| ||||||||||||||||||||||||||||||||||
Скачать ГОСТ IEC 61643-11-2013 Устройства защиты от перенапряжений низковольтные. Часть 11. Устройства защиты от перенапряжений, подсоединенные к низковольтным системам распределения электроэнергии. Требования и методы испытанийДата актуализации: 10.08.2017
|
| Обозначение: | ГОСТ IEC 61643-11-2013 |
| Обозначение англ: | 61643-11-2013 |
| Статус: | введен впервые |
| Название рус.: | Устройства защиты от перенапряжений низковольтные. Часть 11. Устройства защиты от перенапряжений, подсоединенные к низковольтным системам распределения электроэнергии. Требования и методы испытаний |
| Название англ.: | Low-voltage surge protective devices. Part 11. Surge protective devices connected to low-voltage power systems. Requirements and test methods |
| Дата добавления в базу: | 12.02.2016 |
| Дата актуализации: | 05.05.2017 |
| Дата введения: | 01.01.2015 |
| Область применения: | Стандарт распространяется на устройства для защиты электрических сетей и электрооборудования при прямом или косвенном воздействии грозовых или иных переходных перенапряжений. Данные устройства предназначены для подсоединения к силовым цепям переменного тока частотой 50/60 Гц и к оборудованию на номинальное напряжение до 1000 В (действующее значение). Рабочие характеристики, стандартные методы испытаний и номинальные параметры установлены для таких устройств, которые содержат, по крайней мере, один нелинейный элемент, предназначенный для ограничения перенапряжений и отвода импульсных токов. |
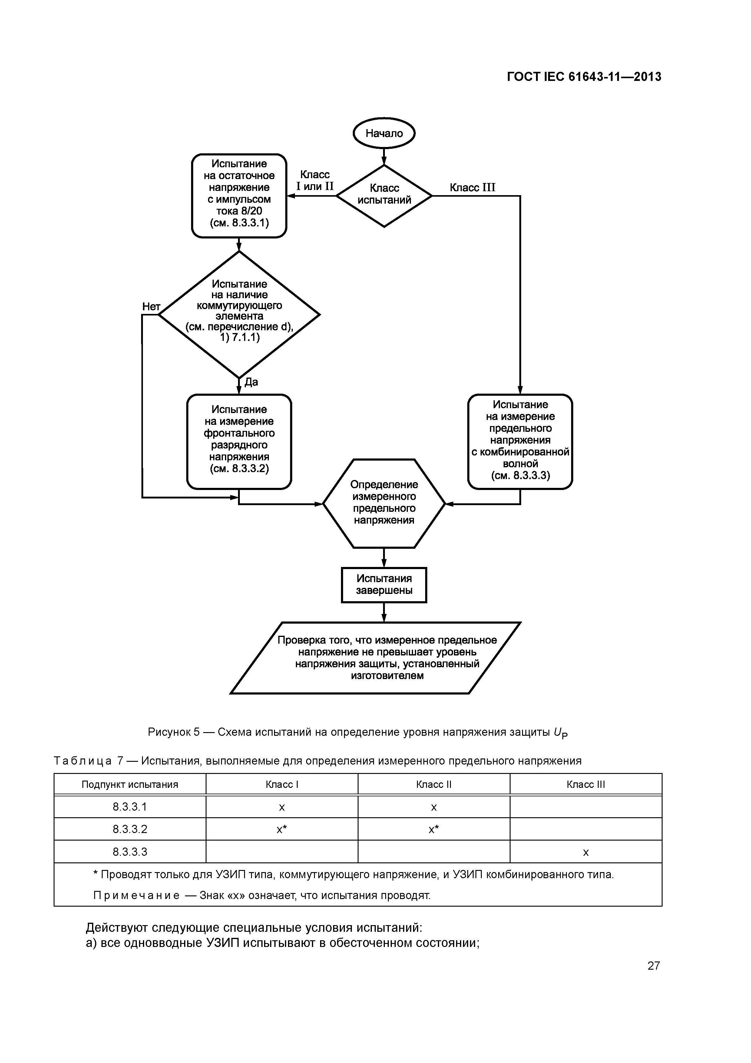
| Оглавление: | 1 Область применения 2 Нормативные ссылки 3 Термины, определения и сокращения 3.1 Термины и определения 3.2 Сокращения 4 Условия эксплуатации 4.1 Частота 4.2 Напряжение 4.3 Атмосферное давление и высота 4.4 Температура 4.5 Влажность 5 Классификация 5.1 Число вводов 5.2 Вид конструкции УЗИП 5.3 Класс испытаний 1, 11 и 111 5.4 Местоположение 5.5 Доступность 5.6 Способ установки 5.7 Разъединители (включая защиту от сверхтока) 5.8 Степень защиты, обеспечиваемая оболочками согласно кодам IР, указанным в IЕС 60529 5.9 Диапазон температуры и влажности 5.10 Система питания 5.11 Многополюсные УЗИП 5.12 Поведение УЗИП при повреждении 6 Предпочтительные значения для УЗИП 7 Требования 7.1 Общие требования 7.2 Требования к электрической части 7.3 Требования к механической части 7.4 Требования к условиям окружающей среды и материалам 7.5 Дополнительные требования к УЗИП специальных конструкций 7.6 Дополнительные требования к УЗИП, предлагаемые изготовителем 8 Типовые испытания 8.1 Общие условия испытаний 8.2 Испытание на нестираемость маркировки 8.3 Электрические испытания 8.4 Механические испытания 8.5 Испытания на соответствие требованиям к условиям окружающей среды и материалам 8.6 Дополнительные испытания специальных конструкций УЗИП 8.7 Дополнительные испытания специальных характеристик УЗИП, устанавливаемых изготовителем 9 Контрольные и приемочные испытания 9.1 Контрольные испытания 9.2 Приемочные испытания Приложение А (обязательное) Контрольные испытательные напряжения 1ЕР для УЗИП Приложение В (обязательное) Значения временного перенапряжения (ВПН) Приложение С (обязательное) Испытания по определению наличия коммутационной составляющей и величины сопровождающего тока Приложение D (обязательное) Испытания по ускоренной процедуре Приложение Е (рекомендуемое) Альтернативные цепи для испытания УЗИП в условиях ВПН, вызванного повреждениями в системе высокого (среднего) напряжения Приложение F (рекомендуемое) Испытания на условия окружающей среды для УЗИП наружной установки Приложение G (обязательное) Пределы превышения температуры Приложение ДА (справочное) Сведения о соответствии межгосударственных стандартов ссылочным международным стандартам Библиография |
| Разработан: | ОАО ВНИИС АНО НТЦ Энергия |
| Утверждён: | 03.12.2013 Межгосударственный Совет по стандартизации, метрологии и сертификации (Inter-Governmental Council on Standardization, Metrology, and Certification 62-П) 11.06.2014 Федеральное агентство по техническому регулированию и метрологии (624-ст) |
| Издан: | Стандартинформ (2015 г. ) |
| Расположен в: | |
| Нормативные ссылки: |
|
















































































