Информационная система
«Ёшкин Кот»

Скачать базу одним архивом
Скачать обновления
История создания базы
Карта сайта

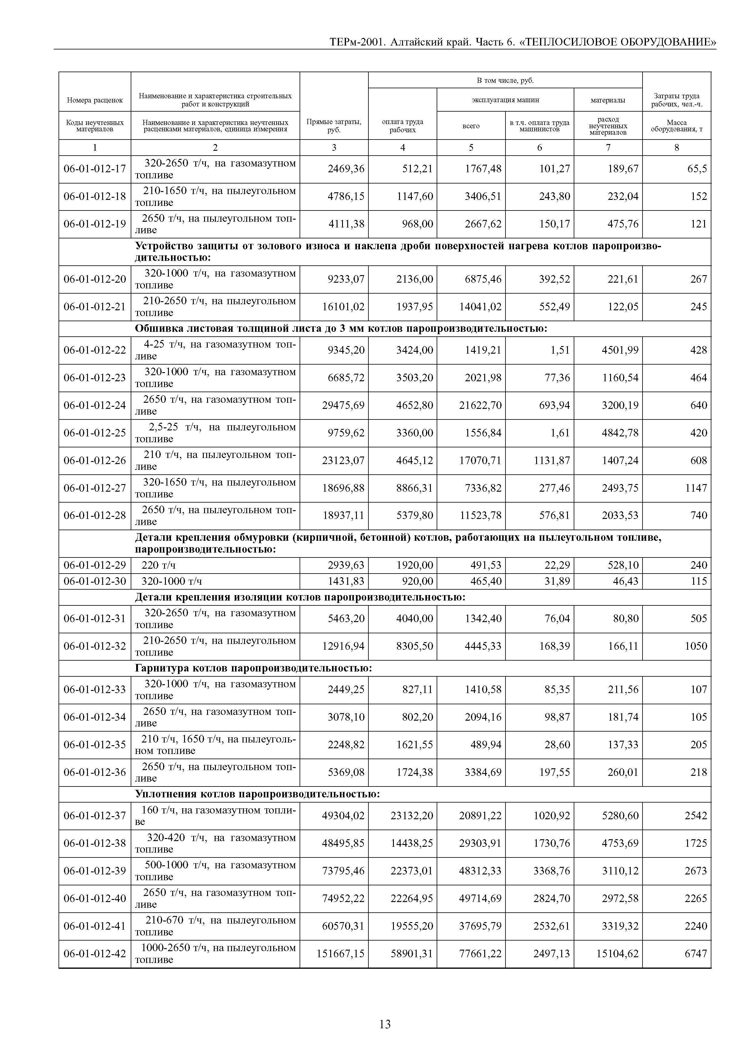
Скачать ТЕРм Алтайский край 81-03-06-2001 Теплосиловое оборудование. Территориальные единичные расценки на монтаж оборудования

Дата актуализации: 10.08.2017

ТЕРм Алтайский край 81-03-06-2001

Теплосиловое оборудование. Территориальные единичные расценки на монтаж оборудования

Обозначение: ТЕРм Алтайский край 81-03-06-2001
Обозначение англ: 81-03-06-2001
Статус:действует
Название рус.:Теплосиловое оборудование. Территориальные единичные расценки на монтаж оборудования
Дата добавления в базу:21.05.2015
Дата актуализации:05.05.2017
Область применения:Территориальные единичные расценки на монтаж оборудования предназначены для определения затрат при выполнении монтажных работ и составления на их основе сметных расчетов (смет) на производство указанных работ
Оглавление:Отдел 01. Паровые и водогрейные стационарные котлы
   Раздел 1. Элементы паровых стационарных котлов
   Раздел 2. Котлы паровые автоматизированные
   Раздел 3. Элементы водогрейных котлов
Отдел 02. Котельно-вспомогательное оборудование
   Раздел 1. Топочные устройства
   Раздел 2. Оборудование пылеприготовления
Отдел 03. Оборудование водоподготовки
   Раздел 1. Аппаратура для химической очистки воды
   Раздел 2. Аппаратура для термической обработки воды
   Раздел 3. Станционные баки
   Раздел 4. Установки для преобразования пара
Отдел 04. Агрегаты паротурбинные и газотурбинные
   Раздел 1. Турбины паровые стационарные и установки газотурбинные стационарные
   Раздел 2. Конденсаторы
   Раздел 3. Турбогенераторы
Отдел 05. Турбинное вспомогательное оборудование
Утверждён:17.01.2011 Администрация Алтайского края (Administration of Altay Territory 12)
Расположен в:Техническая документация Экология СТРОИТЕЛЬНЫЕ МАТЕРИАЛЫ И СТРОИТЕЛЬСТВО Строительная промышленность Стоимость строительства и обслуживания зданий и сооружений -50 Стоимость строительных и строительно-монтажных работ Строительство Нормативные документы Нормативные документы субъектов Российской Федерации Нормативные документы Алтайского края Документы Системы нормативных документов в строительстве Нормативные документы по экономике к.81 Ценообразование и сметы Классификатор ISO Нормативные документы по экономике Ценообразование и сметы
ТЕРм Алтайский край 81-03-06-2001ТЕРм Алтайский край 81-03-06-2001ТЕРм Алтайский край 81-03-06-2001ТЕРм Алтайский край 81-03-06-2001ТЕРм Алтайский край 81-03-06-2001ТЕРм Алтайский край 81-03-06-2001ТЕРм Алтайский край 81-03-06-2001ТЕРм Алтайский край 81-03-06-2001ТЕРм Алтайский край 81-03-06-2001ТЕРм Алтайский край 81-03-06-2001ТЕРм Алтайский край 81-03-06-2001ТЕРм Алтайский край 81-03-06-2001ТЕРм Алтайский край 81-03-06-2001ТЕРм Алтайский край 81-03-06-2001ТЕРм Алтайский край 81-03-06-2001ТЕРм Алтайский край 81-03-06-2001ТЕРм Алтайский край 81-03-06-2001ТЕРм Алтайский край 81-03-06-2001ТЕРм Алтайский край 81-03-06-2001ТЕРм Алтайский край 81-03-06-2001ТЕРм Алтайский край 81-03-06-2001ТЕРм Алтайский край 81-03-06-2001ТЕРм Алтайский край 81-03-06-2001ТЕРм Алтайский край 81-03-06-2001ТЕРм Алтайский край 81-03-06-2001ТЕРм Алтайский край 81-03-06-2001ТЕРм Алтайский край 81-03-06-2001ТЕРм Алтайский край 81-03-06-2001ТЕРм Алтайский край 81-03-06-2001ТЕРм Алтайский край 81-03-06-2001ТЕРм Алтайский край 81-03-06-2001ТЕРм Алтайский край 81-03-06-2001ТЕРм Алтайский край 81-03-06-2001ТЕРм Алтайский край 81-03-06-2001ТЕРм Алтайский край 81-03-06-2001

© 2013 Ёшкин Кот :-) Карта сайта