Информационная система
«Ёшкин Кот»

Скачать базу одним архивом
Скачать обновления
История создания базы
Карта сайта

Скачать Постановление 832-ПП О региональной программе капитального ремонта общего имущества в многоквартирных домах на территории города Москвы

Дата актуализации: 10.08.2017

Постановление 832-ПП

О региональной программе капитального ремонта общего имущества в многоквартирных домах на территории города Москвы

Обозначение: Постановление 832-ПП
Обозначение англ: Resolution 832-ПП
Статус:действует
Название рус.:О региональной программе капитального ремонта общего имущества в многоквартирных домах на территории города Москвы
Дата добавления в базу:21.05.2015
Дата актуализации:05.05.2017
Дата введения:29.12.2014
Оглавление:Приложение 1 Порядок применения критериев очередности проведения капитального ремонта общего имущества в многоквартирных домах на территории города Москвы
   Приложение
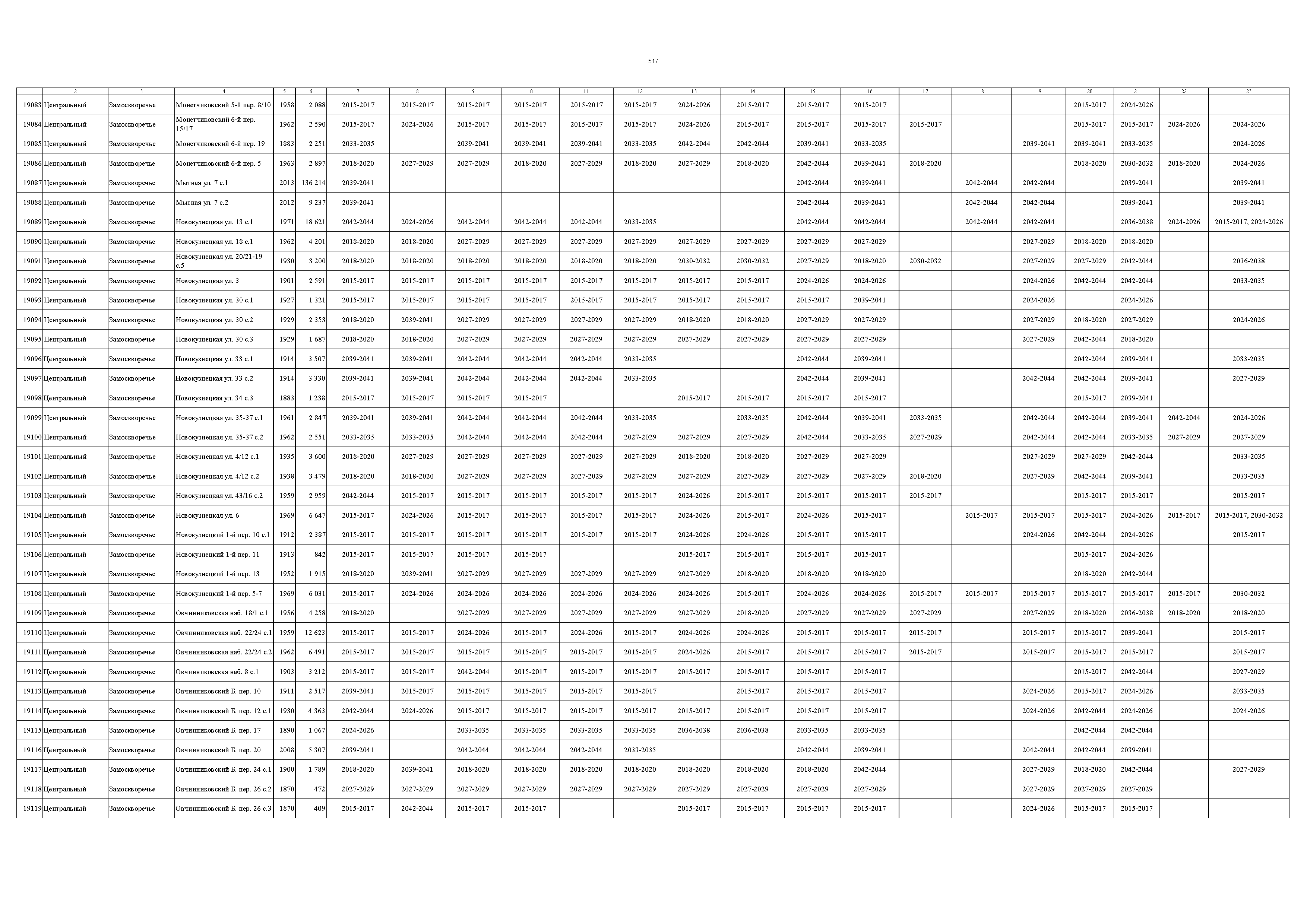
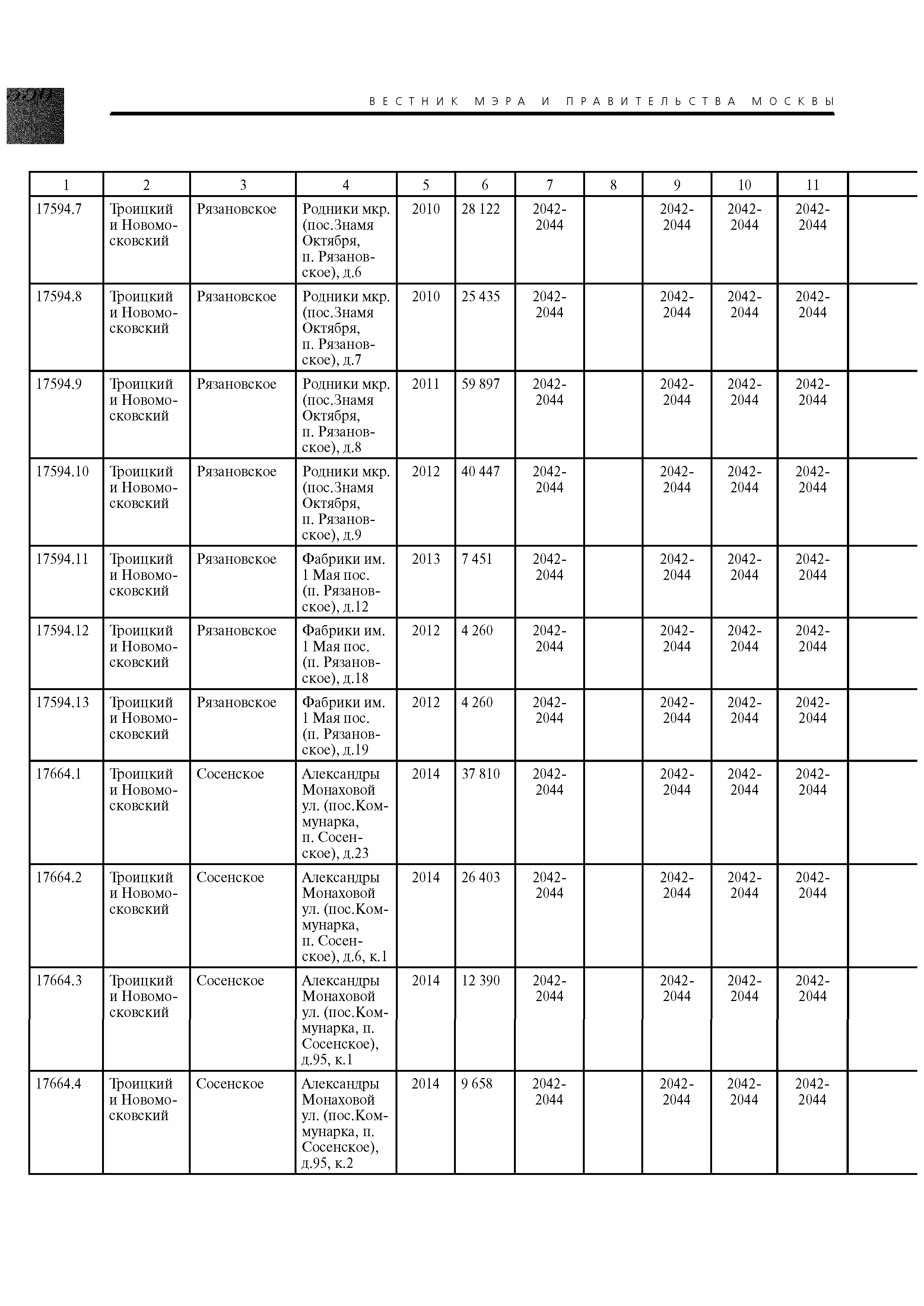
Приложение 2 Региональная программа капитального ремонта общего имущества в многоквартирных домах на территории города Москвы на 2015 - 2044 годы
Утверждён:29.12.2014 Правительство Москвы (Government of the City of Moscow 832-ПП)
Издан: Вестник Мэра и Правительства Москвы (январь 2015, № 2 (том 1 - 7))
Расположен в:Техническая документация Строительство Нормативные документы Нормативные документы субъектов Российской Федерации Нормативные документы г. Москвы
Список изменений:
  • № 2 от 25.12.2015 ("Официальный портал Мэра и Правительства Москвы" (от 30.12.2015 г.)
Нормативные ссылки:
Постановление 832-ПППостановление 832-ПППостановление 832-ПППостановление 832-ПППостановление 832-ПППостановление 832-ПППостановление 832-ПППостановление 832-ПППостановление 832-ПППостановление 832-ПППостановление 832-ПППостановление 832-ПППостановление 832-ПППостановление 832-ПППостановление 832-ПППостановление 832-ПППостановление 832-ПППостановление 832-ПППостановление 832-ПППостановление 832-ПППостановление 832-ПППостановление 832-ПППостановление 832-ПППостановление 832-ПППостановление 832-ПППостановление 832-ПППостановление 832-ПППостановление 832-ПППостановление 832-ПППостановление 832-ПППостановление 832-ПППостановление 832-ПППостановление 832-ПППостановление 832-ПППостановление 832-ПППостановление 832-ПППостановление 832-ПППостановление 832-ПППостановление 832-ПППостановление 832-ПППостановление 832-ПППостановление 832-ПППостановление 832-ПППостановление 832-ПППостановление 832-ПППостановление 832-ПППостановление 832-ПППостановление 832-ПППостановление 832-ПППостановление 832-ПППостановление 832-ПППостановление 832-ПППостановление 832-ПППостановление 832-ПППостановление 832-ПППостановление 832-ПППостановление 832-ПППостановление 832-ПППостановление 832-ПППостановление 832-ПППостановление 832-ПППостановление 832-ПППостановление 832-ПППостановление 832-ПППостановление 832-ПППостановление 832-ПППостановление 832-ПППостановление 832-ПППостановление 832-ПППостановление 832-ПППостановление 832-ПППостановление 832-ПППостановление 832-ПППостановление 832-ПППостановление 832-ПППостановление 832-ПППостановление 832-ПППостановление 832-ПППостановление 832-ПППостановление 832-ПППостановление 832-ПППостановление 832-ПППостановление 832-ПППостановление 832-ПППостановление 832-ПППостановление 832-ПППостановление 832-ПППостановление 832-ПППостановление 832-ПППостановление 832-ПППостановление 832-ПППостановление 832-ПППостановление 832-ПППостановление 832-ПППостановление 832-ПППостановление 832-ПППостановление 832-ПППостановление 832-ПППостановление 832-ПППостановление 832-ПППостановление 832-ПППостановление 832-ПППостановление 832-ПППостановление 832-ПППостановление 832-ПППостановление 832-ПППостановление 832-ПППостановление 832-ПППостановление 832-ПППостановление 832-ПППостановление 832-ПППостановление 832-ПППостановление 832-ПППостановление 832-ПППостановление 832-ПППостановление 832-ПППостановление 832-ПППостановление 832-ПППостановление 832-ПППостановление 832-ПППостановление 832-ПППостановление 832-ПППостановление 832-ПППостановление 832-ПППостановление 832-ПППостановление 832-ПППостановление 832-ПППостановление 832-ПППостановление 832-ПППостановление 832-ПППостановление 832-ПППостановление 832-ПППостановление 832-ПППостановление 832-ПППостановление 832-ПППостановление 832-ПППостановление 832-ПППостановление 832-ПППостановление 832-ПППостановление 832-ПППостановление 832-ПППостановление 832-ПППостановление 832-ПППостановление 832-ПППостановление 832-ПППостановление 832-ПППостановление 832-ПППостановление 832-ПППостановление 832-ПППостановление 832-ПППостановление 832-ПППостановление 832-ПППостановление 832-ПППостановление 832-ПППостановление 832-ПППостановление 832-ПППостановление 832-ПППостановление 832-ПППостановление 832-ПППостановление 832-ПППостановление 832-ПППостановление 832-ПППостановление 832-ПППостановление 832-ПППостановление 832-ПППостановление 832-ПППостановление 832-ПППостановление 832-ПППостановление 832-ПППостановление 832-ПППостановление 832-ПППостановление 832-ПППостановление 832-ПППостановление 832-ПППостановление 832-ПППостановление 832-ПППостановление 832-ПППостановление 832-ПППостановление 832-ПППостановление 832-ПППостановление 832-ПППостановление 832-ПППостановление 832-ПППостановление 832-ПППостановление 832-ПППостановление 832-ПППостановление 832-ПППостановление 832-ПППостановление 832-ПППостановление 832-ПППостановление 832-ПППостановление 832-ПППостановление 832-ПППостановление 832-ПППостановление 832-ПППостановление 832-ПППостановление 832-ПППостановление 832-ПППостановление 832-ПППостановление 832-ПППостановление 832-ПППостановление 832-ПППостановление 832-ПППостановление 832-ПППостановление 832-ПППостановление 832-ПППостановление 832-ПППостановление 832-ПППостановление 832-ПППостановление 832-ПППостановление 832-ПППостановление 832-ПППостановление 832-ПППостановление 832-ПППостановление 832-ПППостановление 832-ПППостановление 832-ПППостановление 832-ПППостановление 832-ПППостановление 832-ПППостановление 832-ПППостановление 832-ПППостановление 832-ПППостановление 832-ПППостановление 832-ПППостановление 832-ПППостановление 832-ПППостановление 832-ПППостановление 832-ПППостановление 832-ПППостановление 832-ПППостановление 832-ПППостановление 832-ПППостановление 832-ПППостановление 832-ПППостановление 832-ПППостановление 832-ПППостановление 832-ПППостановление 832-ПППостановление 832-ПППостановление 832-ПППостановление 832-ПППостановление 832-ПППостановление 832-ПППостановление 832-ПППостановление 832-ПППостановление 832-ПППостановление 832-ПППостановление 832-ПППостановление 832-ПППостановление 832-ПППостановление 832-ПППостановление 832-ПППостановление 832-ПППостановление 832-ПППостановление 832-ПППостановление 832-ПППостановление 832-ПППостановление 832-ПППостановление 832-ПППостановление 832-ПППостановление 832-ПППостановление 832-ПППостановление 832-ПППостановление 832-ПППостановление 832-ПППостановление 832-ПППостановление 832-ПППостановление 832-ПППостановление 832-ПППостановление 832-ПППостановление 832-ПППостановление 832-ПППостановление 832-ПППостановление 832-ПППостановление 832-ПППостановление 832-ПППостановление 832-ПППостановление 832-ПППостановление 832-ПППостановление 832-ПППостановление 832-ПППостановление 832-ПППостановление 832-ПППостановление 832-ПППостановление 832-ПППостановление 832-ПППостановление 832-ПППостановление 832-ПППостановление 832-ПППостановление 832-ПППостановление 832-ПППостановление 832-ПППостановление 832-ПППостановление 832-ПППостановление 832-ПППостановление 832-ПППостановление 832-ПППостановление 832-ПППостановление 832-ПППостановление 832-ПППостановление 832-ПППостановление 832-ПППостановление 832-ПППостановление 832-ПППостановление 832-ПППостановление 832-ПППостановление 832-ПППостановление 832-ПППостановление 832-ПППостановление 832-ПППостановление 832-ПППостановление 832-ПППостановление 832-ПППостановление 832-ПППостановление 832-ПППостановление 832-ПППостановление 832-ПППостановление 832-ПППостановление 832-ПППостановление 832-ПППостановление 832-ПППостановление 832-ПППостановление 832-ПППостановление 832-ПППостановление 832-ПППостановление 832-ПППостановление 832-ПППостановление 832-ПППостановление 832-ПППостановление 832-ПППостановление 832-ПППостановление 832-ПППостановление 832-ПППостановление 832-ПППостановление 832-ПППостановление 832-ПППостановление 832-ПППостановление 832-ПППостановление 832-ПППостановление 832-ПППостановление 832-ПППостановление 832-ПППостановление 832-ПППостановление 832-ПППостановление 832-ПППостановление 832-ПППостановление 832-ПППостановление 832-ПППостановление 832-ПППостановление 832-ПППостановление 832-ПППостановление 832-ПППостановление 832-ПППостановление 832-ПППостановление 832-ПППостановление 832-ПППостановление 832-ПППостановление 832-ПППостановление 832-ПППостановление 832-ПППостановление 832-ПППостановление 832-ПППостановление 832-ПППостановление 832-ПППостановление 832-ПППостановление 832-ПППостановление 832-ПППостановление 832-ПППостановление 832-ПППостановление 832-ПППостановление 832-ПППостановление 832-ПППостановление 832-ПППостановление 832-ПППостановление 832-ПППостановление 832-ПППостановление 832-ПППостановление 832-ПППостановление 832-ПППостановление 832-ПППостановление 832-ПППостановление 832-ПППостановление 832-ПППостановление 832-ПППостановление 832-ПППостановление 832-ПППостановление 832-ПППостановление 832-ПППостановление 832-ПППостановление 832-ПППостановление 832-ПППостановление 832-ПППостановление 832-ПППостановление 832-ПППостановление 832-ПППостановление 832-ПППостановление 832-ПППостановление 832-ПППостановление 832-ПППостановление 832-ПППостановление 832-ПППостановление 832-ПППостановление 832-ПППостановление 832-ПППостановление 832-ПППостановление 832-ПППостановление 832-ПППостановление 832-ПППостановление 832-ПППостановление 832-ПППостановление 832-ПППостановление 832-ПППостановление 832-ПППостановление 832-ПППостановление 832-ПППостановление 832-ПППостановление 832-ПППостановление 832-ПППостановление 832-ПППостановление 832-ПППостановление 832-ПППостановление 832-ПППостановление 832-ПППостановление 832-ПППостановление 832-ПППостановление 832-ПППостановление 832-ПППостановление 832-ПППостановление 832-ПППостановление 832-ПППостановление 832-ПППостановление 832-ПППостановление 832-ПППостановление 832-ПППостановление 832-ПППостановление 832-ПППостановление 832-ПППостановление 832-ПППостановление 832-ПППостановление 832-ПППостановление 832-ПППостановление 832-ПППостановление 832-ПППостановление 832-ПППостановление 832-ПППостановление 832-ПППостановление 832-ПППостановление 832-ПППостановление 832-ПППостановление 832-ПППостановление 832-ПППостановление 832-ПППостановление 832-ПППостановление 832-ПППостановление 832-ПППостановление 832-ПППостановление 832-ПППостановление 832-ПППостановление 832-ПППостановление 832-ПППостановление 832-ПППостановление 832-ПППостановление 832-ПППостановление 832-ПППостановление 832-ПППостановление 832-ПППостановление 832-ПППостановление 832-ПППостановление 832-ПППостановление 832-ПППостановление 832-ПППостановление 832-ПППостановление 832-ПППостановление 832-ПППостановление 832-ПППостановление 832-ПППостановление 832-ПППостановление 832-ПППостановление 832-ПППостановление 832-ПППостановление 832-ПППостановление 832-ПППостановление 832-ПППостановление 832-ПППостановление 832-ПППостановление 832-ПППостановление 832-ПППостановление 832-ПППостановление 832-ПППостановление 832-ПППостановление 832-ПППостановление 832-ПППостановление 832-ПППостановление 832-ПППостановление 832-ПППостановление 832-ПППостановление 832-ПППостановление 832-ПППостановление 832-ПППостановление 832-ПППостановление 832-ПППостановление 832-ПППостановление 832-ПППостановление 832-ПППостановление 832-ПППостановление 832-ПППостановление 832-ПППостановление 832-ПППостановление 832-ПППостановление 832-ПППостановление 832-ПППостановление 832-ПППостановление 832-ПППостановление 832-ПППостановление 832-ПППостановление 832-ПППостановление 832-ПППостановление 832-ПППостановление 832-ПППостановление 832-ПППостановление 832-ПППостановление 832-ПППостановление 832-ПППостановление 832-ПППостановление 832-ПППостановление 832-ПППостановление 832-ПППостановление 832-ПППостановление 832-ПППостановление 832-ПППостановление 832-ПППостановление 832-ПППостановление 832-ПППостановление 832-ПППостановление 832-ПППостановление 832-ПППостановление 832-ПППостановление 832-ПППостановление 832-ПППостановление 832-ПППостановление 832-ПППостановление 832-ПППостановление 832-ПППостановление 832-ПППостановление 832-ПППостановление 832-ПППостановление 832-ПППостановление 832-ПППостановление 832-ПППостановление 832-ПППостановление 832-ПППостановление 832-ПППостановление 832-ПППостановление 832-ПППостановление 832-ПППостановление 832-ПППостановление 832-ПППостановление 832-ПППостановление 832-ПППостановление 832-ПППостановление 832-ПППостановление 832-ПППостановление 832-ПППостановление 832-ПППостановление 832-ПППостановление 832-ПППостановление 832-ПППостановление 832-ПППостановление 832-ПППостановление 832-ПППостановление 832-ПППостановление 832-ПППостановление 832-ПППостановление 832-ПППостановление 832-ПППостановление 832-ПППостановление 832-ПППостановление 832-ПППостановление 832-ПППостановление 832-ПППостановление 832-ПППостановление 832-ПППостановление 832-ПППостановление 832-ПППостановление 832-ПППостановление 832-ПППостановление 832-ПППостановление 832-ПППостановление 832-ПППостановление 832-ПППостановление 832-ПППостановление 832-ПППостановление 832-ПППостановление 832-ПППостановление 832-ПППостановление 832-ПППостановление 832-ПППостановление 832-ПППостановление 832-ПППостановление 832-ПППостановление 832-ПППостановление 832-ПППостановление 832-ПППостановление 832-ПППостановление 832-ПППостановление 832-ПППостановление 832-ПППостановление 832-ПППостановление 832-ПППостановление 832-ПППостановление 832-ПППостановление 832-ПППостановление 832-ПППостановление 832-ПППостановление 832-ПППостановление 832-ПППостановление 832-ПППостановление 832-ПППостановление 832-ПППостановление 832-ПППостановление 832-ПППостановление 832-ПППостановление 832-ПППостановление 832-ПППостановление 832-ПППостановление 832-ПППостановление 832-ПППостановление 832-ПППостановление 832-ПППостановление 832-ПППостановление 832-ПППостановление 832-ПППостановление 832-ПППостановление 832-ПППостановление 832-ПППостановление 832-ПППостановление 832-ПППостановление 832-ПППостановление 832-ПППостановление 832-ПППостановление 832-ПППостановление 832-ПППостановление 832-ПППостановление 832-ПППостановление 832-ПППостановление 832-ПППостановление 832-ПППостановление 832-ПППостановление 832-ПППостановление 832-ПППостановление 832-ПППостановление 832-ПППостановление 832-ПППостановление 832-ПППостановление 832-ПППостановление 832-ПППостановление 832-ПППостановление 832-ПППостановление 832-ПППостановление 832-ПППостановление 832-ПППостановление 832-ПППостановление 832-ПППостановление 832-ПППостановление 832-ПППостановление 832-ПППостановление 832-ПППостановление 832-ПППостановление 832-ПППостановление 832-ПППостановление 832-ПППостановление 832-ПППостановление 832-ПППостановление 832-ПППостановление 832-ПППостановление 832-ПППостановление 832-ПППостановление 832-ПППостановление 832-ПППостановление 832-ПППостановление 832-ПППостановление 832-ПППостановление 832-ПППостановление 832-ПППостановление 832-ПППостановление 832-ПППостановление 832-ПППостановление 832-ПППостановление 832-ПППостановление 832-ПППостановление 832-ПППостановление 832-ПППостановление 832-ПППостановление 832-ПППостановление 832-ПППостановление 832-ПППостановление 832-ПППостановление 832-ПППостановление 832-ПППостановление 832-ПППостановление 832-ПППостановление 832-ПППостановление 832-ПППостановление 832-ПППостановление 832-ПППостановление 832-ПППостановление 832-ПППостановление 832-ПППостановление 832-ПППостановление 832-ПППостановление 832-ПППостановление 832-ПППостановление 832-ПППостановление 832-ПППостановление 832-ПППостановление 832-ПППостановление 832-ПППостановление 832-ПППостановление 832-ПППостановление 832-ПППостановление 832-ПППостановление 832-ПППостановление 832-ПППостановление 832-ПППостановление 832-ПППостановление 832-ПППостановление 832-ПППостановление 832-ПППостановление 832-ПППостановление 832-ПППостановление 832-ПППостановление 832-ПППостановление 832-ПППостановление 832-ПППостановление 832-ПППостановление 832-ПППостановление 832-ПППостановление 832-ПППостановление 832-ПППостановление 832-ПППостановление 832-ПППостановление 832-ПППостановление 832-ПППостановление 832-ПППостановление 832-ПППостановление 832-ПППостановление 832-ПППостановление 832-ПППостановление 832-ПППостановление 832-ПППостановление 832-ПППостановление 832-ПППостановление 832-ПППостановление 832-ПППостановление 832-ПППостановление 832-ПППостановление 832-ПППостановление 832-ПППостановление 832-ПППостановление 832-ПППостановление 832-ПППостановление 832-ПППостановление 832-ПППостановление 832-ПППостановление 832-ПППостановление 832-ПППостановление 832-ПППостановление 832-ПППостановление 832-ПППостановление 832-ПППостановление 832-ПППостановление 832-ПППостановление 832-ПППостановление 832-ПППостановление 832-ПППостановление 832-ПППостановление 832-ПППостановление 832-ПППостановление 832-ПППостановление 832-ПППостановление 832-ПППостановление 832-ПППостановление 832-ПППостановление 832-ПППостановление 832-ПППостановление 832-ПППостановление 832-ПППостановление 832-ПППостановление 832-ПППостановление 832-ПППостановление 832-ПППостановление 832-ПППостановление 832-ПППостановление 832-ПППостановление 832-ПППостановление 832-ПППостановление 832-ПППостановление 832-ПППостановление 832-ПППостановление 832-ПППостановление 832-ПППостановление 832-ПППостановление 832-ПППостановление 832-ПППостановление 832-ПППостановление 832-ПППостановление 832-ПППостановление 832-ПППостановление 832-ПППостановление 832-ПППостановление 832-ПППостановление 832-ПППостановление 832-ПППостановление 832-ПППостановление 832-ПППостановление 832-ПППостановление 832-ПППостановление 832-ПППостановление 832-ПППостановление 832-ПППостановление 832-ПППостановление 832-ПППостановление 832-ПППостановление 832-ПППостановление 832-ПППостановление 832-ПППостановление 832-ПППостановление 832-ПППостановление 832-ПППостановление 832-ПППостановление 832-ПППостановление 832-ПППостановление 832-ПППостановление 832-ПППостановление 832-ПППостановление 832-ПППостановление 832-ПППостановление 832-ПППостановление 832-ПППостановление 832-ПППостановление 832-ПППостановление 832-ПППостановление 832-ПППостановление 832-ПППостановление 832-ПППостановление 832-ПППостановление 832-ПППостановление 832-ПППостановление 832-ПППостановление 832-ПППостановление 832-ПППостановление 832-ПППостановление 832-ПППостановление 832-ПППостановление 832-ПППостановление 832-ПППостановление 832-ПППостановление 832-ПППостановление 832-ПППостановление 832-ПППостановление 832-ПППостановление 832-ПП

Текстовое изменение № 2 от 25.12.2015

№ 2№ 2№ 2№ 2№ 2№ 2№ 2№ 2№ 2№ 2№ 2№ 2№ 2№ 2№ 2№ 2№ 2№ 2№ 2№ 2№ 2№ 2№ 2№ 2№ 2№ 2№ 2№ 2№ 2№ 2№ 2№ 2№ 2№ 2№ 2№ 2№ 2№ 2№ 2№ 2№ 2№ 2№ 2№ 2№ 2№ 2№ 2№ 2№ 2№ 2№ 2№ 2№ 2№ 2№ 2№ 2№ 2№ 2№ 2№ 2№ 2№ 2№ 2№ 2№ 2№ 2№ 2№ 2№ 2№ 2№ 2№ 2№ 2№ 2№ 2№ 2№ 2№ 2№ 2№ 2№ 2№ 2№ 2№ 2№ 2№ 2№ 2№ 2№ 2№ 2№ 2№ 2

© 2013 Ёшкин Кот :-) Карта сайта