Скачать ТССЦ Алтайский край Часть 5 Материалы, изделия и конструкции для монтажных и специальных строительных работ. Территориальные сметные цены на материалы, изделия и конструкции, применяемые в строительствеДата актуализации: 10.08.2017 ТССЦ Алтайский край Часть 5
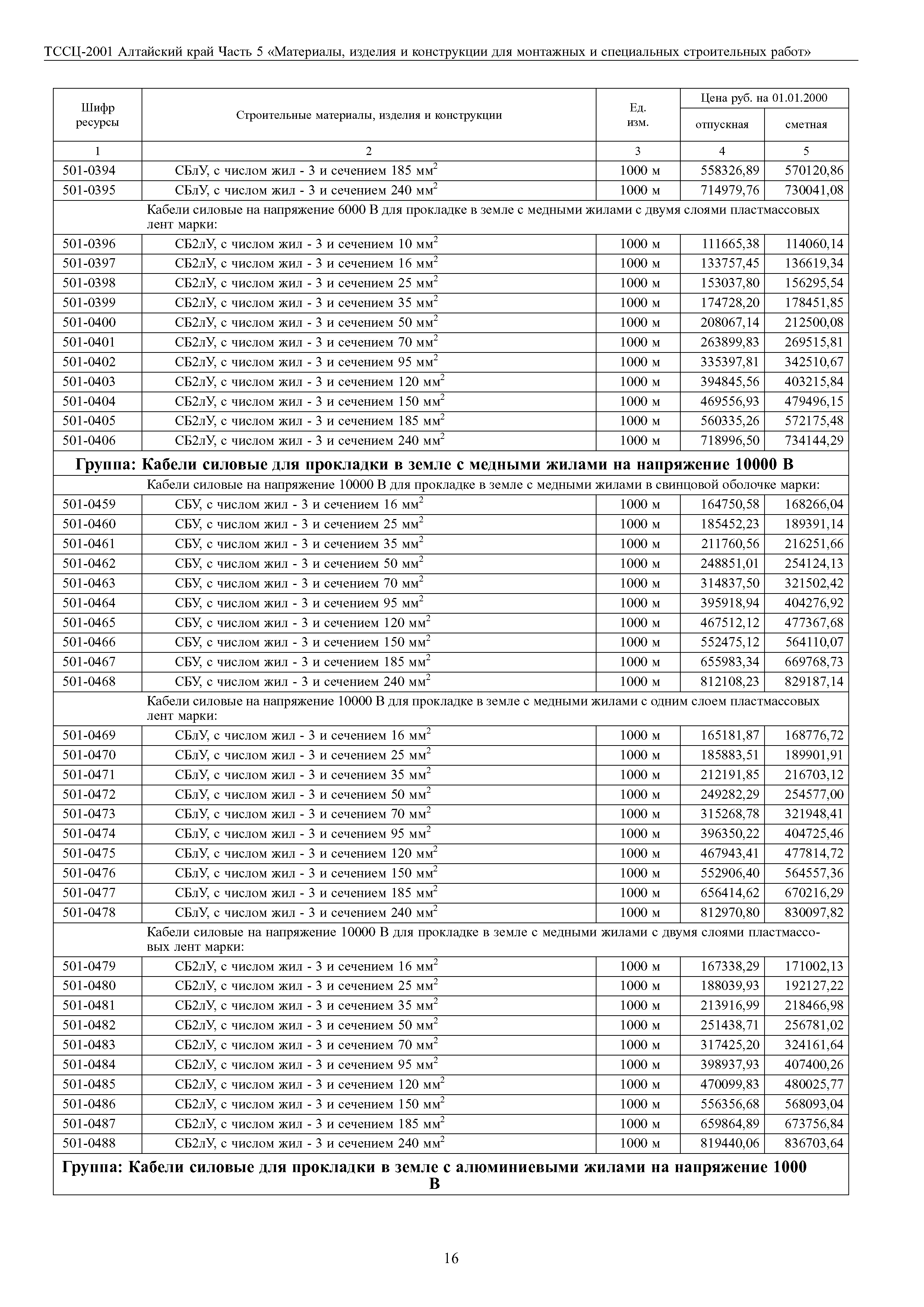
Материалы, изделия и конструкции для монтажных и специальных строительных работ. Территориальные сметные цены на материалы, изделия и конструкции, применяемые в строительствеОбозначение: | ТССЦ Алтайский край Часть 5 | Обозначение англ: | Часть 5 | Статус: | действует | Название рус.: | Материалы, изделия и конструкции для монтажных и специальных строительных работ. Территориальные сметные цены на материалы, изделия и конструкции, применяемые в строительстве | Дата добавления в базу: | 21.05.2015 | Дата актуализации: | 05.05.2017 | Область применения: | Территориальные сметные цены на материалы, изделия и конструкции, применяемые в строительстве предназначены для определения сметной стоимости строительно-монтажных (ремонтно-строительных) работ, а также при разработке Территориальных единичных расценок на строительные монтажные и ремонтно-строительные работы | Оглавление: | Раздел: 5.01. Кабели Подраздел: Кабели силовые Подраздел: Кабели силовые гибкие Подраздел: Кабели контроля Подраздел: Кабели связи низкочастотные Подраздел: Кабели высокочастотные дальней и внутризонной связи, кабели радиофикации и сельской телефонной связи Подраздел: Кабели для теплых полов Раздел: 5.02. Провода, шнуры, проволока, шины и муфты кабельные Подраздел: Провода Подраздел: Шнуры Подраздел: Проволока, шины Подраздел: Муфты кабельные Раздел: 5.03. Линейно-кабельные изделия связи Раздел: 5.04. Электроконструкции Раздел: 5.06. Прокатно-тянутые изделия из цветных металлов и цветные металлы Подраздел: Ленты Подраздел: Проволока Подраздел: Листы и плиты Подраздел: Прутки из цветных металлов Подраздел: Металлы цветные Подраздел: Полосы Подраздел: Сплавы цветных металлов Раздел 5.07. Трубы, арматура и детали трубопроводов Подраздел: Трубы из цветных металлов Подраздел: Трубы коррозийно-стойкие Подраздел: Трубы стальные Подраздел: Трубы из пластических масс Подраздел: Трубы стеклянные Подраздел: Фасонные части Подраздел: Комплекты ответных стальных плоских приварных фланцев к арматуре трубопроводной Подраздел: Соединительные части технологических трубопроводов Подраздел: Узлы технологических трубопроводов из углеродистых и легированных сталей на Ру 10 МПа (100 кгс/см2) Подраздел: Детали трубопроводов Раздел: 5.08. Канаты стальные Подраздел: Канаты круглые Подраздел: Канаты закрытые несущие Подраздел: Канаты плоские Подраздел: Канаты стальные по техническим условиям Раздел: 5.09. Прочие материалы Подраздел: Изделия специального назначения Подраздел: Аппаратура электрическая низковольтная Подраздел: Источники света Подраздел: Электроизоляционные изделия Подраздел: Асбестовые технические изделия Подраздел: Химическая продукция и нефтепродукты Подраздел: Материалы для магистральных нефтепроводов Алфавитный указатель | Утверждён: | 17.01.2011 Администрация Алтайского края (Administration of Altay Territory 12)
| Расположен в: |
|
                                                                                                                                                                                                                                                                                                                                                                                                              
|