Информационная система
«Ёшкин Кот»

Скачать базу одним архивом
Скачать обновления
История создания базы
Карта сайта

Скачать ГОСТ Р 8.869-2014 Государственная система обеспечения единства измерений. Государственная поверочная схема для средств измерений параметров спектров электронного парамагнитного резонанса

Дата актуализации: 10.08.2017

ГОСТ Р 8.869-2014

Государственная система обеспечения единства измерений. Государственная поверочная схема для средств измерений параметров спектров электронного парамагнитного резонанса

Обозначение: ГОСТ Р 8.869-2014
Обозначение англ: GOST R 8.869-2014
Статус:введен впервые
Название рус.:Государственная система обеспечения единства измерений. Государственная поверочная схема для средств измерений параметров спектров электронного парамагнитного резонанса
Название англ.:State system for ensuring the uniformity of measurements. State verification schedule for means measuring electron paramagnetic resonance spectrum parameters
Дата добавления в базу:21.05.2015
Дата актуализации:05.05.2017
Дата введения:01.01.2016
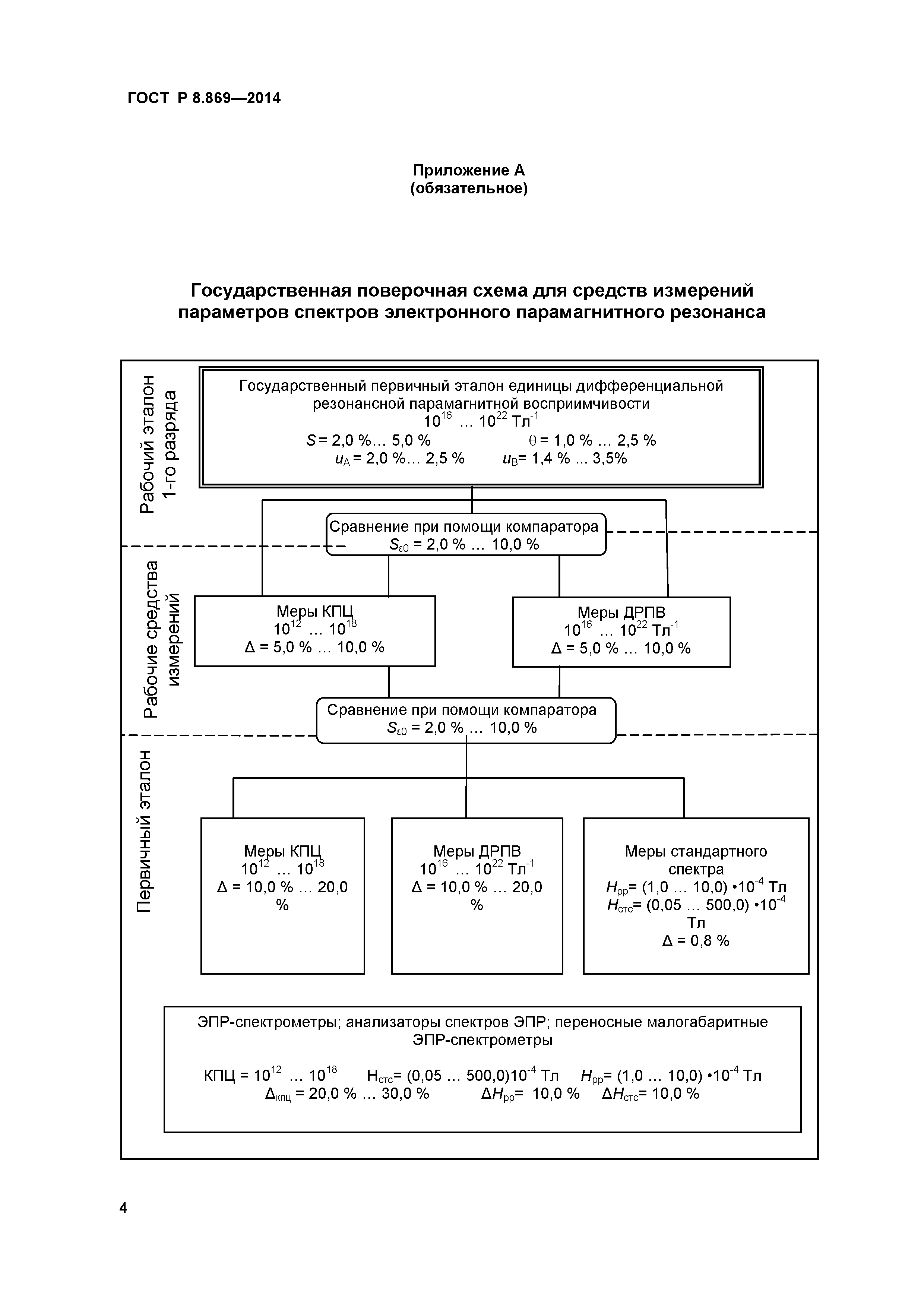
Область применения:Стандарт распространяется на государственную поверочную схему для средств измерений параметров спектров электронного парамагнитного резонанса (см. рисунок А.1 приложения А) и устанавливает порядок передачи размера единицы количества парамагнитных центров (КПЦ) - единица измерения 1 (один) - и связанной с ней единицы дифференциальной резонансной парамагнитной восприимчивости (ДРПВ) - единица измерений Тесла в степени -1 - от государственного первичного эталона рабочим средствам измерений с помощью рабочих эталонов.
Оглавление:1 Область применения
2 Нормативная документация
3 Государственный первичный эталон
4 Рабочие эталоны
5 Рабочие средства измерений
Приложение А (обязательное) Государственная поверочная схема для средств измерений параметров спектров электронного парамагнитного резонанса
Разработан: ФГУП ВНИИФТРИ
Утверждён:11.06.2014 Федеральное агентство по техническому регулированию и метрологии (537-ст)
Издан: Стандартинформ (2015 г. )
Расположен в:Техническая документация Электроэнергия МЕТРОЛОГИЯ И ИЗМЕРЕНИЯ. ФИЗИЧЕСКИЕ ЯВЛЕНИЯ Электричество. Магнетизм. Электрические и магнитные измерения Измерения электрических и магнитных величин Экология МЕТРОЛОГИЯ И ИЗМЕРЕНИЯ. ФИЗИЧЕСКИЕ ЯВЛЕНИЯ Электричество. Магнетизм. Электрические и магнитные измерения Измерения электрических и магнитных величин
Нормативные ссылки:
ГОСТ Р 8.869-2014ГОСТ Р 8.869-2014ГОСТ Р 8.869-2014ГОСТ Р 8.869-2014ГОСТ Р 8.869-2014ГОСТ Р 8.869-2014ГОСТ Р 8.869-2014

© 2013 Ёшкин Кот :-) Карта сайта