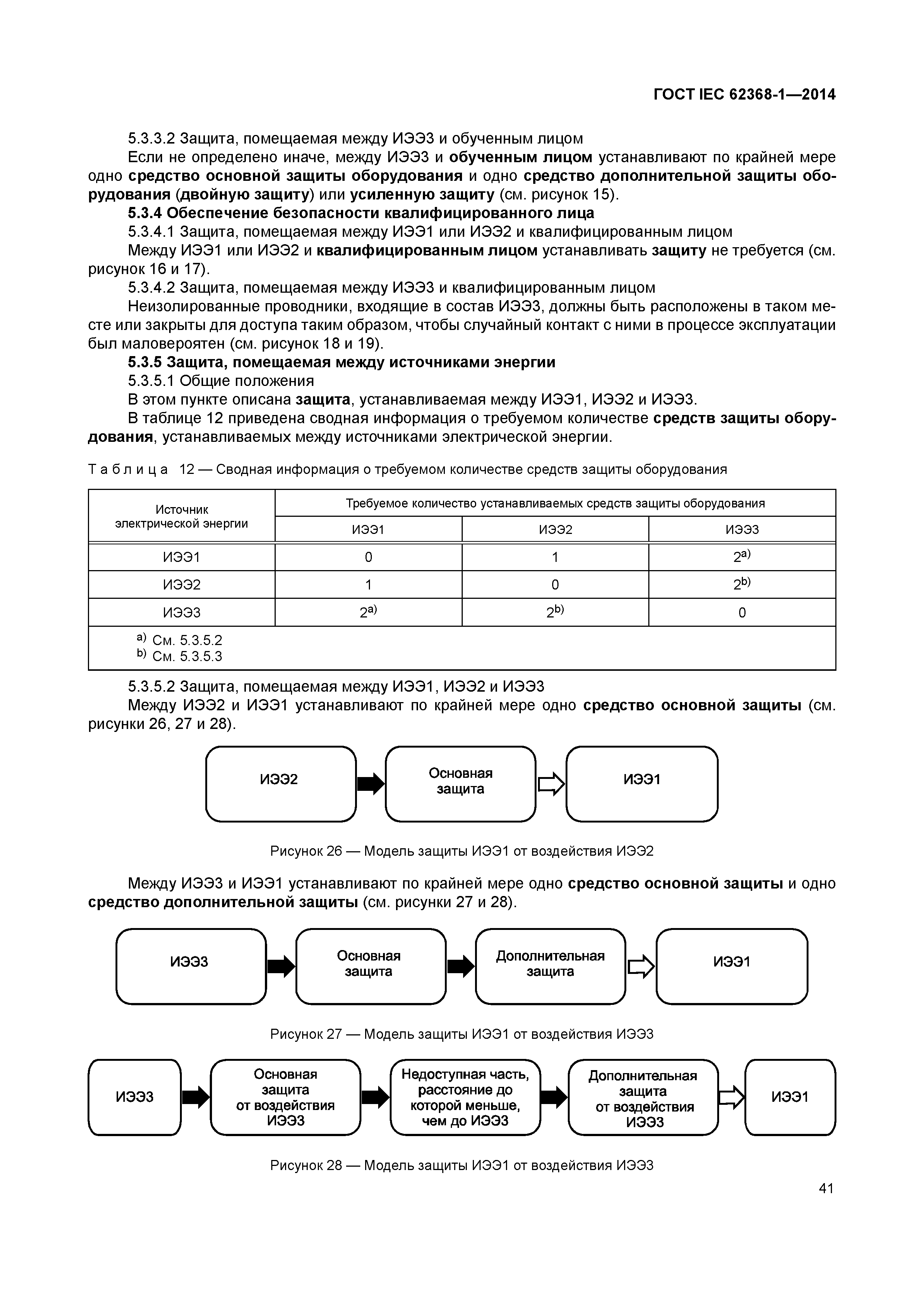
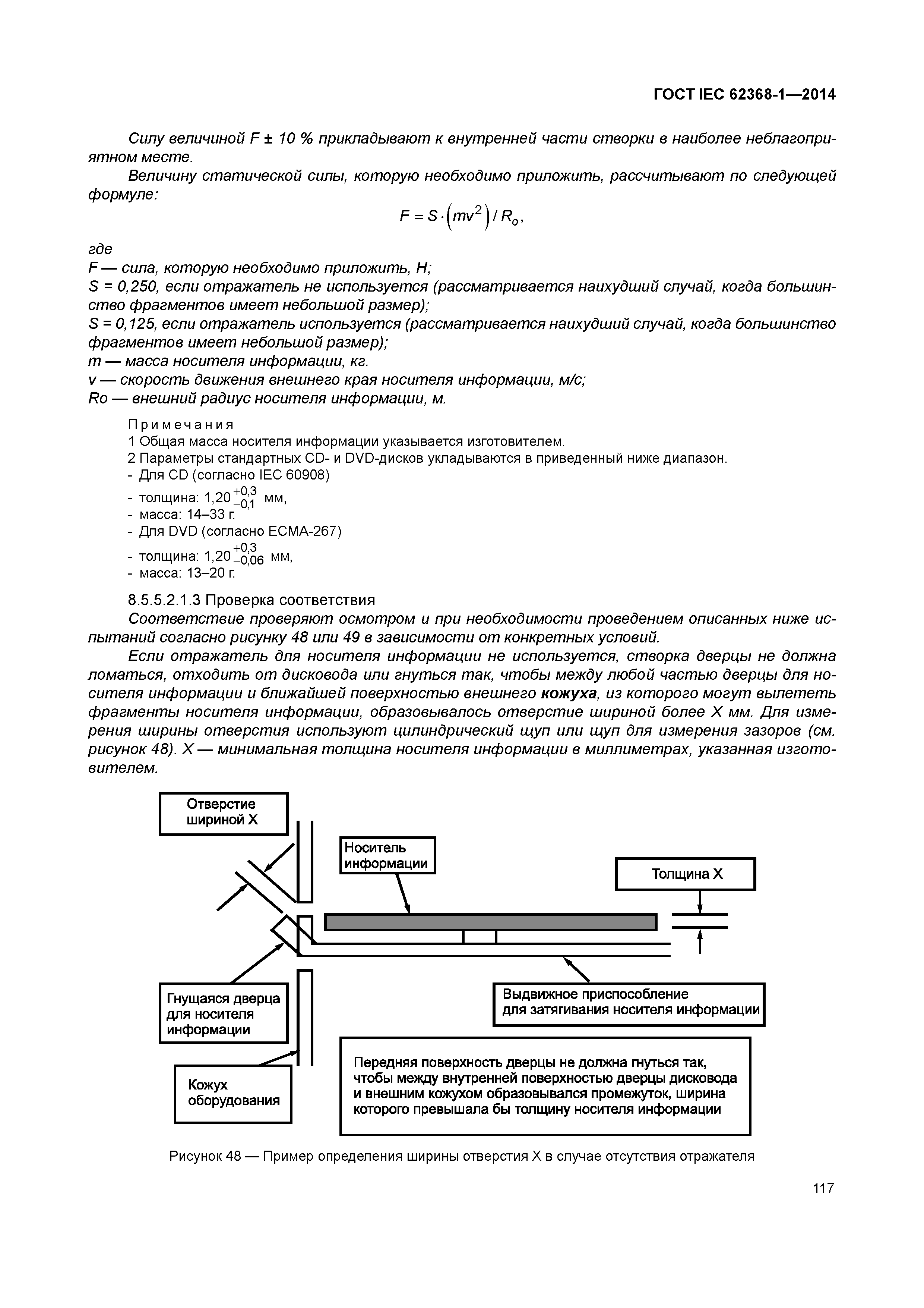
| ||||||||||||||||||||||||||||||||||
Скачать ГОСТ IEC 62368-1-2014 Аудио-, видеоаппаратура, оборудование информационных технологий и техники связи. Часть 1. Требования безопасностиДата актуализации: 10.08.2017
|
| Обозначение: | ГОСТ IEC 62368-1-2014 |
| Обозначение англ: | 62368-1-2014 |
| Статус: | введен впервые |
| Название рус.: | Аудио-, видеоаппаратура, оборудование информационных технологий и техники связи. Часть 1. Требования безопасности |
| Название англ.: | Audio/video, information and communication technology equipment. Part 1. Safety requirements |
| Дата добавления в базу: | 01.02.2017 |
| Дата актуализации: | 05.05.2017 |
| Дата введения: | 01.09.2015 |
| Область применения: | Данная часть стандарта IEC 62368 посвящена безопасности электронной аудио/видеоаппаратуры и оборудования информационных и коммуникационных технологий, а также техники для решения коммерческих задач и офисной техники с номинальным напряжением, не превышающим 600 В. В стандарт не входят требования к производительности или функциональным характеристикам оборудования. Стандарт также применяют к компонентам и узлам этого оборудования. Такие компоненты и узлы необязательно должны соответствовать каждому требованию настоящего стандарта, в отличие от оборудования в сборе, включающего эти компоненты и узлы. Стандарт не распространяется на оборудование, предназначенное для эксплуатации в местах с повышенной влажностью. Однако к такому оборудованию могут относиться дополнительные требования. Стандарт не распространяется на оборудование, предназначенное для эксплуатации на открытом воздухе. Стандарт не распространяется на оборудование, предназначенное для эксплуатации в местах с повышенной влажностью. Однако к такому оборудованию могут относиться дополнительные требования. Стандарт не распространяется на оборудование, предназначенное для эксплуатации на открытом воздухе. |
| Оглавление: | 0 Принципы настоящего стандарта безопасности изделий 0.1 Задачи 0.2 Лица 0.3 Модель, объясняющая причины возникновения боли и получения травм 0.4 Источники энергии 0.5 Защита 0.6 Боль и травмы, обусловленные воздействием электричества (поражение электрическим током) 0.7 Возгорание, обусловленное воздействием электричества 0.8 Химические травмы 0.9 Механические травмы 0.10 Тепловые травмы (ожоги кожи) 0.11 Травмы, вызываемые воздействием излучения 1 Область применения 2 Нормативные ссылки 3 Термины, определения и сокращения 3.1 Общие положения 3.2 Термины и сокращения 3.3 Термины и определения 4 Общие требования 4.1 Общие положения 4.2 Классификация источников энергии 4.3 Защита от воздействия источников энергии 4.4 Защита от опасности 4.5 Взрыв 5 Электрические травмы 5.1 Общие положения 5.2 Классификация источников электрической энергии и предельные значения их параметров 5.3 Защита от воздействия источников электрической энергии 5.4 Изолирующие материалы и требования 5.5 Компоненты, используемые в качестве защиты 5.6 Защитный проводник 5.7 Ожидаемое напряжение от прикосновения, ток от прикосновения и ток защитного проводника 6 Возникновение огня, вызванное электричеством 6.1 Общие положения 6.2 Классификация источников электропитания (ИЭП) и потенциальных источников воспламенения (ПИВ) 6.3 Защита от возгорания при нормальных и ненормальных условиях эксплуатации 6.4 Защита от возгораний при условиях единичной неисправности 6.5 Внутренняя и внешняя проводка 6.6 Вероятность возникновения возгорания из-за наличия посторонних объектов 6.7 Защита от возгораний, обусловленных подсоединением вспомогательного оборудования 7 Химические травмы 7.1 Общие положения 7.2 Сокращение воздействия опасных химических веществ 7.3 Воздействие озона 7.4 Использование ИЗС 7.5 Использование указаний по защите и инструкций 7.6 Батареи 8 Механические травмы 8.1 Общие положения 8.2 Классификация источников механической энергии 8.3 Защита от воздействия источников механической энергии 8.4 Защита от частей с острыми кромками и углами 8.5 Защита от движущихся частей 8.6 Устойчивость оборудования 8.7 Оборудование, монтируемое на стене или потолке 8.8 Метод проведения испытания рукоятки на прочность 8.9 Требования по подсоединению колесиков или роликов 8.10 Тележки, подставки и другие подобные несущие устройства 8.11 Приспособления для монтажа оборудования в стойке 8.12 Телескопические или стержневые антенны 9 Тепловой ожог 9.1 Общие положения 9.2 Классификация источников тепловой энергии 9.3 Защита от воздействия источников тепловой энергии 9.4 Требования, предъявляемые к защите 10 Излучение 10.1 Общие положения 10.2 Классификация источников энергии излучения 10.3 Требования, предъявляемые к электромагнитному излучению 10.4 Защита от воздействия источников акустической энергии Приложение А (обязательное) Примеры оборудования, относящегося к области применения настоящего стандарта Приложение В (обязательное) Испытания при нормальных и ненормальных условиях эксплуатации и при условиях единичной неисправности Приложение С (обязательное) УФ-излучение Приложение D (обязательное) Испытательные генераторы Приложение Е (обязательное) Условия проведения испытаний для оборудования, оснащенного усилителями звуковой частоты Приложение F (обязательное) Маркировки оборудования, инструкции и указания по защите Приложение G (обязательное) Компоненты Приложение H (обязательное) Нормы для телефонных вызывных сигналов Приложение I (справочное) Категории перенапряжения (см. IЕС 60364-4-44) Приложение J (обязательное) Изолированные провода обмоток для использования без межслоевой изоляции Приложение K (обязательное) Защитные блокировки Приложение L (обязательное) Отключающие устройства Приложение M (обязательное) Батареи и топливные элементы Приложение N (обязательное) Электрохимические потенциалы Приложение O (обязательное) Измерение путей утечки и зазоров Приложение P (обязательное) Защита от попадания посторонних предметов и жидкостей в оборудование и разливов жидкостей внутри него Приложение Q (обязательное) Подключение к электропроводке здания Приложение R (обязательное) Испытание на ограниченное короткое замыкание Приложение S (обязательное) Испытания на устойчивость к нагреву и огнестойкость Приложение T (обязательное) Испытания на механическую прочность Приложение U (обязательное) Механическая прочность ЭЛТ и защита от последствий направленного внутрь взрыва Приложение V (обязательное) Определение доступности частей Приложение W (справочное) Сопоставление терминов, введенных в настоящем стандарте Приложение ДА (справочное) Сведения о соответствии межгосударственных стандартов ссылочным международным стандартам Библиография |
| Разработан: | АНО НТЦ СЭ ИСЭП |
| Утверждён: | 25.06.2014 Межгосударственный Совет по стандартизации, метрологии и сертификации (Inter-Governmental Council on Standardization, Metrology, and Certification 45) 18.09.2014 Федеральное агентство по техническому регулированию и метрологии (1132-ст) |
| Издан: | Стандартинформ (2015 г. ) |
| Расположен в: | |
| Нормативные ссылки: |
|






































































































































































































































































