Информационная система
«Ёшкин Кот»

Скачать базу одним архивом
Скачать обновления
История создания базы
Карта сайта

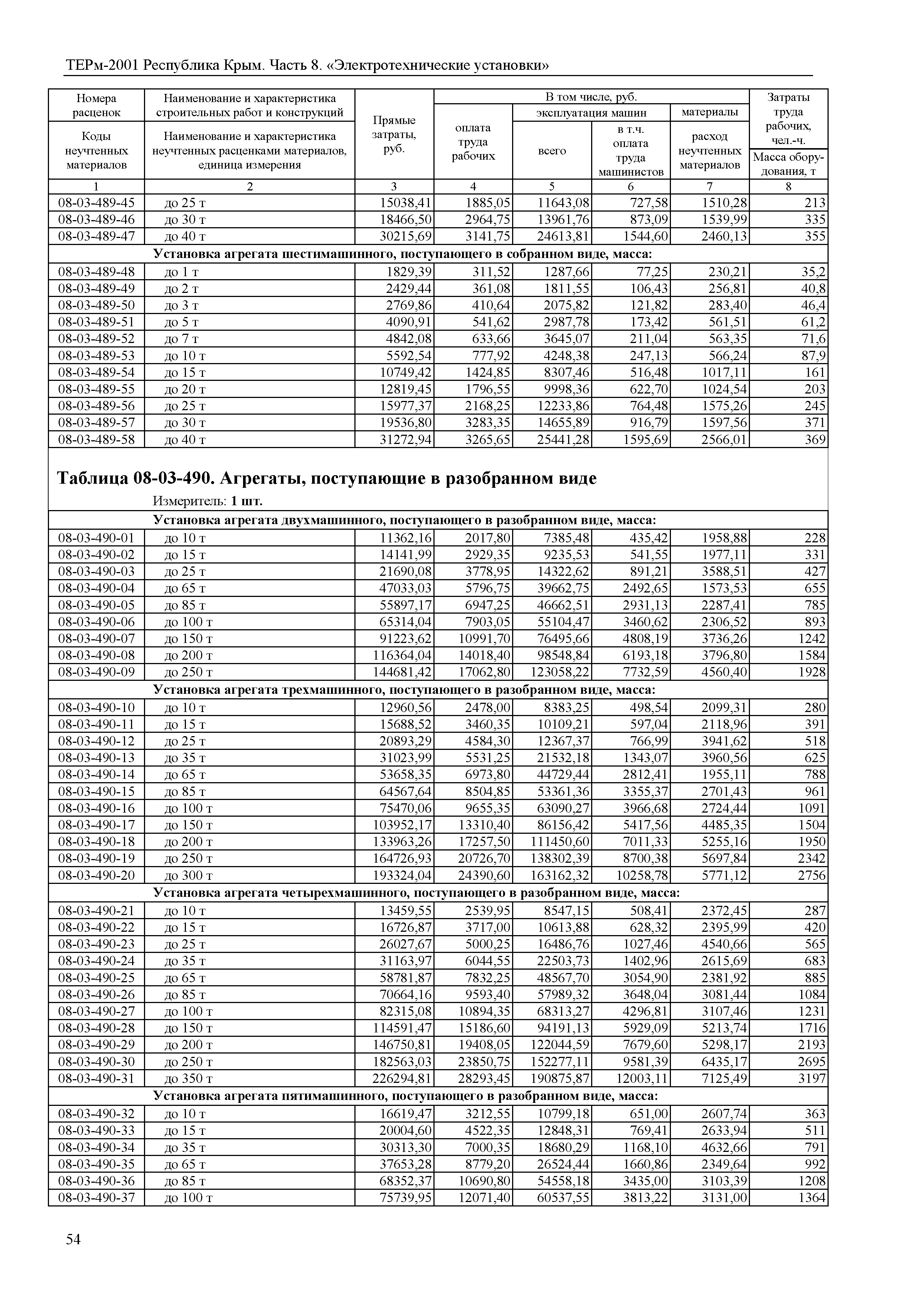
Скачать ТЕРм 2001 Республика Крым Часть 8. Электротехнические установки

Дата актуализации: 10.08.2017

ТЕРм 2001 Республика Крым

Часть 8. Электротехнические установки

Обозначение: ТЕРм 2001 Республика Крым
Обозначение англ: TERm 2001 Республика Крым
Статус:действует
Название рус.:Часть 8. Электротехнические установки
Дата добавления в базу:21.05.2015
Дата актуализации:05.05.2017
Область применения:Территориальные единичные расценки на монтаж оборудования предназначены для определения затрат при выполнении монтажных работ и составления на их основе сметных расчетов (смет) на производство указанных работ.
Оглавление:Отдел 1. Распределительные устройства и подстанции
   Раздел 1. Распределительные устройства открытые 6 - 750 кВ
   Раздел 2. Распределительные устройства закрытые 35 - 220 кВ
   Раздел 3. Распределительные устройства закрытые 3 - 20 кВ
   Раздел 4. Преобразовательные устройства
   Раздел 5. Аккумуляторные установки
Отдел 2. Канализация электроэнергии и электрические сети
   Раздел 1. Кабельные линии до 500 кВ
   Раздел 2. Сети контактные городского транспорта
   Раздел 3. Сети контактные метрополитена
   Раздел 4. Сети контактные промышленного транспорта
   Раздел 5. Электроосвещение наружное
   Раздел 6. Сети проводок в зданиях и сооружениях
   Раздел 7. Шины тяжелые
   Раздел 8. Сети заземления электротехнических установок
Отдел 3. Электросиловые и электроосветительные установки
   Раздел 1. Электрические машины
   Раздел 2. Токоподвод к подъемно-транспортным установкам
   Раздел 3. Устройства пускорегулирующие
   Раздел 4. Низковольтные комплектные устройства
   Раздел 5. Приборы осветительные, нагревательные, щитки и счетчики
   Раздел 6. Установки театрально-зрелищных предприятий
Отдел 4. Кабельные линии и электрооборудование специальных установок
   Раздел 1. Кабельные линии и электрооборудование ядерных энергоустановок и cпецкорпусов АЭС
Отдел 5. Кабельные линии и электрооборудование специальных установок для горнорудных выработок
   Раздел 1. Кабельные линии до 110 кВ в горнорудных выработках
   Раздел 2. Электрооборудование в горнорудных выработках
Расположен в:Техническая документация Строительство Нормативные документы Нормативные документы субъектов Российской Федерации Нормативные документы Республики Крым
ТЕРм 2001 Республика КрымТЕРм 2001 Республика КрымТЕРм 2001 Республика КрымТЕРм 2001 Республика КрымТЕРм 2001 Республика КрымТЕРм 2001 Республика КрымТЕРм 2001 Республика КрымТЕРм 2001 Республика КрымТЕРм 2001 Республика КрымТЕРм 2001 Республика КрымТЕРм 2001 Республика КрымТЕРм 2001 Республика КрымТЕРм 2001 Республика КрымТЕРм 2001 Республика КрымТЕРм 2001 Республика КрымТЕРм 2001 Республика КрымТЕРм 2001 Республика КрымТЕРм 2001 Республика КрымТЕРм 2001 Республика КрымТЕРм 2001 Республика КрымТЕРм 2001 Республика КрымТЕРм 2001 Республика КрымТЕРм 2001 Республика КрымТЕРм 2001 Республика КрымТЕРм 2001 Республика КрымТЕРм 2001 Республика КрымТЕРм 2001 Республика КрымТЕРм 2001 Республика КрымТЕРм 2001 Республика КрымТЕРм 2001 Республика КрымТЕРм 2001 Республика КрымТЕРм 2001 Республика КрымТЕРм 2001 Республика КрымТЕРм 2001 Республика КрымТЕРм 2001 Республика КрымТЕРм 2001 Республика КрымТЕРм 2001 Республика КрымТЕРм 2001 Республика КрымТЕРм 2001 Республика КрымТЕРм 2001 Республика КрымТЕРм 2001 Республика КрымТЕРм 2001 Республика КрымТЕРм 2001 Республика КрымТЕРм 2001 Республика КрымТЕРм 2001 Республика КрымТЕРм 2001 Республика КрымТЕРм 2001 Республика КрымТЕРм 2001 Республика КрымТЕРм 2001 Республика КрымТЕРм 2001 Республика КрымТЕРм 2001 Республика КрымТЕРм 2001 Республика КрымТЕРм 2001 Республика КрымТЕРм 2001 Республика КрымТЕРм 2001 Республика КрымТЕРм 2001 Республика КрымТЕРм 2001 Республика КрымТЕРм 2001 Республика КрымТЕРм 2001 Республика КрымТЕРм 2001 Республика КрымТЕРм 2001 Республика КрымТЕРм 2001 Республика КрымТЕРм 2001 Республика КрымТЕРм 2001 Республика КрымТЕРм 2001 Республика КрымТЕРм 2001 Республика КрымТЕРм 2001 Республика КрымТЕРм 2001 Республика КрымТЕРм 2001 Республика КрымТЕРм 2001 Республика КрымТЕРм 2001 Республика КрымТЕРм 2001 Республика КрымТЕРм 2001 Республика КрымТЕРм 2001 Республика КрымТЕРм 2001 Республика КрымТЕРм 2001 Республика КрымТЕРм 2001 Республика КрымТЕРм 2001 Республика КрымТЕРм 2001 Республика КрымТЕРм 2001 Республика КрымТЕРм 2001 Республика КрымТЕРм 2001 Республика КрымТЕРм 2001 Республика КрымТЕРм 2001 Республика КрымТЕРм 2001 Республика КрымТЕРм 2001 Республика КрымТЕРм 2001 Республика КрымТЕРм 2001 Республика КрымТЕРм 2001 Республика КрымТЕРм 2001 Республика КрымТЕРм 2001 Республика КрымТЕРм 2001 Республика КрымТЕРм 2001 Республика КрымТЕРм 2001 Республика Крым

© 2013 Ёшкин Кот :-) Карта сайта