| ||||||||||||||||||||||||||
Скачать Государственная программа Российской Федерации Доступная среда на 2011 - 2015 годыДата актуализации: 10.08.2017 |
| Статус: | утратил силу |
| Название рус.: | Государственная программа Российской Федерации "Доступная среда" на 2011 - 2015 годы |
| Дата добавления в базу: | 01.10.2014 |
| Дата актуализации: | 05.05.2017 |
| Дата введения: | 12.12.2015 |
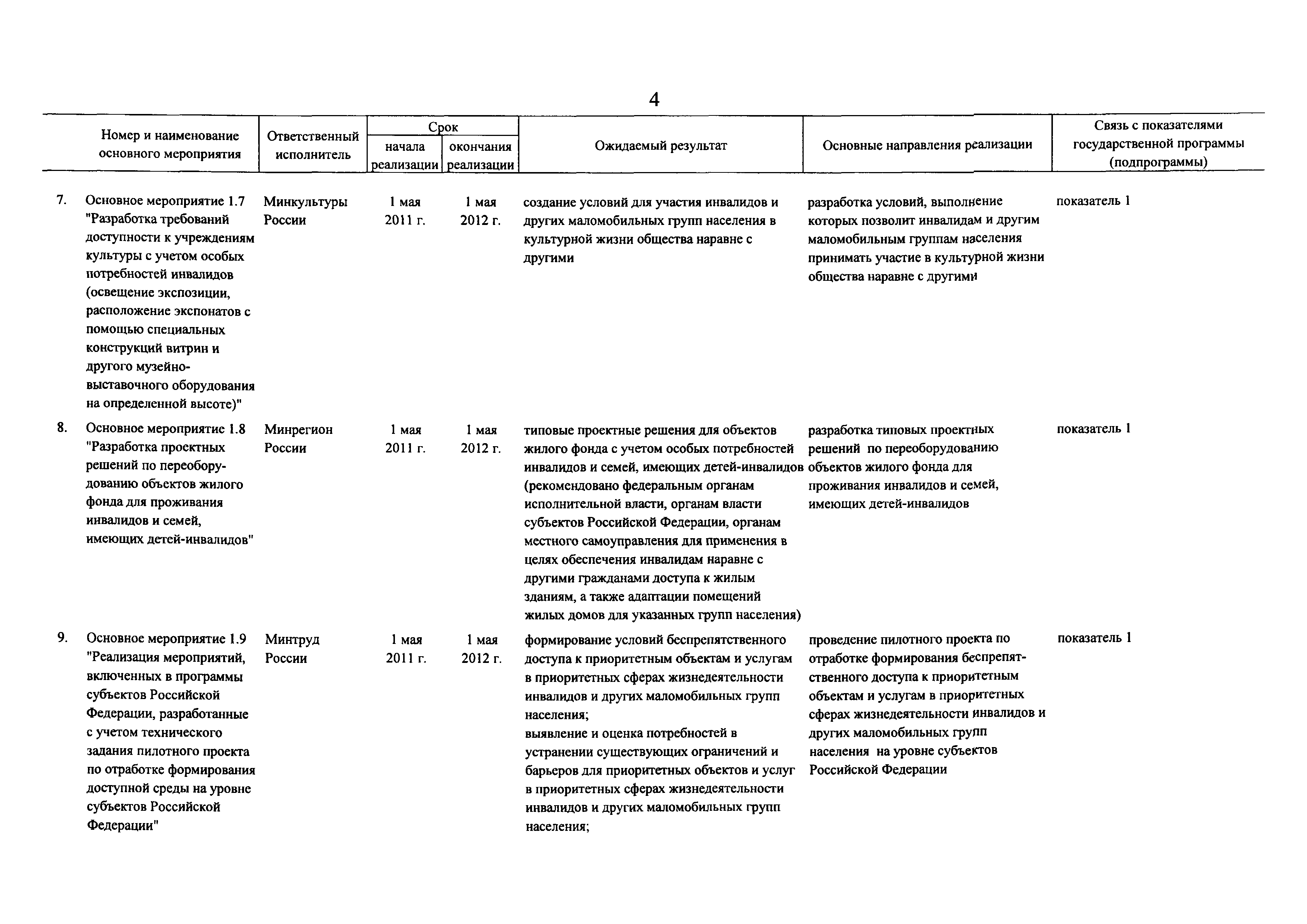
| Оглавление: | Паспорт государственной программы Российской Федерации "Доступная среда" на 2011 - 2015 годы Паспорт подпрограммы 1 "Обеспечение доступности приоритетных объектов и услуг в приоритетных сферах жизнедеятельности инвалидов и других маломобильных групп населения" государственной программы Российской Федерации "Доступная среда" на 2011 - 2015 годы Паспорт подпрограммы 2 "Совершенствование механизма предоставления услуг в сфере реабилитации и государственной системы медико-социальной экспертизы" государственной программы Российской Федерации "Доступная среда" на 2011 - 2015 годы I. Приоритеты и цели государственной политики, в том числе общие требования к государственной политике субъектов Российской Федерации II. Общая характеристика участия субъектов Российской Федерации в реализации Программы Приложение № 1 Сведения о показателях (индикаторах) государственной программы Российской Федерации "Доступная среда" на 2011 - 2015 годы Приложение № 2 Сведения о показателях (индикаторах) государственной программы Российской Федерации "Доступная среда" на 2011 - 2015 годы по федеральным округам Приложение № 3 Перечень основных мероприятий государственной программы Российской Федерации "Доступная среда" на 2011 - 2015 годы Приложение № 4 Сведения о нормативных правовых актах, направленных на достижение цели и (или) ожидаемых результатов государственной программы Российской Федерации "Доступная среда" на 2011 - 2015 годы Приложение № 5 Ресурсное обеспечение реализации государственной программы Российской Федерации "Доступная среда" на 2011 - 2015 годы за счет средств федерального бюджета Приложение № 6 Правила предоставления и распределения субсидий из федерального бюджета бюджетам субъектов Российской Федерации на реализацию мероприятий, включенных в государственные программы субъектов Российской Федерации, разработанные на основе примерной программы субъекта Российской Федерации по обеспечению доступности приоритетных объектов и услуг в приоритетных сферах жизнедеятельности инвалидов и других маломобильных групп населения Приложение № 7 Правила предоставления и распределения субсидий из федерального бюджета бюджетам субъектов Российской Федерации на проведение мероприятий по формированию в субъектах Российской Федерации сети общеобразовательных организаций, в которых созданы условия для инклюзивного образования детей-инвалидов Приложение № 8 Правила предоставления и распределения субсидий из федерального бюджета бюджетам субъектов Российской Федерации на поддержку учреждений спортивной направленности по адаптивной физической культуре и спорту в субъектах Российской Федерации |
| Утверждён: | 15.04.2014 Правительство Российской Федерации (297) |
| Издан: | Официальный интернет-портал правовой информации (www.pravo.gov.ru) (от 24.04.2014 г. Номер опубликования: 0001201404240031) |
| Расположен в: | |
| Список изменений: |
|
| Нормативные ссылки: |
|














































































Текстовое изменение № 1 от 05.03.2015





















