Информационная система
«Ёшкин Кот»

Скачать базу одним архивом
Скачать обновления
История создания базы
Карта сайта

Скачать ТЕРп Алтайский край 81-05-04-2001 Подъемно-транспортное оборудование. Территориальные единичные расценки на пусконаладочные работы

Дата актуализации: 10.08.2017

ТЕРп Алтайский край 81-05-04-2001

Подъемно-транспортное оборудование. Территориальные единичные расценки на пусконаладочные работы

Обозначение: ТЕРп Алтайский край 81-05-04-2001
Обозначение англ: 81-05-04-2001
Статус:действует
Название рус.:Подъемно-транспортное оборудование. Территориальные единичные расценки на пусконаладочные работы
Дата добавления в базу:21.05.2015
Дата актуализации:05.05.2017
Область применения:Территориальные единичные расценки на пусконаладочные работы предназначены для определения затрат при выполнении пусконаладочных работ и составления на их основе сметных расчетов (смет) на производство указанных работ
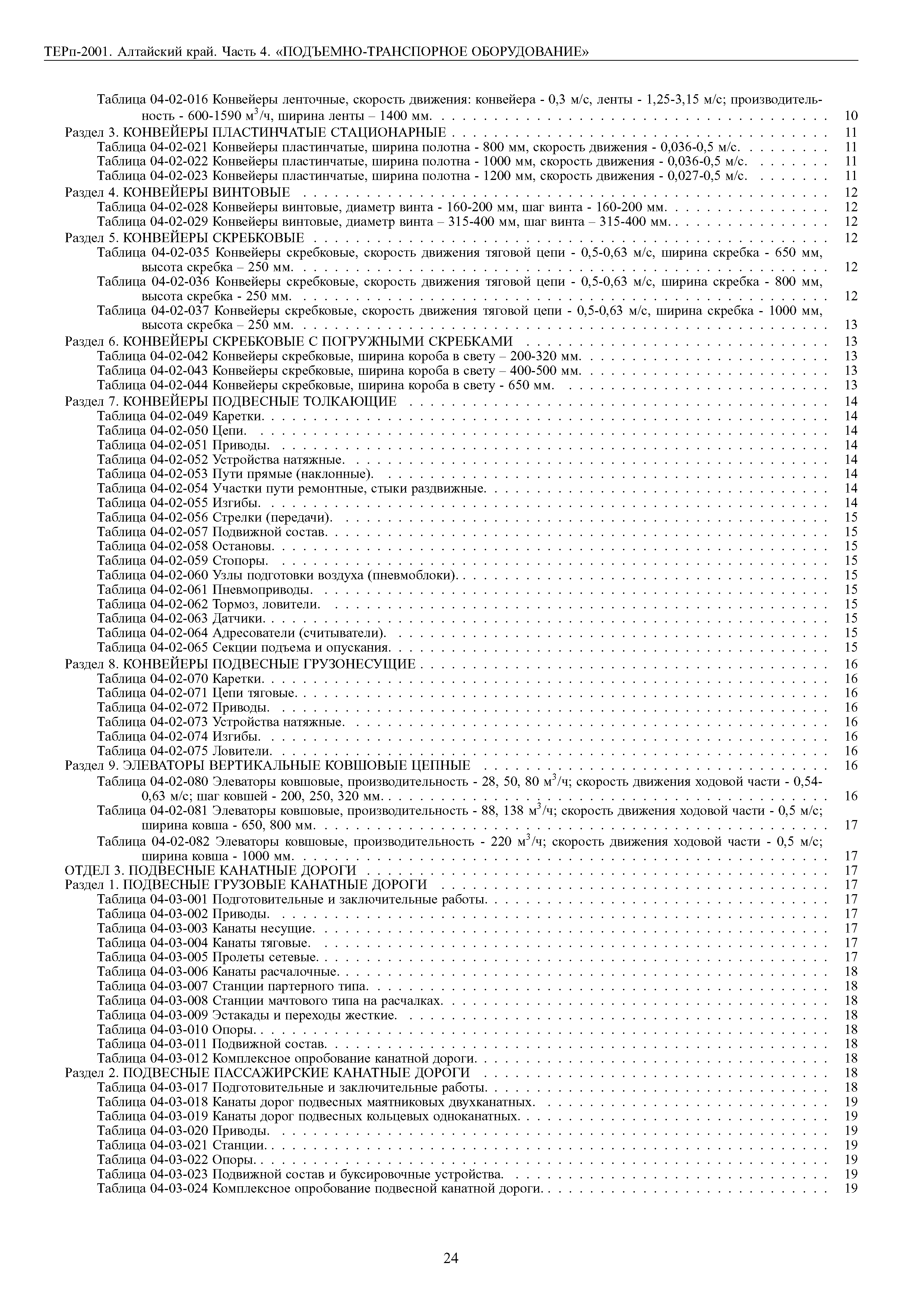
Оглавление:Часть 04. Подъемно-транспортное оборудование
Отдел 01. Подьемно-транспортное оборудование прерывного действия
   Раздел 1. Краны подвесные электрические однобалочные
   Раздел 2. Краны мостовые электрические общего назначения
   Раздел 3. Краны мостовые электрические грейферные
   Раздел 4. Краны козловые электрические
   Раздел 5. Краны-штабелеры электрические
   Раздел 6. Краны ручные
Отдел 02. Транспортные механизмы непрерывного действия
   Раздел 1. Конвейеры ленточные стационарные общего назначения
   Раздел 2. Конвейеры ленточные передвижные
   Раздел 3. Конвейеры пластинчатые стационарные
   Раздел 4. Конвейеры винтовые
   Раздел 5. Конвейеры скребковые
   Раздел 6. Конвейеры скребковые с погружными скребками
   Раздел 7. Конвейеры подвесные толкающие
   Раздел 8. Конвейеры подвесные грузонесущие
   Раздел 9. Элеваторы вертикальные ковшовые цепные
Отдел 3. Подвесные канатные дороги
   Раздел 1. Подвесные грузовые канатные дороги
   Раздел 2. Подвесные пассажирские канатные дороги
Утверждён:17.01.2011 Администрация Алтайского края (Administration of Altay Territory 12)
Расположен в:Техническая документация Экология СТРОИТЕЛЬНЫЕ МАТЕРИАЛЫ И СТРОИТЕЛЬСТВО Строительная промышленность Стоимость строительства и обслуживания зданий и сооружений -50 Стоимость строительных и строительно-монтажных работ Строительство Нормативные документы Нормативные документы субъектов Российской Федерации Нормативные документы Алтайского края Документы Системы нормативных документов в строительстве Нормативные документы по экономике к.81 Ценообразование и сметы Классификатор ISO Нормативные документы по экономике Ценообразование и сметы
ТЕРп Алтайский край 81-05-04-2001ТЕРп Алтайский край 81-05-04-2001ТЕРп Алтайский край 81-05-04-2001ТЕРп Алтайский край 81-05-04-2001ТЕРп Алтайский край 81-05-04-2001ТЕРп Алтайский край 81-05-04-2001ТЕРп Алтайский край 81-05-04-2001ТЕРп Алтайский край 81-05-04-2001ТЕРп Алтайский край 81-05-04-2001ТЕРп Алтайский край 81-05-04-2001ТЕРп Алтайский край 81-05-04-2001ТЕРп Алтайский край 81-05-04-2001ТЕРп Алтайский край 81-05-04-2001ТЕРп Алтайский край 81-05-04-2001ТЕРп Алтайский край 81-05-04-2001ТЕРп Алтайский край 81-05-04-2001ТЕРп Алтайский край 81-05-04-2001ТЕРп Алтайский край 81-05-04-2001ТЕРп Алтайский край 81-05-04-2001ТЕРп Алтайский край 81-05-04-2001ТЕРп Алтайский край 81-05-04-2001ТЕРп Алтайский край 81-05-04-2001ТЕРп Алтайский край 81-05-04-2001ТЕРп Алтайский край 81-05-04-2001ТЕРп Алтайский край 81-05-04-2001

© 2013 Ёшкин Кот :-) Карта сайта