Информационная система
«Ёшкин Кот»

Скачать базу одним архивом
Скачать обновления
История создания базы
Карта сайта

Скачать ТЕР 2001-18 Московской области Отопление - внутренние устройства. Территориальные единичные расценки для определения стоимости строительства в Московской области

Дата актуализации: 10.08.2017

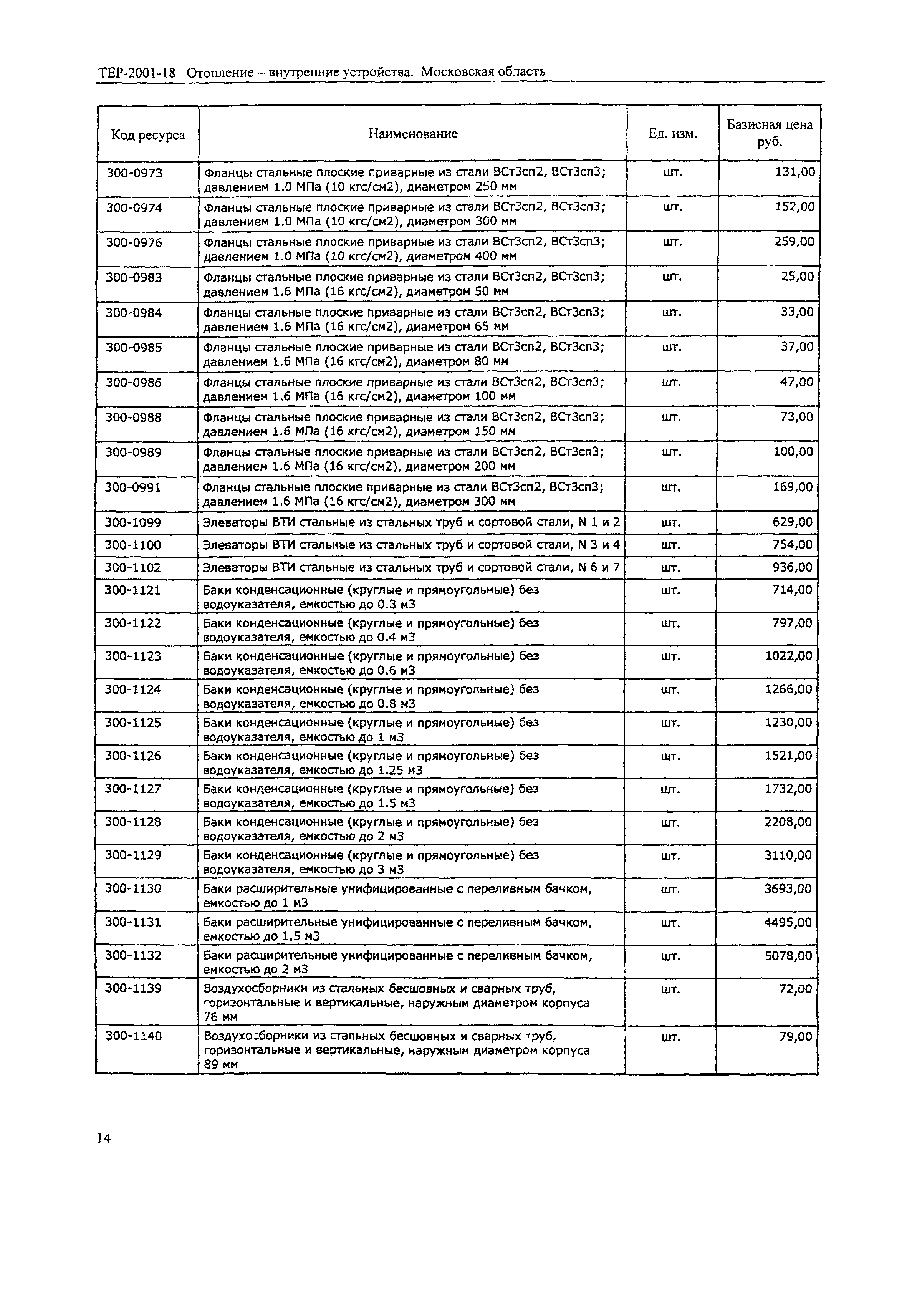
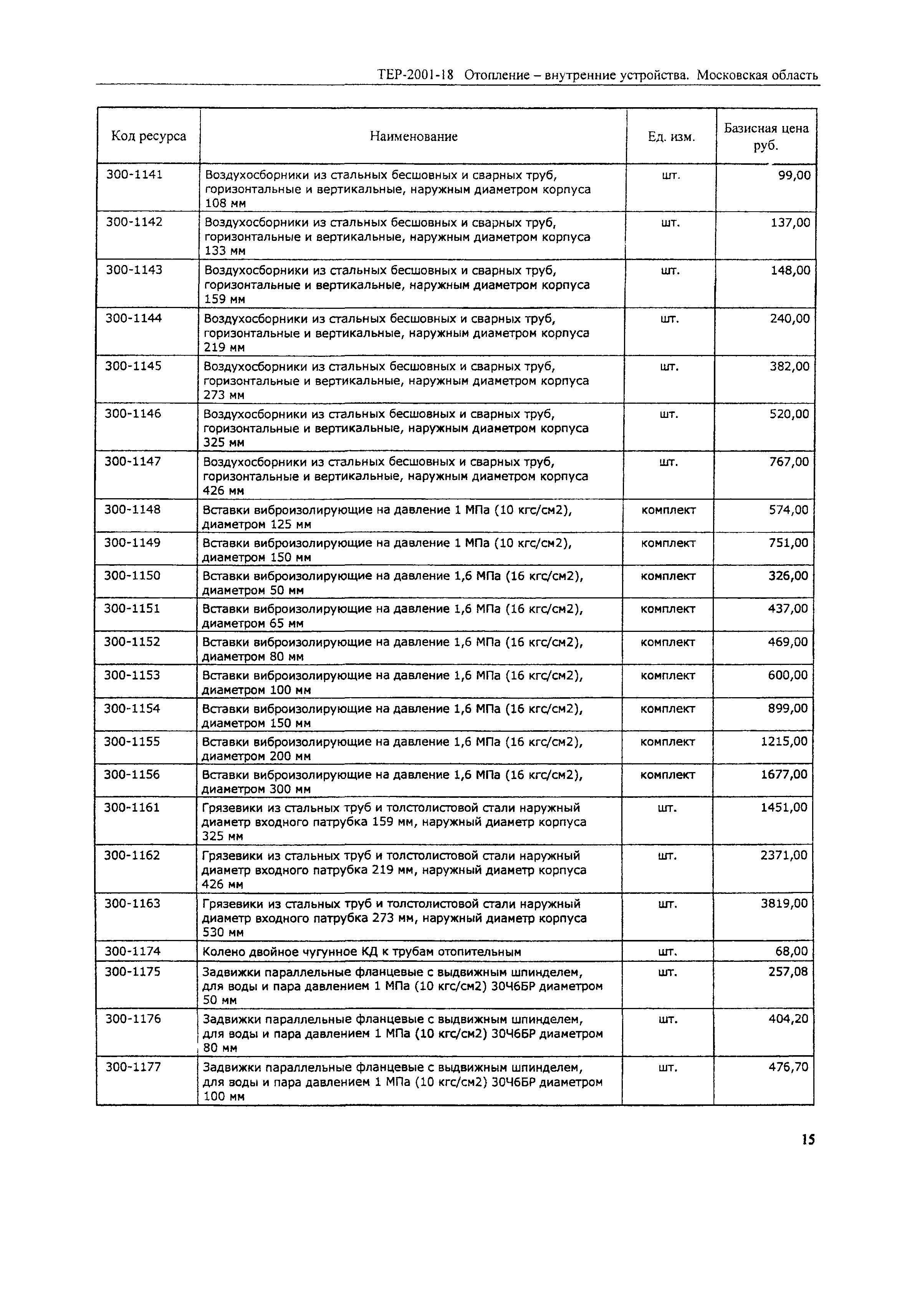
ТЕР 2001-18 Московской области

Отопление - внутренние устройства. Территориальные единичные расценки для определения стоимости строительства в Московской области

Обозначение: ТЕР 2001-18 Московской области
Обозначение англ: TER 2001-18 Московской области
Статус:действует
Название рус.:Отопление - внутренние устройства. Территориальные единичные расценки для определения стоимости строительства в Московской области
Дата добавления в базу:21.05.2015
Дата актуализации:05.05.2017
Область применения:Предназначены для определения прямых затрат в сметной стоимости строительных работ по установке агрегатов, приборов и устройств систем отопления, а также для расчетов за выполненные работы.
Оглавление:Техническая часть
1. Общие указания
2. Правила исчисления объемов работ
Приложение к технической части
Таблица 18-01-001. Установка котлов отопительных чугунных секционных на твердом топливе
Таблица 18-01-002. Установка котлов стальных жаротрубных пароводогрейных
Таблица 18-02-001. Установка водоподогревателей скоростных односекционных
Таблица 18-02-002. Установка секций водоподогревателей скоростных
Таблица 18-02-003. Установка водоподогревателей емкостных
Таблица 18-03-001. Установка радиаторов и конвекторов
Таблица 18-03-002. Установка труб чугунных ребристых
Таблица 18-03-003. Установка колен чугунных двойных к ребристым трубам
Таблица 18-03-004. Установка регистров из стальных труб
Таблица 18-04-001. Установка баков расширительных
Таблица 18-04-002. Установка баков конденсационных
Таблица 18-04-003. Установка поддонов металлических для баков
Таблица 18-05-001. Установка насосов центробежных с электродвигателем
Таблица 18-05-002. Установка вставок виброизолирующих к насосам
Таблица 18-06-001. Установка гребенок пароводораспределительных в стальных труб
Таблица 18-06-002. Установка грязевиков
Таблица 18-06-003. Установка воздухосборников и воздухоотводчиков
Таблица 18-06-004. Установка узлов тепловых элеваторных
Таблица 18-06-005. Установка элеваторов
Таблица 18-06-006. Установка узлов конденсатоотводчиков и ручных насосов
Таблица 18-06-007. Установка фильтров
Таблица 18-07-001. Установка контрольно-измерительных приборов и кранов воздушных
Приложение. Сборник сметных расценок на эксплуатацию строительных машин и сметных цен на материалы, изделия и конструкции (в базисных ценах Московской области по состоянию на 01.01.2000)
   Затраты труда рабочих-строителей
   Эксплуатация строительных машин
   Сметные цены на материальные ресурсы
Разработан: Мособлгосэкспертиза
ООО ИНАС
Утверждён:04.11.2002 Минмособлстрой (Minmosoblstroy 176)
13.04.1998 Правительство Московской области (Government of the Moscow Region 38/11)
Издан: Минмособлстрой (2002 г. )
Расположен в:Техническая документация Экология СТРОИТЕЛЬНЫЕ МАТЕРИАЛЫ И СТРОИТЕЛЬСТВО Строительная промышленность Стоимость строительства и обслуживания зданий и сооружений -50 Стоимость строительных и строительно-монтажных работ Строительство Нормативные документы Нормативные документы субъектов Российской Федерации Нормативные документы Московской области Документы Системы нормативных документов в строительстве Нормативные документы по экономике к.81 Ценообразование и сметы Классификатор ISO Нормативные документы по экономике Ценообразование и сметы
ТЕР 2001-18 Московской областиТЕР 2001-18 Московской областиТЕР 2001-18 Московской областиТЕР 2001-18 Московской областиТЕР 2001-18 Московской областиТЕР 2001-18 Московской областиТЕР 2001-18 Московской областиТЕР 2001-18 Московской областиТЕР 2001-18 Московской областиТЕР 2001-18 Московской областиТЕР 2001-18 Московской областиТЕР 2001-18 Московской областиТЕР 2001-18 Московской областиТЕР 2001-18 Московской областиТЕР 2001-18 Московской областиТЕР 2001-18 Московской областиТЕР 2001-18 Московской областиТЕР 2001-18 Московской областиТЕР 2001-18 Московской областиТЕР 2001-18 Московской областиТЕР 2001-18 Московской областиТЕР 2001-18 Московской областиТЕР 2001-18 Московской областиТЕР 2001-18 Московской областиТЕР 2001-18 Московской области

© 2013 Ёшкин Кот :-) Карта сайта