Информационная система
«Ёшкин Кот»

Скачать базу одним архивом
Скачать обновления
История создания базы
Карта сайта

Скачать ГОСТ Р 56213.5-2014 Системы промышленной автоматизации и интеграция. Обмен данными характеристик. Часть 5. Схема идентификации

Дата актуализации: 10.08.2017

ГОСТ Р 56213.5-2014

Системы промышленной автоматизации и интеграция. Обмен данными характеристик. Часть 5. Схема идентификации

Обозначение: ГОСТ Р 56213.5-2014
Обозначение англ: GOST R 56213.5-2014
Статус:введен впервые
Название рус.:Системы промышленной автоматизации и интеграция. Обмен данными характеристик. Часть 5. Схема идентификации
Название англ.:Industrial automation systems and integration. Exchange of characteristic data. Part 5. Identification scheme
Дата добавления в базу:12.02.2016
Дата актуализации:05.05.2017
Дата введения:01.07.2015
Область применения:Стандарт устанавливает формат идентификаторов, относящихся к элементам словаря концепций. Спецификация формата - это конкретная синтаксическая структура, отвечающая общим техническим требованиям международного идентификатора регистрационных данных (IRDI), определенного в ИСО /МЭК 11179-5. Стандарт распространяется на: - элементы данных для идентификации элементов словаря концепций, включая сами концепции и связанные с ними информационные элементы концепций; - синтаксическую структуру идентификатора элементов словаря концепций; - правила совместимости ограниченных схем с настоящим стандартом. Стандарт не распространяется на правила, характерные для стандартов, в которых имеются ссылки на стандарт.
Оглавление:1 Область применения
2 Нормативные ссылки
3 Термины и определения
4 Сокращения
5 Базовые элементы идентификации
6 Таксономия управляемых элементов
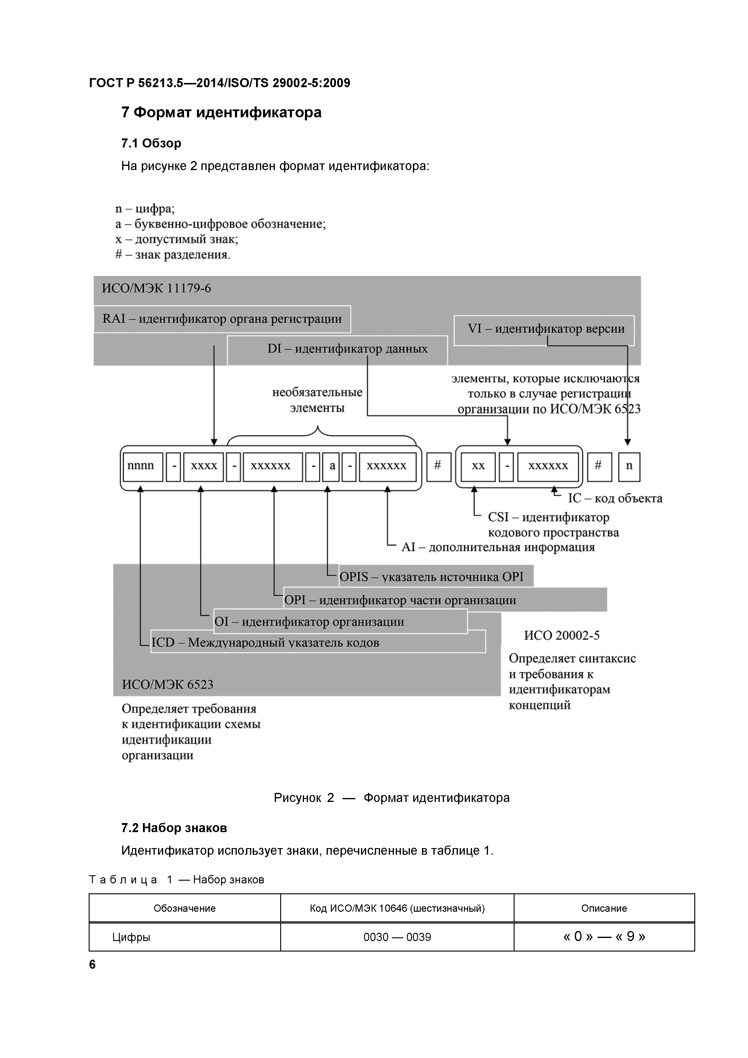
7 Формат идентификатора
   7.1 Обзор
   7.2 Набор знаков
   7.3 Минимальная длина атрибутов
   7.4 Максимальная длина идентификатора
8 Элементы идентификатора
   8.1 Структуры идентификатора
   8.2 Идентификатор органа регистрации (RAI)
   8.3 Идентификатор данных (DI)
   8.4 Идентификатор версии (VI)
9 Синтаксис идентификатора
   9.1 Идентификатор объекта, зарегистрированного в словаре концепций
   9.2 Идентификатор организации, зарегистрированной в соответствии с ИСО/МЭК 6523
Приложение А (обязательное) Идентификация документа
Приложение В (обязательное) Схема XML
Приложение С (справочное) Применение настоящего стандарта в качестве ресурса
Приложение D (справочное) дополнительная информация по реализации
Приложение Е (справочное) Аналогия с другими стандартами
Приложение ДА (справочное) Сведения о соответствии ссылочных международных стандартов национальным стандартам Российской Федерации
Библиография
Разработан: ФБУ ФЦК
Утверждён:11.11.2014 Федеральное агентство по техническому регулированию и метрологии (1513-ст)
Издан: Стандартинформ (2015 г. )
Расположен в:Техническая документация Электроэнергия МАШИНОСТРОЕНИЕ Промышленные автоматизированные системы Измерение и контроль производственного процесса Промышленные автоматизированные системы в целом Экология МАШИНОСТРОЕНИЕ Промышленные автоматизированные системы Измерение и контроль производственного процесса Промышленные автоматизированные системы в целом
Нормативные ссылки:
ГОСТ Р 56213.5-2014ГОСТ Р 56213.5-2014ГОСТ Р 56213.5-2014ГОСТ Р 56213.5-2014ГОСТ Р 56213.5-2014ГОСТ Р 56213.5-2014ГОСТ Р 56213.5-2014ГОСТ Р 56213.5-2014ГОСТ Р 56213.5-2014ГОСТ Р 56213.5-2014ГОСТ Р 56213.5-2014ГОСТ Р 56213.5-2014ГОСТ Р 56213.5-2014ГОСТ Р 56213.5-2014ГОСТ Р 56213.5-2014ГОСТ Р 56213.5-2014ГОСТ Р 56213.5-2014ГОСТ Р 56213.5-2014ГОСТ Р 56213.5-2014ГОСТ Р 56213.5-2014ГОСТ Р 56213.5-2014ГОСТ Р 56213.5-2014ГОСТ Р 56213.5-2014ГОСТ Р 56213.5-2014

© 2013 Ёшкин Кот :-) Карта сайта