Скачать ГОСТ Р 56267-2014 Газы парниковые. Определение количества выбросов парниковых газов в организациях и отчетность. Руководство по применению стандарта ИСО 14064-1Дата актуализации: 10.08.2017 ГОСТ Р 56267-2014
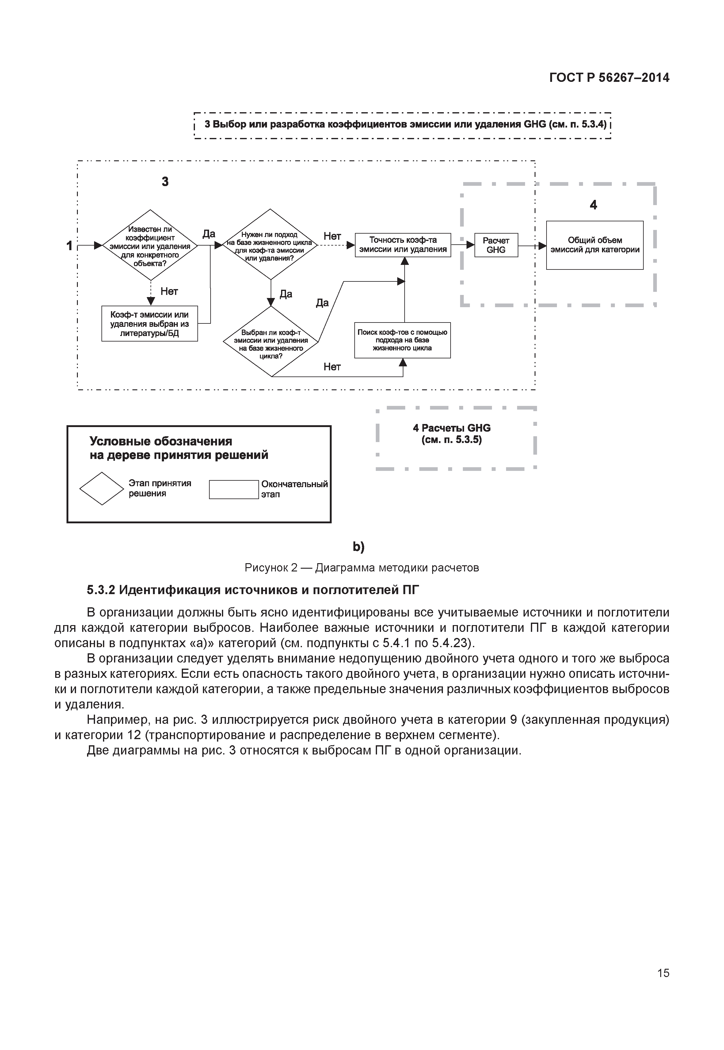
Газы парниковые. Определение количества выбросов парниковых газов в организациях и отчетность. Руководство по применению стандарта ИСО 14064-1Обозначение: | ГОСТ Р 56267-2014 | Обозначение англ: | GOST R 56267-2014 | Статус: | введен впервые | Название рус.: | Газы парниковые. Определение количества выбросов парниковых газов в организациях и отчетность. Руководство по применению стандарта ИСО 14064-1 | Название англ.: | Greenhouse gases. Quantification and reporting of greenhouse gas emissions for organizations. Guidance for the application of ISO 14064-1 | Дата добавления в базу: | 12.02.2016 | Дата актуализации: | 05.05.2017 | Дата введения: | 01.01.2016 | Область применения: | В стандарте установлены принципы, концепции и методы, предназначенные для определения количества прямых и непрямых выбросов парниковых газов в организациях и для соответствующей отчетности. Приведены инструкции по применению ИСО 14064-1 к описанию запасов парниковых газов на уровне организации, по количественному описанию и отчетности, относящимся к прямым выбросам, непрямым энергетическим и другим непрямым выбросам. Стандарт распространяется на все организации, включая местные органы власти, охватывая шаги, необходимые для: - установления организационных границ в соответствии либо с подходом на базе контроля (финансового или оперативного), либо с подходом на базе долевого участия; - установления операционных границ с определением прямых и непрямых энергетических выбросов, подлежащих количественной оценке и включению в отчеты, а также других непрямых выбросов для оценки и отчетности по выбору организации. При этом для каждой категории выбросов в стандарте предоставляются инструкции по конкретным границам и методикам, которые должны использоваться для количественного определения выбросов и удаления парниковых газов; - подготовка отчетности по парниковым газам, для чего в стандарте приведено руководство по обеспечению большой прозрачности отчетности в отношении границ и методик, используемых для количественного определения прямых и непрямых выбросов парниковых газов, объемов удаления парниковых газов и погрешностей в результатах. | Оглавление: | 1 Область применения 2 Нормативные ссылки 3 Термины, определения и сокращения 3.1 Термины, относящиеся к эмиссии парниковых газов 3.2 Термины, относящиеся к биомассе и использованию земли 3.3 Термины, относящиеся к данным 3.4 Другие термины 4 Основные принципы 4.1 Общие положения 4.2 Соответствие потребностям 4.3 Полнота 4.4 Согласование 4.5 Точность 4.6 Прозрачность 5 Проектирование и разработка реестра ПГ 5.1 Организационные границы 5.2 Операционные границы 5.3 Общие принципы количественного определения выбросов и их удаления 5.4 Количественное определение выбросов и удаления ПГ для каждой категории 6 Компоненты реестра ПГ 6.1 Проекты по снижению уровня или удалению выбросов ПГ (проекты по коррекции углеродного состава) 6.2 Оценка неопределенности 7 Менеджмент качества реестра ПГ 8 Отчетность по ПГ 8.1 Общие положения 8.2 Формат отчета по реестру ПГ 8.3 Содержание отчета по реестру ПГ Приложение А (справочное) Соответствие между ИСО 14064-1:2006 и настоящим стандартом Приложение В (справочное) Примеры баз данных коэффициентов выбросов и удаления Приложение С (справочное) Список категорий Приложение D (справочное) Потенциал глобального потепления (ПГП) на период 100 лет Приложение Е (справочное) Специфика категории 15 (инвестиции) в случае финансовых и страховых компаний Приложение F (справочное) Таблицы для отчетов Приложение ДА (справочное) Сведения о соответствии ссылочных международных стандартов соответствующим национальным стандартам Российской Федерации Библиография | Разработан: | АНО Агентство исследований промышленных рисков
| Утверждён: | 26.11.2014 Федеральное агентство по техническому регулированию и метрологии (1853-ст)
| Издан: | Стандартинформ (2015 г. )
| Расположен в: |
| Нормативные ссылки: | |
                                                                                
|