Информационная система
«Ёшкин Кот»

Скачать базу одним архивом
Скачать обновления
История создания базы
Карта сайта

Скачать ГОСТ Р ИСО 15230-2014 Вибрация. Определение сил в области контакта человека с машиной при воздействии локальной вибрации

Дата актуализации: 10.08.2017

ГОСТ Р ИСО 15230-2014

Вибрация. Определение сил в области контакта человека с машиной при воздействии локальной вибрации

Обозначение: ГОСТ Р ИСО 15230-2014
Обозначение англ: GOST R ISO 15230-2014
Статус:введен впервые
Название рус.:Вибрация. Определение сил в области контакта человека с машиной при воздействии локальной вибрации
Название англ.:Mechanical vibration. Coupling forces at the man-machine interface for hand-transmitted vibration
Дата добавления в базу:12.02.2016
Дата актуализации:05.05.2017
Дата введения:01.12.2015
Область применения:Стандарт устанавливает параметры, характеризующие контакт кисти руки оператора с вибрирующей поверхностью машины, включая параметры силового воздействия (сила нажатия, сила охвата) и давления на кожу кисти руки оператора, а также руководство по проведению измерений указанных параметров силы и давления, включая требования к средствам измерений и их калибровке. Стандарт не распространяется на оценку сил, действующих в тангенциальном направлении к области контакта.
Оглавление:1 Область применения
2 Обозначения и сокращения
3 Параметры, характеризующие воздействие в области контакта
Приложение А (справочное) Воздействие биодинамических сил
Приложение В (рекомендуемое) Расчет силы обхвата и толкающей/тянущей силы по измерениям давления
Приложение С (рекомендуемое) Измерения и обработка результатов
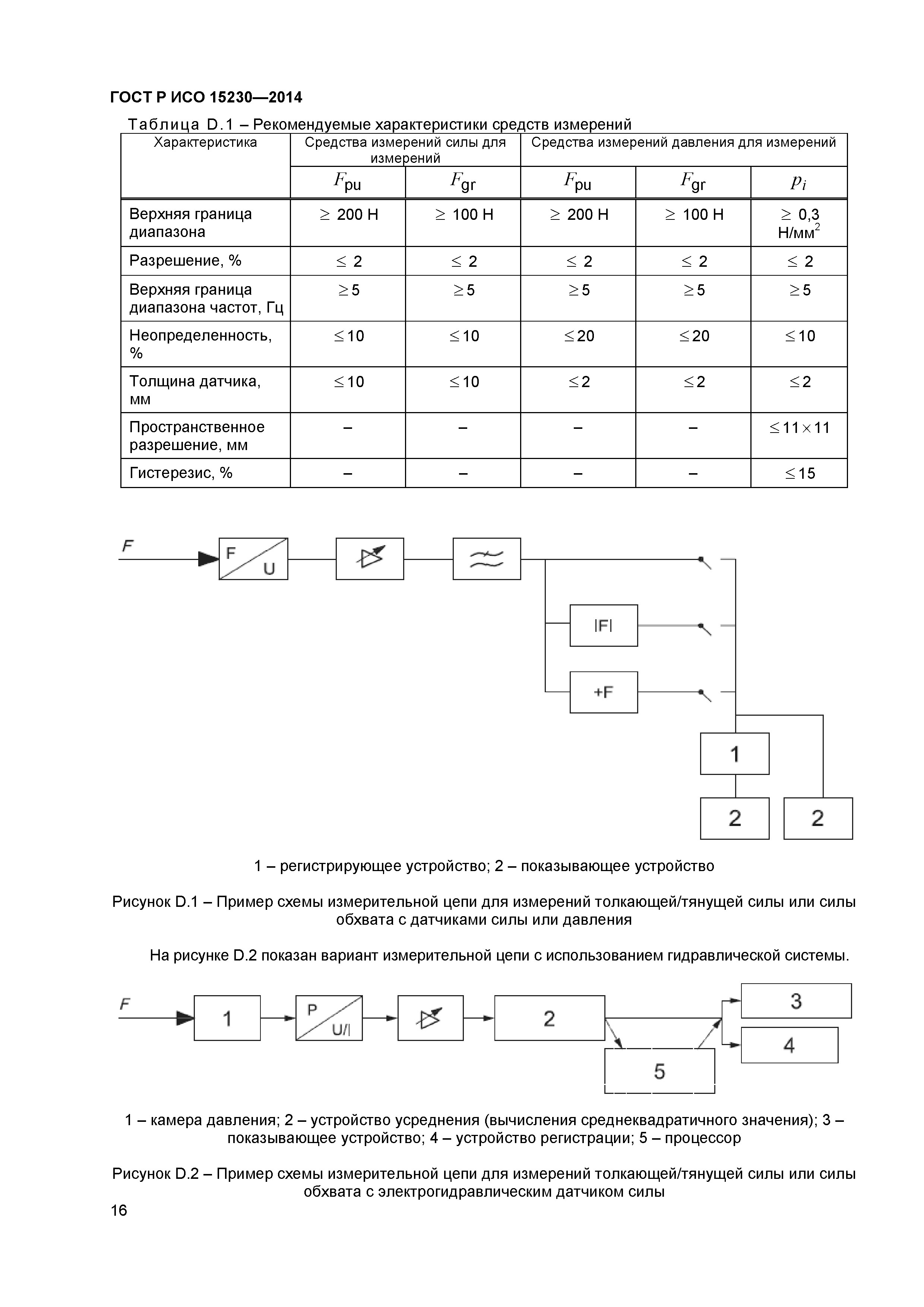
Приложение D (рекомендуемое) Рекомендуемые характеристики средств измерений
Приложение Е (рекомендуемое) Условия и устройства для калибровки
Библиография
Разработан: АО НИЦ КД
Утверждён:24.10.2014 Федеральное агентство по техническому регулированию и метрологии (1424-ст)
Издан: Стандартинформ (2015 г. )
Расположен в:Техническая документация Электроэнергия МЕТРОЛОГИЯ И ИЗМЕРЕНИЯ. ФИЗИЧЕСКИЕ ЯВЛЕНИЯ Вибрации, измерения удара и вибрации ОХРАНА ОКРУЖАЮЩЕЙ СРЕДЫ, ЗАЩИТА ЧЕЛОВЕКА ОТ ВОЗДЕЙСТВИЯ ОКРУЖАЮЩЕЙ СРЕДЫ. БЕЗОПАСНОСТЬ Воздействие вибрации и удара на человека Экология МЕТРОЛОГИЯ И ИЗМЕРЕНИЯ. ФИЗИЧЕСКИЕ ЯВЛЕНИЯ Вибрации, измерения удара и вибрации ОХРАНА ОКРУЖАЮЩЕЙ СРЕДЫ, ЗАЩИТА ЧЕЛОВЕКА ОТ ВОЗДЕЙСТВИЯ ОКРУЖАЮЩЕЙ СРЕДЫ. БЕЗОПАСНОСТЬ Воздействие вибрации и удара на человека
ГОСТ Р ИСО 15230-2014ГОСТ Р ИСО 15230-2014ГОСТ Р ИСО 15230-2014ГОСТ Р ИСО 15230-2014ГОСТ Р ИСО 15230-2014ГОСТ Р ИСО 15230-2014ГОСТ Р ИСО 15230-2014ГОСТ Р ИСО 15230-2014ГОСТ Р ИСО 15230-2014ГОСТ Р ИСО 15230-2014ГОСТ Р ИСО 15230-2014ГОСТ Р ИСО 15230-2014ГОСТ Р ИСО 15230-2014ГОСТ Р ИСО 15230-2014ГОСТ Р ИСО 15230-2014ГОСТ Р ИСО 15230-2014ГОСТ Р ИСО 15230-2014ГОСТ Р ИСО 15230-2014ГОСТ Р ИСО 15230-2014ГОСТ Р ИСО 15230-2014ГОСТ Р ИСО 15230-2014ГОСТ Р ИСО 15230-2014ГОСТ Р ИСО 15230-2014

© 2013 Ёшкин Кот :-) Карта сайта