Скачать ОЕРЖ 81-02-02-2001 Часть 2. Горно-вскрышные работы. Книга 1 (Северный, Северо-Западный, Центральный, Волго-Вятский, Центрально-Черноземный, Поволжский, Северо-Кавказский территориальные районы)Дата актуализации: 10.08.2017 ОЕРЖ 81-02-02-2001
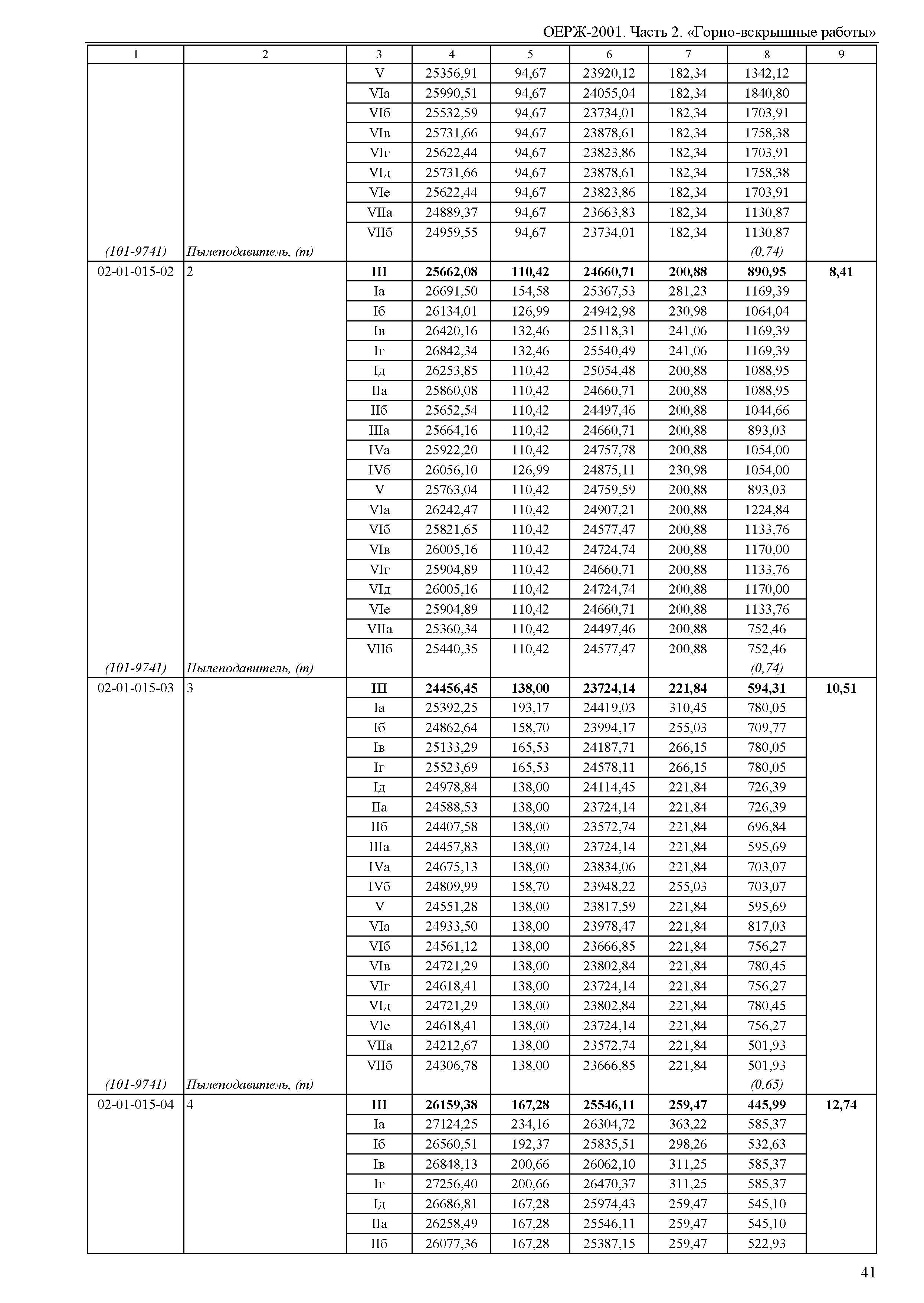
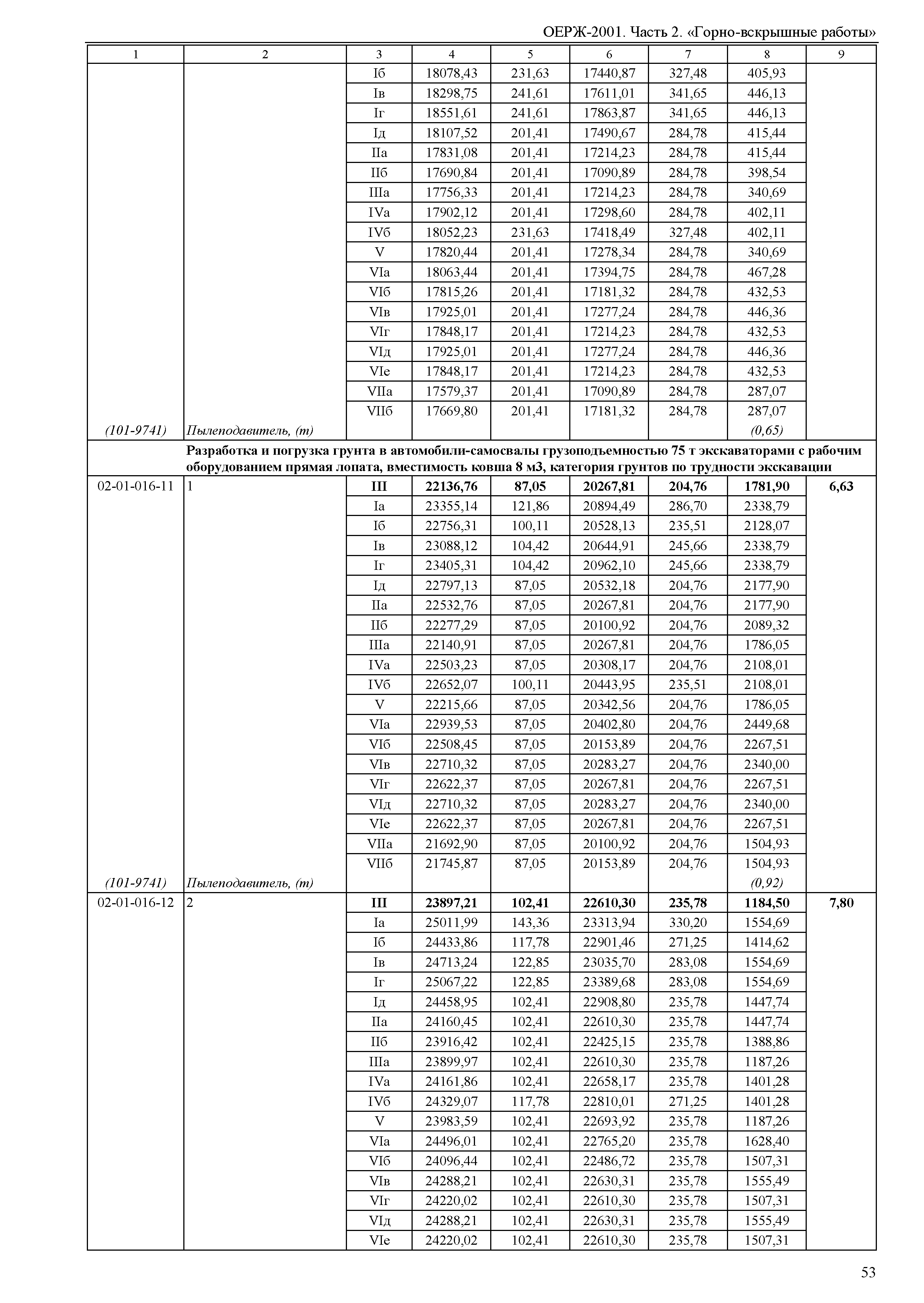
Часть 2. Горно-вскрышные работы. Книга 1 (Северный, Северо-Западный, Центральный, Волго-Вятский, Центрально-Черноземный, Поволжский, Северо-Кавказский территориальные районы)Обозначение: | ОЕРЖ 81-02-02-2001 | Обозначение англ: | 81-02-02-2001 | Статус: | действует | Название рус.: | Часть 2. Горно-вскрышные работы. Книга 1 (Северный, Северо-Западный, Центральный, Волго-Вятский, Центрально-Черноземный, Поволжский, Северо-Кавказский территориальные районы) | Дата добавления в базу: | 12.02.2016 | Дата актуализации: | 05.05.2017 | Дата введения: | 01.06.2011 | Область применения: | Отраслевые единичные расценки на строительные и специальные строительные работы предназначены для определения затрат при выполнении строительных работ и составления на их основе сметных расчетов (смет) на производство указанных работ. | Оглавление: | Часть 2. Горновскрышные работы Отдел 01. Разработка грунта одноковшовыми экскаваторами Раздел 1. Разработка грунта экскаваторами с укладкой на борт траншеи или в выработанное пространство Раздел 2. Разработка и погрузка грунта экскаваторами в железнодорожный транспорт Раздел 3. Разработка и погрузка грунта экскаваторами в автомобили-самосвалы Раздел 4. Экскаваторное отвалообразование Раздел 5. Бульдозерное отвалообразование Отдел 02. Разработка грунта скреперами | Разработан: | ОАО РЖД НО Национальная ассоциация стоимостного инжиниринга
| Утверждён: | 31.01.2011 ОАО РЖД (178р)
| Расположен в: |
|
                                                                                                                      
|