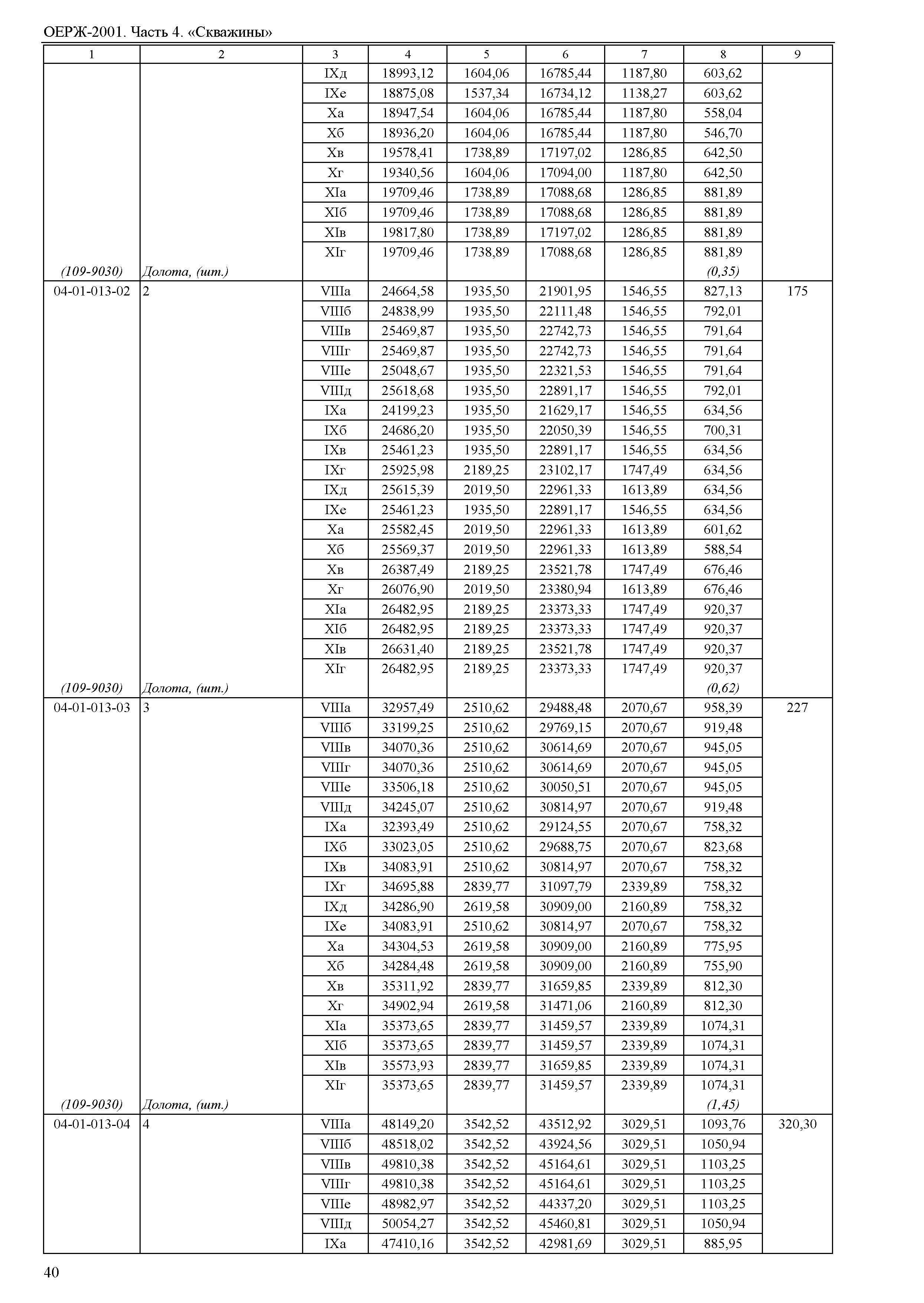
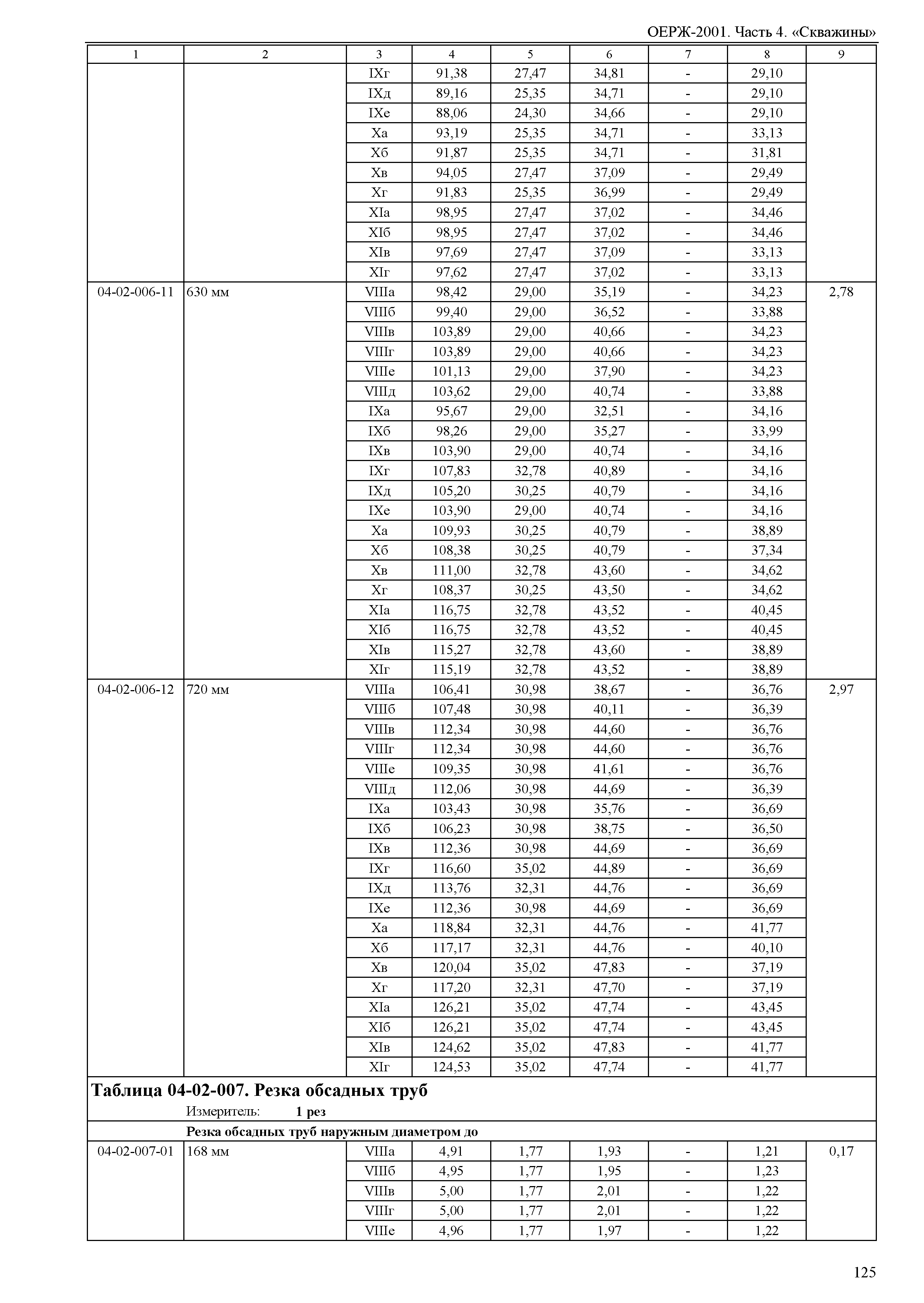
Часть 4. Скважины. Книга 2 (Уральский, Западно-Сибирский, Восточно-Сибирский, Дальневосточный территориальные районы)Обозначение: | ОЕРЖ 81-02-04-2001 | Обозначение англ: | 81-02-04-2001 | Статус: | действует | Название рус.: | Часть 4. Скважины. Книга 2 (Уральский, Западно-Сибирский, Восточно-Сибирский, Дальневосточный территориальные районы) | Дата добавления в базу: | 12.02.2016 | Дата актуализации: | 05.05.2017 | Дата введения: | 01.06.2011 | Область применения: | Отраслевые единичные расценки на строительные и специальные строительные работы предназначены для определения затрат при выполнении строительных работ и составления на их основе сметных расчетов (смет) на производство указанных работ. | Оглавление: | Часть 4. Скважины Раздел 1. Бурение скважин Подраздел 1.1 Роторное бурение Подраздел 1.2 Ударно-канатное бурение Подраздел 1.3 Колонковое бурение Подраздел 1.4 Шнековое бурение Подраздел 1.5 Ударно-вращательное бурение Подраздел 1.6 Перфораторное бурение Подраздел 1.7 Прочие виды бурения Раздел 2. Крепление скважин трубами, извлечение труб, свободный спуск или подъем труб из скважины Раздел 3. Тампонажные работы Раздел 4. Установка фильтров и откачка воды из скважины Раздел 5. Сооружение шахтных колодцев Раздел 6. Прочие и специальные работы | Разработан: | ОАО РЖД НО Национальная ассоциация стоимостного инжиниринга
| Утверждён: | 31.01.2011 ОАО РЖД (178р)
| Расположен в: |
|
                                                                                                                                                                     
|