Информационная система
«Ёшкин Кот»

Скачать базу одним архивом
Скачать обновления
История создания базы
Карта сайта

Скачать РБ 093-14 Руководство по безопасности при использовании атомной энергии Радиационные и теплофизические характеристики отработавшего ядерного топлива водо-водяных энергетических реакторов и реакторов большой мощности канальных

Дата актуализации: 10.08.2017

РБ 093-14

Руководство по безопасности при использовании атомной энергии "Радиационные и теплофизические характеристики отработавшего ядерного топлива водо-водяных энергетических реакторов и реакторов большой мощности канальных"

Обозначение: РБ 093-14
Обозначение англ: RB 093-14
Статус:действует
Название рус.:Руководство по безопасности при использовании атомной энергии "Радиационные и теплофизические характеристики отработавшего ядерного топлива водо-водяных энергетических реакторов и реакторов большой мощности канальных"
Дата добавления в базу:01.10.2014
Дата актуализации:05.05.2017
Дата введения:26.03.2014
Область применения:Руководство по безопасности содержит рекомендации Федеральной службы по экологическому, технологическому и атомному надзору по радионуклидному составу, ядерным константам и теплофизическим характеристикам отработавшего ядерного топлива водо-водяных энергетических реакторов и реакторов большой мощности канальных, используемым при обосновании безопасности объектов использования атомной энергии.
Оглавление:I. Общие положения
II. Радиационные и теплофизические характеристики отработавшего ядерного топлива
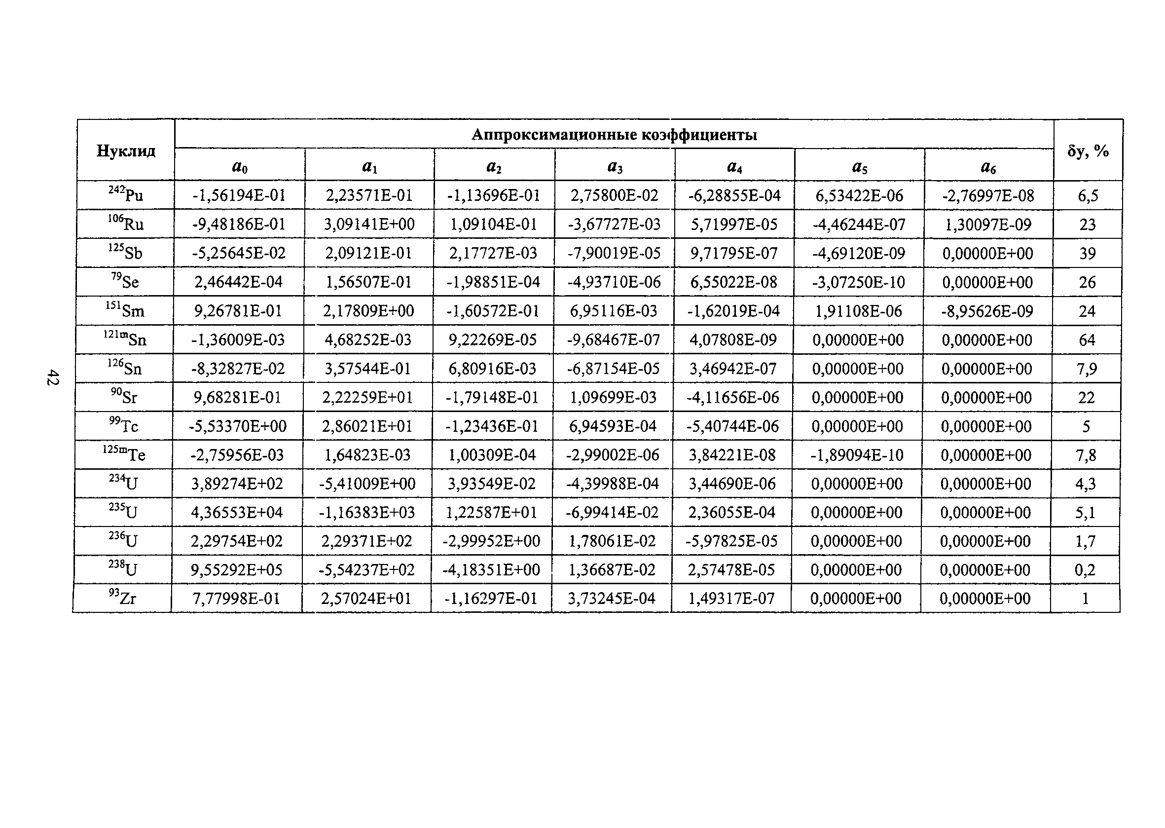
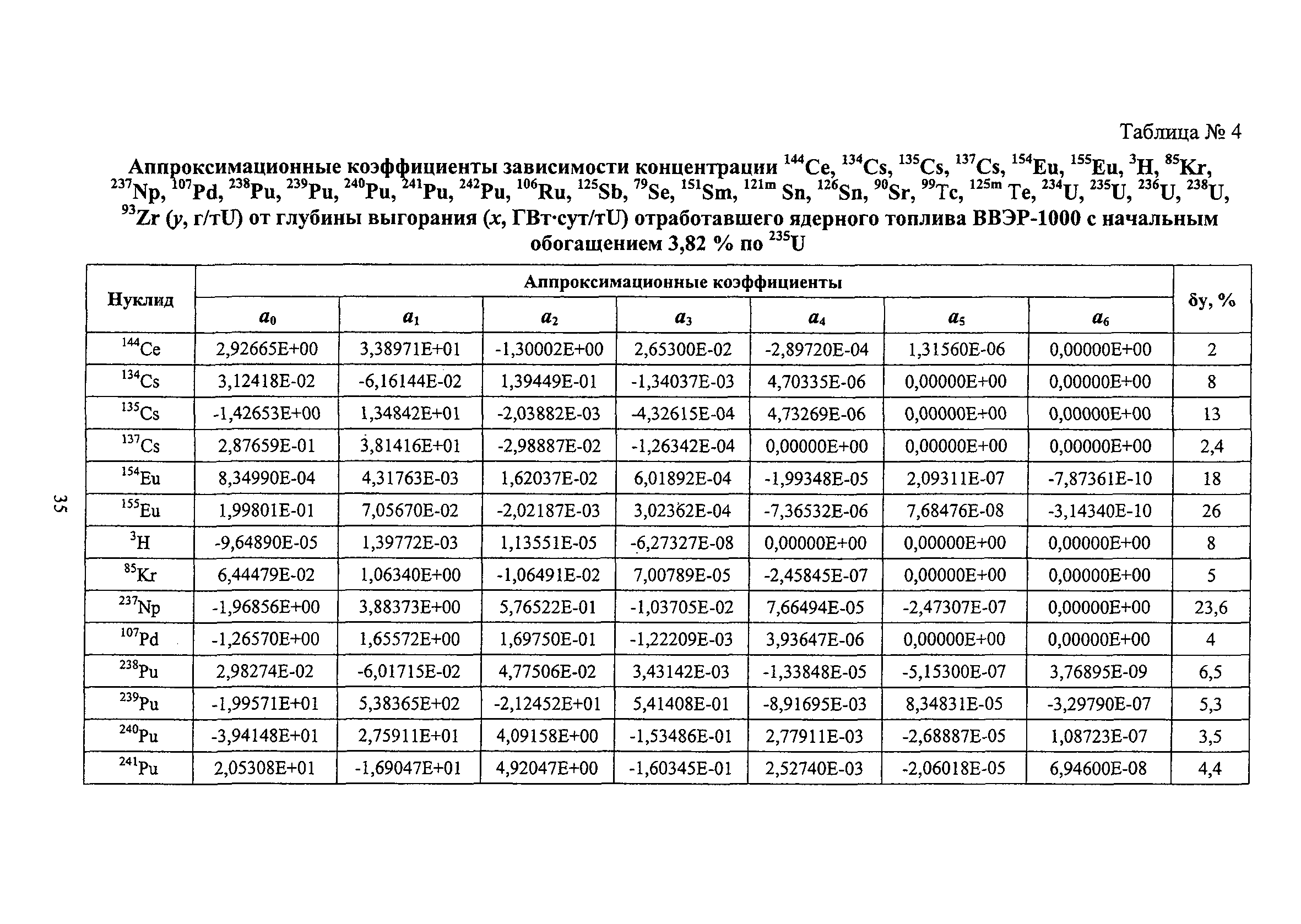
Приложение № 1. Радиационные и теплофизические характеристики отработавшего ядерного топлива водо-водяных энергетических реакторов ВВЭР-1000
Приложение № 2. Радиационные и теплофизические характеристики отработавшего ядерного топлива водо-водяных энергетических реакторов ВВЭР-440
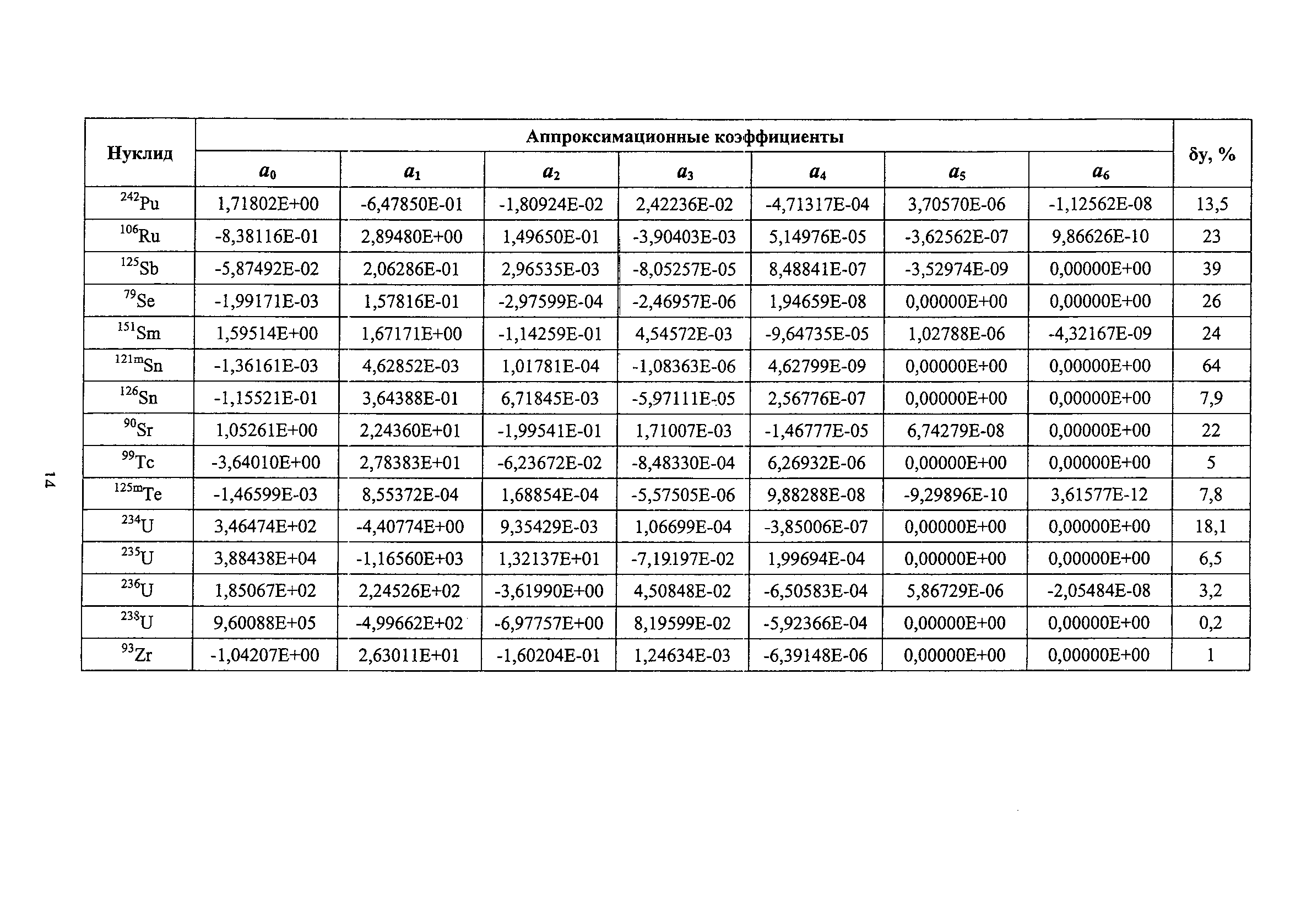
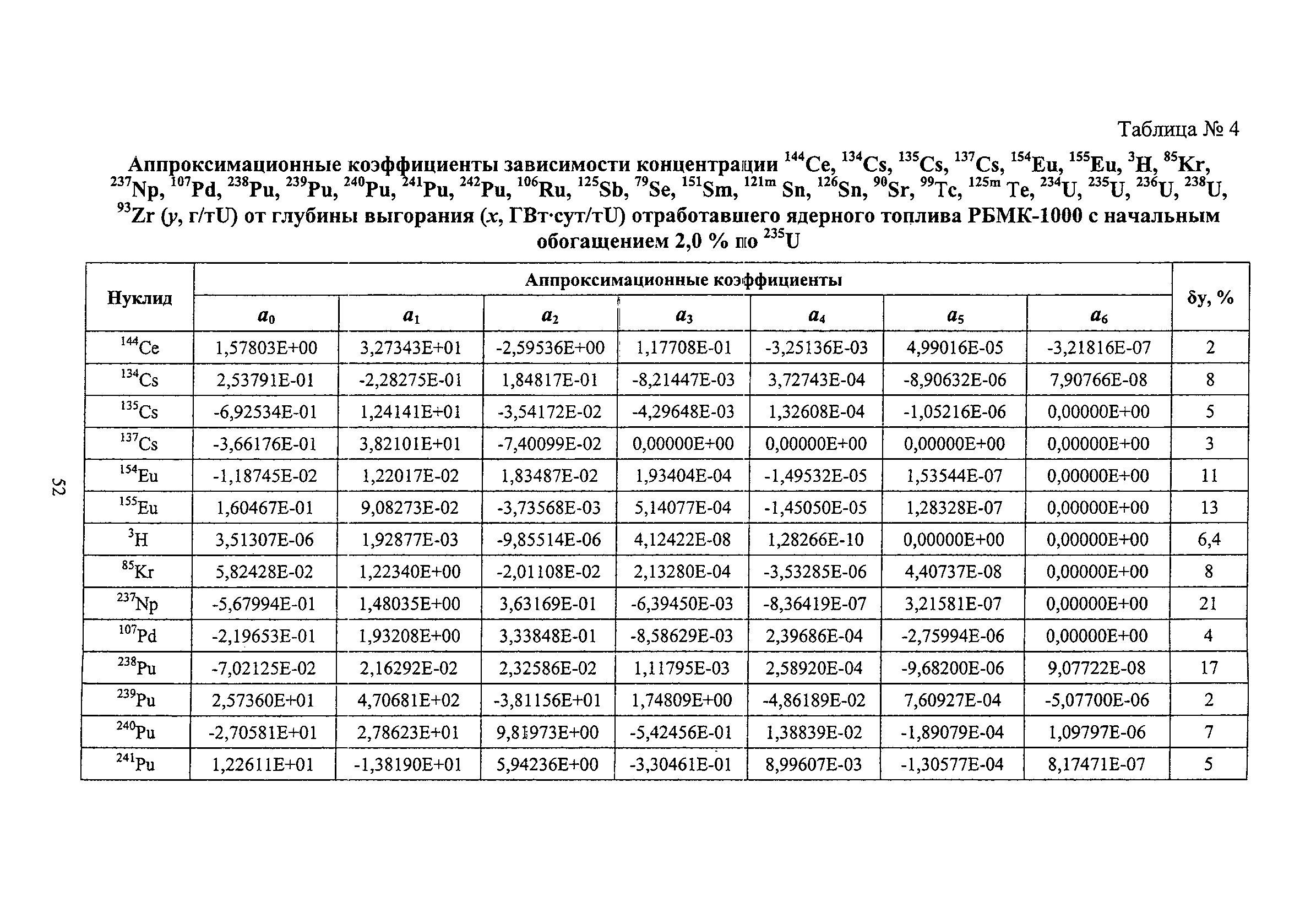
Приложение № 3. Радиационные и теплофизические характеристики отработавшего ядерного топлива реакторов большой мощности канальных РБМК-1000
Приложение № 4. Ядерные константы
Разработан: ФБУ НТЦ ЯРБ
Утверждён:26.03.2014 Федеральная служба по экологическому, технологическому и атомному надзору (119)
Издан: ФБУ НТЦ ЯРБ (2014 г. )
Расположен в:Техническая документация Экология ЭНЕРГЕТИКА И ТЕПЛОТЕХНИКА Атомная энергетика Атомные электростанции. Безопасность Ценообразование Раздел II. Государственное регулирование безопасности при использовании атомной энергии II. Нормативные правовые и иные акты Федеральной службы по экологическому, технологическому и атомному надзору Сооружения, комплексы, установки для производства, использования, переработки, транспортирования ядерного топлива и ядерных материалов Руководства по безопасности Строительство Нормативные документы Нормативные документы органов надзора Нормативные документы Госатомнадзора России
Список изменений:
Нормативные ссылки:
РБ 093-14РБ 093-14РБ 093-14РБ 093-14РБ 093-14РБ 093-14РБ 093-14РБ 093-14РБ 093-14РБ 093-14РБ 093-14РБ 093-14РБ 093-14РБ 093-14РБ 093-14РБ 093-14РБ 093-14РБ 093-14РБ 093-14РБ 093-14РБ 093-14РБ 093-14РБ 093-14РБ 093-14РБ 093-14РБ 093-14РБ 093-14РБ 093-14РБ 093-14РБ 093-14РБ 093-14РБ 093-14РБ 093-14РБ 093-14РБ 093-14РБ 093-14РБ 093-14РБ 093-14РБ 093-14РБ 093-14РБ 093-14РБ 093-14РБ 093-14РБ 093-14РБ 093-14РБ 093-14РБ 093-14РБ 093-14РБ 093-14РБ 093-14РБ 093-14РБ 093-14РБ 093-14РБ 093-14РБ 093-14РБ 093-14РБ 093-14РБ 093-14РБ 093-14РБ 093-14РБ 093-14РБ 093-14РБ 093-14РБ 093-14РБ 093-14РБ 093-14РБ 093-14РБ 093-14РБ 093-14РБ 093-14

© 2013 Ёшкин Кот :-) Карта сайта