Информационная система
«Ёшкин Кот»

Скачать базу одним архивом
Скачать обновления
История создания базы
Карта сайта

Скачать ГОСТ ISO/TS 27527-2013 Информатизация здоровья. Идентификация поставщиков медицинской помощи

Дата актуализации: 10.08.2017

ГОСТ ISO/TS 27527-2013

Информатизация здоровья. Идентификация поставщиков медицинской помощи

Обозначение: ГОСТ ISO/TS 27527-2013
Обозначение англ: 27527-2013
Статус:введен впервые
Название рус.:Информатизация здоровья. Идентификация поставщиков медицинской помощи
Название англ.:Health informatics. Provider identification
Дата добавления в базу:21.05.2015
Дата актуализации:05.05.2017
Дата введения:01.07.2015
Область применения:Стандарт описывает способы улучшения идентификации поставщиков медицинской помощи. Поставщиками медицинской помощи могут быть физические лица и организации. В стандарте описаны элементы данных, необходимые для идентификации индивидуальных поставщиков (то есть физических лиц) и учреждений здравоохранения (то есть организаций). Понятие «идентификация», используемое в стандарте, охватывает как процесс идентификации лиц и организаций, так и элементы данных, необходимых для его выполнения вручную или с помощью компьютерных технологий. Стандарт распространяется на всех поставщиков медицинской помощи, как на физических лиц, так и на организации. В стандарте описаны идентификационные данные и процессы их сбора и применения. В стандарте также описаны демографические и другие данные, которые можно собирать и использовать для идентификации поставщиков в разных условиях оказания медицинской помощи, и дается руководство по их применению.
Оглавление:1 Область применения
2 Нормативные ссылки
3 Термины и определения
4 Компоненты
   4.1 Описание компонентов
   4.2 Структура элементов данных
   4.3 Общие характеристики идентификаторов поставщика
5 Идентификатор поставщика
   5.1 Описание идентификатора поставщика
   5.2 Обозначение идентификатора поставщика
   5.3 Территория действия идентификатора поставщика
   5.4 Признак физического лица или организации
   5.5 Источник идентификатора поставщика
   5.6 Назначение идентификатора поставщика
   5.7 Разрешение дубликатов
6 Индивидуальный поставщик
   6.1 Описание индивидуального поставщика
   6.2 Фамилия, имя, отчество индивидуального поставщика
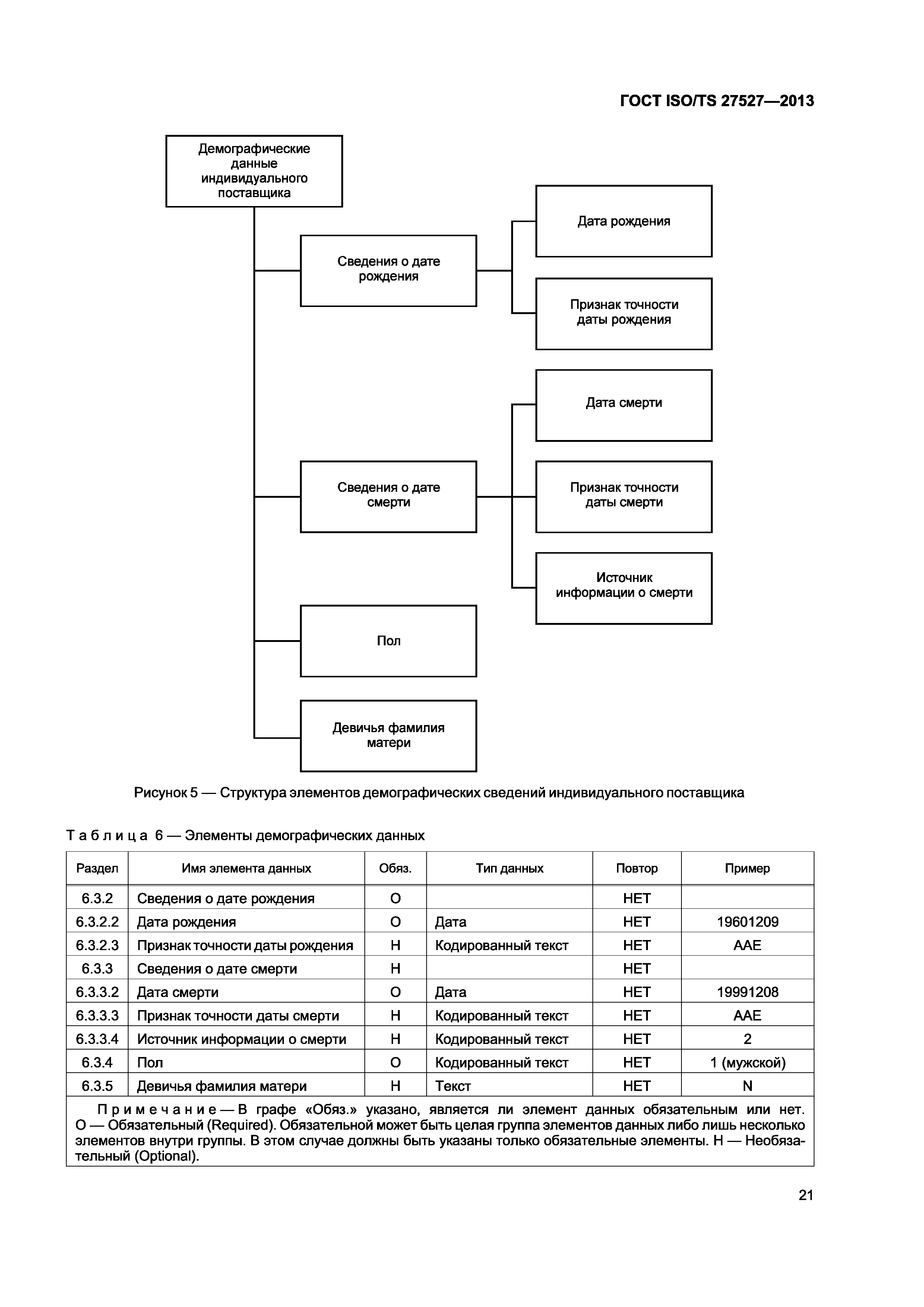
   6.3 Демографические сведения об индивидуальном поставщике
   6.4 Специализация индивидуального поставщика
7 Биометрические идентификаторы индивидуального поставщика
8 Идентификация организации-поставщика
   8.1 Общие положения
9 Адрес поставщика
   9.1 Общие положения
   9.2 Строка адреса
   9.3 Местность/город/населенный пункт
   9.4 Штат/область/провинция
   9.5 Почтовый индекс
   9.6 Почтовый ящик
   9.7 Идентификатор страны
   9.8 Тип адреса
   9.9 Дата начала действия типа адреса
   9.10 Признак точности даты начала действия типа адреса
   9.11 Дата окончания действия типа адреса
   9.12 Признак точности даты окончания действия типа адреса
   9.13 Конфиденциальность адреса
   9.14 Доступ поставщика к адресу
10 Электронная коммуникация с поставщиком
   10.1 Общие положения
   10.2 Тип среды электронной коммуникации
   10.3 Код назначения электронной коммуникации
   10.4 Адрес электронной коммуникации
   10.5 Конфиденциальность коммуникации
   10.6 Доступ поставщика к коммуникации
Приложение А (справочное) Практическая реализация
Приложение ДА (справочное) Сведения о соответствии межгосударственных стандартов ссылочным международным стандартам (международным документам).
Библиография
Разработан: Фирма Интерстандарт
ООО Корпоративные электронные системы
ЦНИИОИЗ Росздрава
Утверждён:05.11.2013 Межгосударственный Совет по стандартизации, метрологии и сертификации (Inter-Governmental Council on Standardization, Metrology, and Certification 61-П)
28.04.2014 Федеральное агентство по техническому регулированию и метрологии (423-ст)
Издан: Стандартинформ (2015 г. )
Расположен в:Техническая документация Электроэнергия ИНФОРМАЦИОННЫЕ ТЕХНОЛОГИИ. МАШИНЫ КОНТОРСКИЕ Применение информационных технологий Применение информационных технологий в здравоохранении Экология ИНФОРМАЦИОННЫЕ ТЕХНОЛОГИИ. МАШИНЫ КОНТОРСКИЕ Применение информационных технологий Применение информационных технологий в здравоохранении
ГОСТ ISO/TS 27527-2013ГОСТ ISO/TS 27527-2013ГОСТ ISO/TS 27527-2013ГОСТ ISO/TS 27527-2013ГОСТ ISO/TS 27527-2013ГОСТ ISO/TS 27527-2013ГОСТ ISO/TS 27527-2013ГОСТ ISO/TS 27527-2013ГОСТ ISO/TS 27527-2013ГОСТ ISO/TS 27527-2013ГОСТ ISO/TS 27527-2013ГОСТ ISO/TS 27527-2013ГОСТ ISO/TS 27527-2013ГОСТ ISO/TS 27527-2013ГОСТ ISO/TS 27527-2013ГОСТ ISO/TS 27527-2013ГОСТ ISO/TS 27527-2013ГОСТ ISO/TS 27527-2013ГОСТ ISO/TS 27527-2013ГОСТ ISO/TS 27527-2013ГОСТ ISO/TS 27527-2013ГОСТ ISO/TS 27527-2013ГОСТ ISO/TS 27527-2013ГОСТ ISO/TS 27527-2013ГОСТ ISO/TS 27527-2013ГОСТ ISO/TS 27527-2013ГОСТ ISO/TS 27527-2013ГОСТ ISO/TS 27527-2013ГОСТ ISO/TS 27527-2013ГОСТ ISO/TS 27527-2013ГОСТ ISO/TS 27527-2013ГОСТ ISO/TS 27527-2013ГОСТ ISO/TS 27527-2013ГОСТ ISO/TS 27527-2013ГОСТ ISO/TS 27527-2013ГОСТ ISO/TS 27527-2013ГОСТ ISO/TS 27527-2013ГОСТ ISO/TS 27527-2013ГОСТ ISO/TS 27527-2013ГОСТ ISO/TS 27527-2013ГОСТ ISO/TS 27527-2013ГОСТ ISO/TS 27527-2013ГОСТ ISO/TS 27527-2013ГОСТ ISO/TS 27527-2013ГОСТ ISO/TS 27527-2013ГОСТ ISO/TS 27527-2013ГОСТ ISO/TS 27527-2013ГОСТ ISO/TS 27527-2013ГОСТ ISO/TS 27527-2013ГОСТ ISO/TS 27527-2013ГОСТ ISO/TS 27527-2013ГОСТ ISO/TS 27527-2013ГОСТ ISO/TS 27527-2013ГОСТ ISO/TS 27527-2013ГОСТ ISO/TS 27527-2013ГОСТ ISO/TS 27527-2013ГОСТ ISO/TS 27527-2013ГОСТ ISO/TS 27527-2013ГОСТ ISO/TS 27527-2013ГОСТ ISO/TS 27527-2013ГОСТ ISO/TS 27527-2013ГОСТ ISO/TS 27527-2013ГОСТ ISO/TS 27527-2013ГОСТ ISO/TS 27527-2013ГОСТ ISO/TS 27527-2013ГОСТ ISO/TS 27527-2013ГОСТ ISO/TS 27527-2013ГОСТ ISO/TS 27527-2013ГОСТ ISO/TS 27527-2013ГОСТ ISO/TS 27527-2013

© 2013 Ёшкин Кот :-) Карта сайта