Информационная система
«Ёшкин Кот»

Скачать базу одним архивом
Скачать обновления
История создания базы
Карта сайта

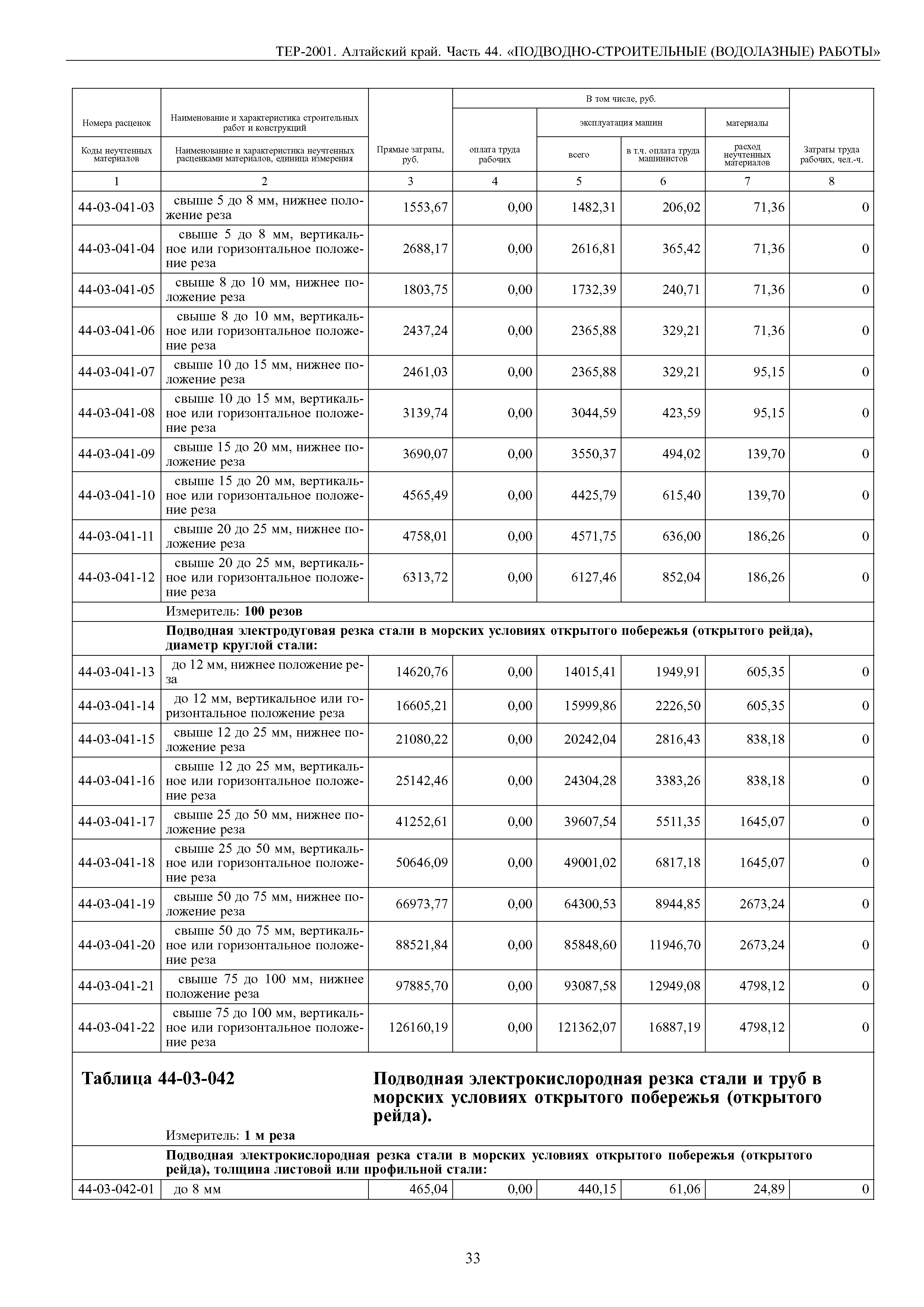
Скачать ТЕР Алтайский край 2001-44 Подводно-строительные (водолазные) работы (редакция 2011 года). Территориальные единичные расценки на строительные и специальные строительные работы

Дата актуализации: 10.08.2017

ТЕР Алтайский край 2001-44

Подводно-строительные (водолазные) работы (редакция 2011 года). Территориальные единичные расценки на строительные и специальные строительные работы

Обозначение: ТЕР Алтайский край 2001-44
Обозначение англ: TER Altay Kray 2001-44
Статус:действует
Название рус.:Подводно-строительные (водолазные) работы (редакция 2011 года). Территориальные единичные расценки на строительные и специальные строительные работы
Название англ.:Cast-in-Place Concrete and Reinforced Concrete Structures
Дата добавления в базу:21.05.2015
Дата актуализации:05.05.2017
Область применения:Территориальные единичные расценки на строительные и специальные строительные работы предназначены для определения затрат при выполнении строительных работ и составления на их основе сметных расчетов (смет) на производство указанных работ.
Оглавление:Отдел 01. Подводно-строительные (водолазные) работы в речных условиях (реки, озера, водохранилища)
   Раздел 1. Разработка грунта в речных условиях (реки, озера, водохранилища)
   Раздел 2. Подъем из воды разных предметов в речных условиях (реки, озера, водохранилища)
   Раздел 3. Разравнивание каменных, щебеночных (гравийных) и песчаных постелей в речных условиях (реки, озера, водохранилища)
   Раздел 4. Подводное бетонирование в речных условиях (реки, озера, водохранилища)
   Раздел 5. Подводные работы с металлическими конструкциями в речных условиях (реки, озера, водохранилища)
   Раздел 6. Укладка трубопроводов в речных условиях (реки, озера, водохранилища)
   Раздел 7. Укладка кабеля в речных условиях (реки, озера, водохранилища)
   Раздел 8. Опускание металлических и железобетонных конструкций под воду в речных условиях (реки, озера, водохранилища)
   Раздел 9. Водолазное обследование речных условий (реки, озера, водохранилища)
   Раздел 10. Перемещение и выемка камня и щебня из воды в речных условиях (реки, озера, водохранилища)
   Раздел 11. Сварка плетей трубопровода в речных условиях (реки, озера, водохранилища)
   Раздел 12. Устройство элементов деревянных конструкций в речных условиях (реки, озера, водохранилища)
   Раздел 13. Крепление подводной части откосов в речных условиях (реки, озера, водохранилища)
   Раздел 14. Обетонирование трубопроводов в полевых условиях
Отдел 02. Подводно-строительные (водолазные) работы в морских условиях в закрытой акватории
   Раздел 1. Разработка грунта в морских условиях в закрытой акватории
   Раздел 2. Подъем из воды разных предметов в морских условиях в закрытой акватории
   Раздел 3. Разравнивание и уплотнение каменных, щебеночных (гравийных) и песчаных постелей в морских условиях в закрытой акватории
   Раздел 4. Подводное бетонирование в морских условиях в закрытой акватории
   Раздел 5. Подводные работы с металлическими конструкциями в морских условиях в закрытой акватории
   Раздел 6. Укладка трубопроводов в морских условиях в закрытой акватории
   Раздел 7. Укладка кабеля в морских условиях в закрытой акватории
   Раздел 8. Опускание металлических и железобетонных конструкций под воду в морских условиях в закрытой акватории
   Раздел 9. Водолазное обследование в морских условиях в закрытой акватории
   Раздел 10. Перемещение и выемка камня и щебня из воды в морских условиях в закрытой акватории
   Раздел 11. Сварка плетей трубопровода в морских условиях в закрытой акватории
   Раздел 12. Установка швартовных бочек в морских условиях в закрытой акватории
   Раздел 13. Устройство элементов деревянных конструкций в морских условиях в закрытой акватории
   Раздел 14. Крепление подводной части откосов в морских условиях в закрытой акватории
Отдел 03. Подводно-строительные (водолазные) работы в морских условиях открытого побережья (открытого рейда)
   Раздел 1. Разработка грунта в морских условиях открытого побережья (открытого рейда)
   Раздел 2. Подъем из воды разных предметов в морских условиях открытого побережья (открытого рейда)
   Раздел 3. Разравнивание и уплотнение каменных, щебеночных (гравийных) и песчаных постелей в морских условиях открытого побережья (открытого рейда)
   Раздел 4. Подводное бетонирование в морских условиях открытого побережья (открытого рейда)
   Раздел 5. Подводные работы с металлическими конструкциями в морских условиях открытого побережья (открытого рейда)
   Раздел 6. Укладка трубопроводов в морских условиях открытого побережья (открытого рейда)
   Раздел 7. Укладка кабеля в морских условиях открытого побережья (открытого рейда)
   Раздел 8. Опускание металлических и железобетонных конструкций под воду в морских условиях открытого побережья (открытого рейда)
   Раздел 9. Водолазное обследование в морских условиях открытого побережья (открытого рейда)
   Раздел 10. Перемещение и выемка камня и щебня из воды в морских условиях открытого побережья (открытого рейда)
   Раздел 11. Сварка плетей трубопровода в морских условиях открытого побережья (открытого рейда)
   Раздел 12. Установка швартовных бочек в морских условиях открытого побережья (открытого рейда)
   Раздел 13. Устройство элементов деревянных конструкций в морских условиях открытого побережья (открытого рейда)
   Раздел 14. Крепление подводной части откосов в морских условиях открытого побережья (открытого рейда)
Утверждён:17.01.2011 Администрация Алтайского края (Administration of Altay Territory 12)
Расположен в:Техническая документация Экология СТРОИТЕЛЬНЫЕ МАТЕРИАЛЫ И СТРОИТЕЛЬСТВО Строительная промышленность Стоимость строительства и обслуживания зданий и сооружений -50 Стоимость строительных и строительно-монтажных работ Строительство Нормативные документы Нормативные документы субъектов Российской Федерации Нормативные документы Алтайского края Документы Системы нормативных документов в строительстве Нормативные документы по экономике к.81 Ценообразование и сметы Классификатор ISO Нормативные документы по экономике Ценообразование и сметы
ТЕР Алтайский край 2001-44ТЕР Алтайский край 2001-44ТЕР Алтайский край 2001-44ТЕР Алтайский край 2001-44ТЕР Алтайский край 2001-44ТЕР Алтайский край 2001-44ТЕР Алтайский край 2001-44ТЕР Алтайский край 2001-44ТЕР Алтайский край 2001-44ТЕР Алтайский край 2001-44ТЕР Алтайский край 2001-44ТЕР Алтайский край 2001-44ТЕР Алтайский край 2001-44ТЕР Алтайский край 2001-44ТЕР Алтайский край 2001-44ТЕР Алтайский край 2001-44ТЕР Алтайский край 2001-44ТЕР Алтайский край 2001-44ТЕР Алтайский край 2001-44ТЕР Алтайский край 2001-44ТЕР Алтайский край 2001-44ТЕР Алтайский край 2001-44ТЕР Алтайский край 2001-44ТЕР Алтайский край 2001-44ТЕР Алтайский край 2001-44ТЕР Алтайский край 2001-44ТЕР Алтайский край 2001-44ТЕР Алтайский край 2001-44ТЕР Алтайский край 2001-44ТЕР Алтайский край 2001-44ТЕР Алтайский край 2001-44ТЕР Алтайский край 2001-44ТЕР Алтайский край 2001-44ТЕР Алтайский край 2001-44ТЕР Алтайский край 2001-44ТЕР Алтайский край 2001-44ТЕР Алтайский край 2001-44ТЕР Алтайский край 2001-44ТЕР Алтайский край 2001-44ТЕР Алтайский край 2001-44ТЕР Алтайский край 2001-44ТЕР Алтайский край 2001-44ТЕР Алтайский край 2001-44ТЕР Алтайский край 2001-44ТЕР Алтайский край 2001-44

© 2013 Ёшкин Кот :-) Карта сайта