Информационная система
«Ёшкин Кот»

Скачать базу одним архивом
Скачать обновления
История создания базы
Карта сайта

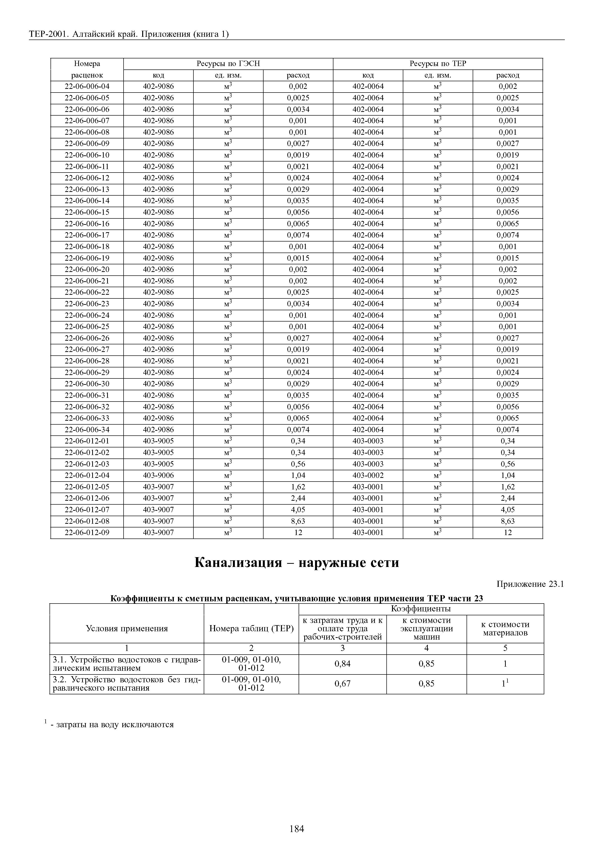
Скачать ТЕР Алтайский край 2001-Пр Приложения. Книга 1 (редакция 2011 года). Территориальные единичные расценки на строительные и специальные строительные работы

Дата актуализации: 10.08.2017

ТЕР Алтайский край 2001-Пр

Приложения. Книга 1 (редакция 2011 года). Территориальные единичные расценки на строительные и специальные строительные работы

Обозначение: ТЕР Алтайский край 2001-Пр
Обозначение англ: TER Altay Kray 2001-Пр
Статус:действует
Название рус.:Приложения. Книга 1 (редакция 2011 года). Территориальные единичные расценки на строительные и специальные строительные работы
Название англ.:Cast-in-Place Concrete and Reinforced Concrete Structures
Дата добавления в базу:21.05.2015
Дата актуализации:05.05.2017
Область применения:Территориальные единичные расценки на строительные и специальные строительные работы предназначены для определения затрат при выполнении строительных работ и составления на их основе сметных расчетов (смет) на производство указанных работ.
Оглавление:Земляные работы
Горно-вскрышные работы
Буровзрывные работы
Скважины
Свайные работы. Опускные колодцы. Закрепление грунтов
Бетонные и железобетонные конструкции монолитные
Бетонные и железобетонные конструкции сборные
Конструкции из кирпича и блоков
Строительные металлические конструкции
Деревянные конструкции
Полы
Кровли
Защита строительных конструкций и оборудования от коррозии
Конструкции в сельском строительстве
Отделочные работы
Трубопроводы внутренние
Водопровод и канализация - внутренние устройства
Отопление - внутренние устройства
Газоснабжение - внутренние устройства
Вентиляция и кондиционирование воздуха
Временные сборно-разборные здания и сооружения
Водопровод - наружные сети
Канализация - наружные сети
Теплоснабжение и газопроводы - наружные сети
Теплоизоляционные работы
Автомобильные дороги
Утверждён:17.01.2011 Администрация Алтайского края (Administration of Altay Territory 12)
Расположен в:Техническая документация Экология СТРОИТЕЛЬНЫЕ МАТЕРИАЛЫ И СТРОИТЕЛЬСТВО Строительная промышленность Стоимость строительства и обслуживания зданий и сооружений -50 Стоимость строительных и строительно-монтажных работ Строительство Нормативные документы Нормативные документы субъектов Российской Федерации Нормативные документы Алтайского края Документы Системы нормативных документов в строительстве Нормативные документы по экономике к.81 Ценообразование и сметы Классификатор ISO Нормативные документы по экономике Ценообразование и сметы
ТЕР Алтайский край 2001-ПрТЕР Алтайский край 2001-ПрТЕР Алтайский край 2001-ПрТЕР Алтайский край 2001-ПрТЕР Алтайский край 2001-ПрТЕР Алтайский край 2001-ПрТЕР Алтайский край 2001-ПрТЕР Алтайский край 2001-ПрТЕР Алтайский край 2001-ПрТЕР Алтайский край 2001-ПрТЕР Алтайский край 2001-ПрТЕР Алтайский край 2001-ПрТЕР Алтайский край 2001-ПрТЕР Алтайский край 2001-ПрТЕР Алтайский край 2001-ПрТЕР Алтайский край 2001-ПрТЕР Алтайский край 2001-ПрТЕР Алтайский край 2001-ПрТЕР Алтайский край 2001-ПрТЕР Алтайский край 2001-ПрТЕР Алтайский край 2001-ПрТЕР Алтайский край 2001-ПрТЕР Алтайский край 2001-ПрТЕР Алтайский край 2001-ПрТЕР Алтайский край 2001-ПрТЕР Алтайский край 2001-ПрТЕР Алтайский край 2001-ПрТЕР Алтайский край 2001-ПрТЕР Алтайский край 2001-ПрТЕР Алтайский край 2001-ПрТЕР Алтайский край 2001-ПрТЕР Алтайский край 2001-ПрТЕР Алтайский край 2001-ПрТЕР Алтайский край 2001-ПрТЕР Алтайский край 2001-ПрТЕР Алтайский край 2001-ПрТЕР Алтайский край 2001-ПрТЕР Алтайский край 2001-ПрТЕР Алтайский край 2001-ПрТЕР Алтайский край 2001-ПрТЕР Алтайский край 2001-ПрТЕР Алтайский край 2001-ПрТЕР Алтайский край 2001-ПрТЕР Алтайский край 2001-ПрТЕР Алтайский край 2001-ПрТЕР Алтайский край 2001-ПрТЕР Алтайский край 2001-ПрТЕР Алтайский край 2001-ПрТЕР Алтайский край 2001-ПрТЕР Алтайский край 2001-ПрТЕР Алтайский край 2001-ПрТЕР Алтайский край 2001-ПрТЕР Алтайский край 2001-ПрТЕР Алтайский край 2001-ПрТЕР Алтайский край 2001-ПрТЕР Алтайский край 2001-ПрТЕР Алтайский край 2001-ПрТЕР Алтайский край 2001-ПрТЕР Алтайский край 2001-ПрТЕР Алтайский край 2001-ПрТЕР Алтайский край 2001-ПрТЕР Алтайский край 2001-ПрТЕР Алтайский край 2001-ПрТЕР Алтайский край 2001-ПрТЕР Алтайский край 2001-ПрТЕР Алтайский край 2001-ПрТЕР Алтайский край 2001-ПрТЕР Алтайский край 2001-ПрТЕР Алтайский край 2001-ПрТЕР Алтайский край 2001-ПрТЕР Алтайский край 2001-ПрТЕР Алтайский край 2001-ПрТЕР Алтайский край 2001-ПрТЕР Алтайский край 2001-ПрТЕР Алтайский край 2001-ПрТЕР Алтайский край 2001-ПрТЕР Алтайский край 2001-ПрТЕР Алтайский край 2001-ПрТЕР Алтайский край 2001-ПрТЕР Алтайский край 2001-ПрТЕР Алтайский край 2001-ПрТЕР Алтайский край 2001-ПрТЕР Алтайский край 2001-ПрТЕР Алтайский край 2001-ПрТЕР Алтайский край 2001-ПрТЕР Алтайский край 2001-ПрТЕР Алтайский край 2001-ПрТЕР Алтайский край 2001-ПрТЕР Алтайский край 2001-ПрТЕР Алтайский край 2001-ПрТЕР Алтайский край 2001-ПрТЕР Алтайский край 2001-ПрТЕР Алтайский край 2001-ПрТЕР Алтайский край 2001-ПрТЕР Алтайский край 2001-ПрТЕР Алтайский край 2001-ПрТЕР Алтайский край 2001-ПрТЕР Алтайский край 2001-ПрТЕР Алтайский край 2001-ПрТЕР Алтайский край 2001-ПрТЕР Алтайский край 2001-ПрТЕР Алтайский край 2001-ПрТЕР Алтайский край 2001-ПрТЕР Алтайский край 2001-ПрТЕР Алтайский край 2001-ПрТЕР Алтайский край 2001-ПрТЕР Алтайский край 2001-ПрТЕР Алтайский край 2001-ПрТЕР Алтайский край 2001-ПрТЕР Алтайский край 2001-ПрТЕР Алтайский край 2001-ПрТЕР Алтайский край 2001-ПрТЕР Алтайский край 2001-ПрТЕР Алтайский край 2001-ПрТЕР Алтайский край 2001-ПрТЕР Алтайский край 2001-ПрТЕР Алтайский край 2001-ПрТЕР Алтайский край 2001-ПрТЕР Алтайский край 2001-ПрТЕР Алтайский край 2001-ПрТЕР Алтайский край 2001-ПрТЕР Алтайский край 2001-ПрТЕР Алтайский край 2001-ПрТЕР Алтайский край 2001-ПрТЕР Алтайский край 2001-ПрТЕР Алтайский край 2001-ПрТЕР Алтайский край 2001-ПрТЕР Алтайский край 2001-ПрТЕР Алтайский край 2001-ПрТЕР Алтайский край 2001-ПрТЕР Алтайский край 2001-ПрТЕР Алтайский край 2001-ПрТЕР Алтайский край 2001-ПрТЕР Алтайский край 2001-ПрТЕР Алтайский край 2001-ПрТЕР Алтайский край 2001-ПрТЕР Алтайский край 2001-ПрТЕР Алтайский край 2001-ПрТЕР Алтайский край 2001-ПрТЕР Алтайский край 2001-ПрТЕР Алтайский край 2001-ПрТЕР Алтайский край 2001-ПрТЕР Алтайский край 2001-ПрТЕР Алтайский край 2001-ПрТЕР Алтайский край 2001-ПрТЕР Алтайский край 2001-ПрТЕР Алтайский край 2001-ПрТЕР Алтайский край 2001-ПрТЕР Алтайский край 2001-ПрТЕР Алтайский край 2001-ПрТЕР Алтайский край 2001-ПрТЕР Алтайский край 2001-ПрТЕР Алтайский край 2001-ПрТЕР Алтайский край 2001-ПрТЕР Алтайский край 2001-ПрТЕР Алтайский край 2001-ПрТЕР Алтайский край 2001-ПрТЕР Алтайский край 2001-ПрТЕР Алтайский край 2001-ПрТЕР Алтайский край 2001-ПрТЕР Алтайский край 2001-ПрТЕР Алтайский край 2001-ПрТЕР Алтайский край 2001-ПрТЕР Алтайский край 2001-ПрТЕР Алтайский край 2001-ПрТЕР Алтайский край 2001-ПрТЕР Алтайский край 2001-ПрТЕР Алтайский край 2001-ПрТЕР Алтайский край 2001-ПрТЕР Алтайский край 2001-ПрТЕР Алтайский край 2001-ПрТЕР Алтайский край 2001-ПрТЕР Алтайский край 2001-ПрТЕР Алтайский край 2001-ПрТЕР Алтайский край 2001-ПрТЕР Алтайский край 2001-ПрТЕР Алтайский край 2001-ПрТЕР Алтайский край 2001-ПрТЕР Алтайский край 2001-ПрТЕР Алтайский край 2001-ПрТЕР Алтайский край 2001-ПрТЕР Алтайский край 2001-ПрТЕР Алтайский край 2001-ПрТЕР Алтайский край 2001-ПрТЕР Алтайский край 2001-ПрТЕР Алтайский край 2001-ПрТЕР Алтайский край 2001-ПрТЕР Алтайский край 2001-ПрТЕР Алтайский край 2001-ПрТЕР Алтайский край 2001-ПрТЕР Алтайский край 2001-ПрТЕР Алтайский край 2001-ПрТЕР Алтайский край 2001-ПрТЕР Алтайский край 2001-ПрТЕР Алтайский край 2001-ПрТЕР Алтайский край 2001-ПрТЕР Алтайский край 2001-ПрТЕР Алтайский край 2001-ПрТЕР Алтайский край 2001-ПрТЕР Алтайский край 2001-ПрТЕР Алтайский край 2001-ПрТЕР Алтайский край 2001-ПрТЕР Алтайский край 2001-ПрТЕР Алтайский край 2001-ПрТЕР Алтайский край 2001-ПрТЕР Алтайский край 2001-ПрТЕР Алтайский край 2001-ПрТЕР Алтайский край 2001-ПрТЕР Алтайский край 2001-ПрТЕР Алтайский край 2001-ПрТЕР Алтайский край 2001-ПрТЕР Алтайский край 2001-ПрТЕР Алтайский край 2001-ПрТЕР Алтайский край 2001-ПрТЕР Алтайский край 2001-ПрТЕР Алтайский край 2001-ПрТЕР Алтайский край 2001-ПрТЕР Алтайский край 2001-ПрТЕР Алтайский край 2001-ПрТЕР Алтайский край 2001-ПрТЕР Алтайский край 2001-ПрТЕР Алтайский край 2001-ПрТЕР Алтайский край 2001-ПрТЕР Алтайский край 2001-ПрТЕР Алтайский край 2001-Пр

© 2013 Ёшкин Кот :-) Карта сайта