Информационная система
«Ёшкин Кот»

Скачать базу одним архивом
Скачать обновления
История создания базы
Карта сайта

Скачать ГОСТ Р 56349-2015 Трубы бурильные и другие элементы бурильных колонн в нефтяной и газовой промышленности. Часть 2. Основные параметры и контроль резьбовых упорных соединений. Общие технические требования

Дата актуализации: 10.08.2017

ГОСТ Р 56349-2015

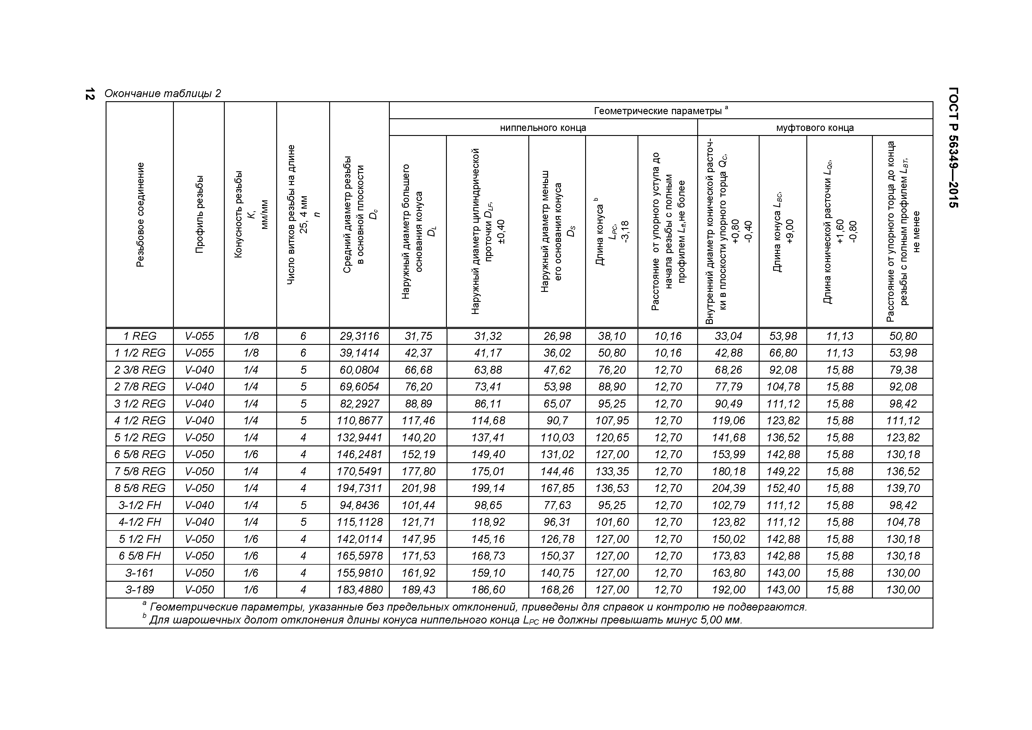
Трубы бурильные и другие элементы бурильных колонн в нефтяной и газовой промышленности. Часть 2. Основные параметры и контроль резьбовых упорных соединений. Общие технические требования

Обозначение: ГОСТ Р 56349-2015
Обозначение англ: GOST R 56349-2015
Статус:введен впервые
Название рус.:Трубы бурильные и другие элементы бурильных колонн в нефтяной и газовой промышленности. Часть 2. Основные параметры и контроль резьбовых упорных соединений. Общие технические требования
Название англ.:Drill pipes and other elements of drilling equipment for petroleum and natural gas industries. Part 2. Basic parameters and inspection of thread shouldered connection. General technical requirements
Дата добавления в базу:12.02.2016
Дата актуализации:05.05.2017
Дата введения:01.10.2015
Область применения:Стандарт устанавливает требования к резьбовым упорным соединениям бурильных труб и других элементов бурильных колонн, используемых в нефтяной и газовой промышленности.
Оглавление:1 Область применения
2 Нормативные ссылки
3 Термины и определения
4 Обозначения и сокращения
   4.1 Обозначения
   4.2 Сокращения
5 Технические требования
   5.1 Форма и геометрические параметры профиля резьбы
   5.2 Форма и геометрические параметры резьбового упорного соединения
      5.2.1 Основные геометрические параметры
      5.2.2 Упорные поверхности
      5.2.3 Соосность
      5.2.4 Основание ниппельного конца
      5.2.5 Фаски на упорных поверхностях соединений УБТ и элементов бурильных колонн, соединяемых с ними
      5.2.6 Низкомоментное исполнение
   5.3 Покрытие
6 Дополнительные требования
   6.1 Общие положения
   6.2 Разгрузочные элементы
   6.3 Контрольные метки
   6.4 Холодное деформационное упрочнение
   6.5 Приработка
7 Правила приемки и методы контроля
   7.1 Общие положения
   7.2 Условия проведения контроля
   7.3 Измерение натяга
   7.4 Измерительные наконечники приборов
   7.5 Измерение шага резьбы
   7.6 Определение конусности
   7.7 Измерение высоты профиля резьбы
   7.8 Контроль соосности
   7.9 Контроль качества покрытия
8 Правила применения калибров
   8.1 Схема применения калибров
   8.2 Требования к калибрам
9 Калибровка резьбовых калибров
   9.1 Порядок проведения калибровки
   9.2 Критерии приемки
   9.3 Методы контроля калибров
Приложение А (обязательное) Перевозка контрольных калибров
Приложение В (обязательное) Хранение рабочих калибров и их применение
Приложение С (справочное) Рекомендации по контролю новых резьбовых упорных соединений
Приложение D (справочное) Расчет геометрических параметров резьбового упорного соединения
Приложение Е (справочное) Взаимозаменяемость резьбовых упорных соединений
Приложение F (справочное) Первичные и региональные эталонные калибры АПИ для резьбовых упорных соединений
Приложение ДА (справочное) Сравнение структуры настоящего стандарта со структурой международного стандарта
Библиография
Разработан: ТК 357 Стальные и чугунные трубы и баллоны
ООО Специализированная переводческая фирма Интерсервис
Подкомитет ПК 7 Трубы нарезные нефтяного сортамента
Утверждён:11.02.2015 Федеральное агентство по техническому регулированию и метрологии (78-ст)
Издан: Стандартинформ (2015 г. )
Расположен в:Техническая документация Электроэнергия ДОБЫЧА И ПЕРЕРАБОТКА НЕФТИ, ГАЗА И СМЕЖНЫЕ ПРОИЗВОДСТВА Оборудование для нефтяной и газовой промышленности Оборудование для переработки нефти и газа ГИДРАВЛИЧЕСКИЕ И ПНЕВМАТИЧЕСКИЕ СИСТЕМЫ И КОМПОНЕНТЫ ОБЩЕГО НАЗНАЧЕНИЯ Трубопроводы и их компоненты Чугунные и стальные трубы Экология ДОБЫЧА И ПЕРЕРАБОТКА НЕФТИ, ГАЗА И СМЕЖНЫЕ ПРОИЗВОДСТВА Оборудование для нефтяной и газовой промышленности Оборудование для переработки нефти и газа ГИДРАВЛИЧЕСКИЕ И ПНЕВМАТИЧЕСКИЕ СИСТЕМЫ И КОМПОНЕНТЫ ОБЩЕГО НАЗНАЧЕНИЯ Трубопроводы и их компоненты Чугунные и стальные трубы
Нормативные ссылки:
ГОСТ Р 56349-2015ГОСТ Р 56349-2015ГОСТ Р 56349-2015ГОСТ Р 56349-2015ГОСТ Р 56349-2015ГОСТ Р 56349-2015ГОСТ Р 56349-2015ГОСТ Р 56349-2015ГОСТ Р 56349-2015ГОСТ Р 56349-2015ГОСТ Р 56349-2015ГОСТ Р 56349-2015ГОСТ Р 56349-2015ГОСТ Р 56349-2015ГОСТ Р 56349-2015ГОСТ Р 56349-2015ГОСТ Р 56349-2015ГОСТ Р 56349-2015ГОСТ Р 56349-2015ГОСТ Р 56349-2015ГОСТ Р 56349-2015ГОСТ Р 56349-2015ГОСТ Р 56349-2015ГОСТ Р 56349-2015ГОСТ Р 56349-2015ГОСТ Р 56349-2015ГОСТ Р 56349-2015ГОСТ Р 56349-2015ГОСТ Р 56349-2015ГОСТ Р 56349-2015ГОСТ Р 56349-2015ГОСТ Р 56349-2015ГОСТ Р 56349-2015ГОСТ Р 56349-2015ГОСТ Р 56349-2015ГОСТ Р 56349-2015ГОСТ Р 56349-2015ГОСТ Р 56349-2015ГОСТ Р 56349-2015ГОСТ Р 56349-2015ГОСТ Р 56349-2015ГОСТ Р 56349-2015ГОСТ Р 56349-2015ГОСТ Р 56349-2015ГОСТ Р 56349-2015ГОСТ Р 56349-2015ГОСТ Р 56349-2015ГОСТ Р 56349-2015ГОСТ Р 56349-2015ГОСТ Р 56349-2015ГОСТ Р 56349-2015ГОСТ Р 56349-2015ГОСТ Р 56349-2015ГОСТ Р 56349-2015ГОСТ Р 56349-2015ГОСТ Р 56349-2015ГОСТ Р 56349-2015ГОСТ Р 56349-2015ГОСТ Р 56349-2015ГОСТ Р 56349-2015ГОСТ Р 56349-2015ГОСТ Р 56349-2015ГОСТ Р 56349-2015ГОСТ Р 56349-2015ГОСТ Р 56349-2015ГОСТ Р 56349-2015ГОСТ Р 56349-2015ГОСТ Р 56349-2015

© 2013 Ёшкин Кот :-) Карта сайта