Информационная система
«Ёшкин Кот»

Скачать базу одним архивом
Скачать обновления
История создания базы
Карта сайта

Скачать ГОСТ Р 53556.10-2014 Звуковое вещание цифровое. Кодирование сигналов звукового вещания с сокращением избыточности для передачи по цифровым каналам связи. Часть III (MPEG-4 audio). Передискретизация аудио

Дата актуализации: 10.08.2017

ГОСТ Р 53556.10-2014

Звуковое вещание цифровое. Кодирование сигналов звукового вещания с сокращением избыточности для передачи по цифровым каналам связи. Часть III (MPEG-4 audio). Передискретизация аудио

Обозначение: ГОСТ Р 53556.10-2014
Обозначение англ: GOST R 53556.10-2014
Статус:введен впервые
Название рус.:Звуковое вещание цифровое. Кодирование сигналов звукового вещания с сокращением избыточности для передачи по цифровым каналам связи. Часть III (MPEG-4 audio). Передискретизация аудио
Название англ.:Sound broadcasting digital. Coding of signals of sound broadcasting with reduction of redundancy for transfer on digital communication channels. Part III (MPEG-4 audio). Oversampled audio
Дата добавления в базу:21.05.2015
Дата актуализации:05.05.2017
Дата введения:01.01.2015
Область применения:Стандарт описывает алгоритм кодирования без потерь MPEG-4 для передискретизированных аудиосигналов.
Оглавление:1 Область применения
2 Термины и определения
3 Условные обозначения
4 Основные типы
5 Полезные нагрузки для аудиообъекта
6 Семантика
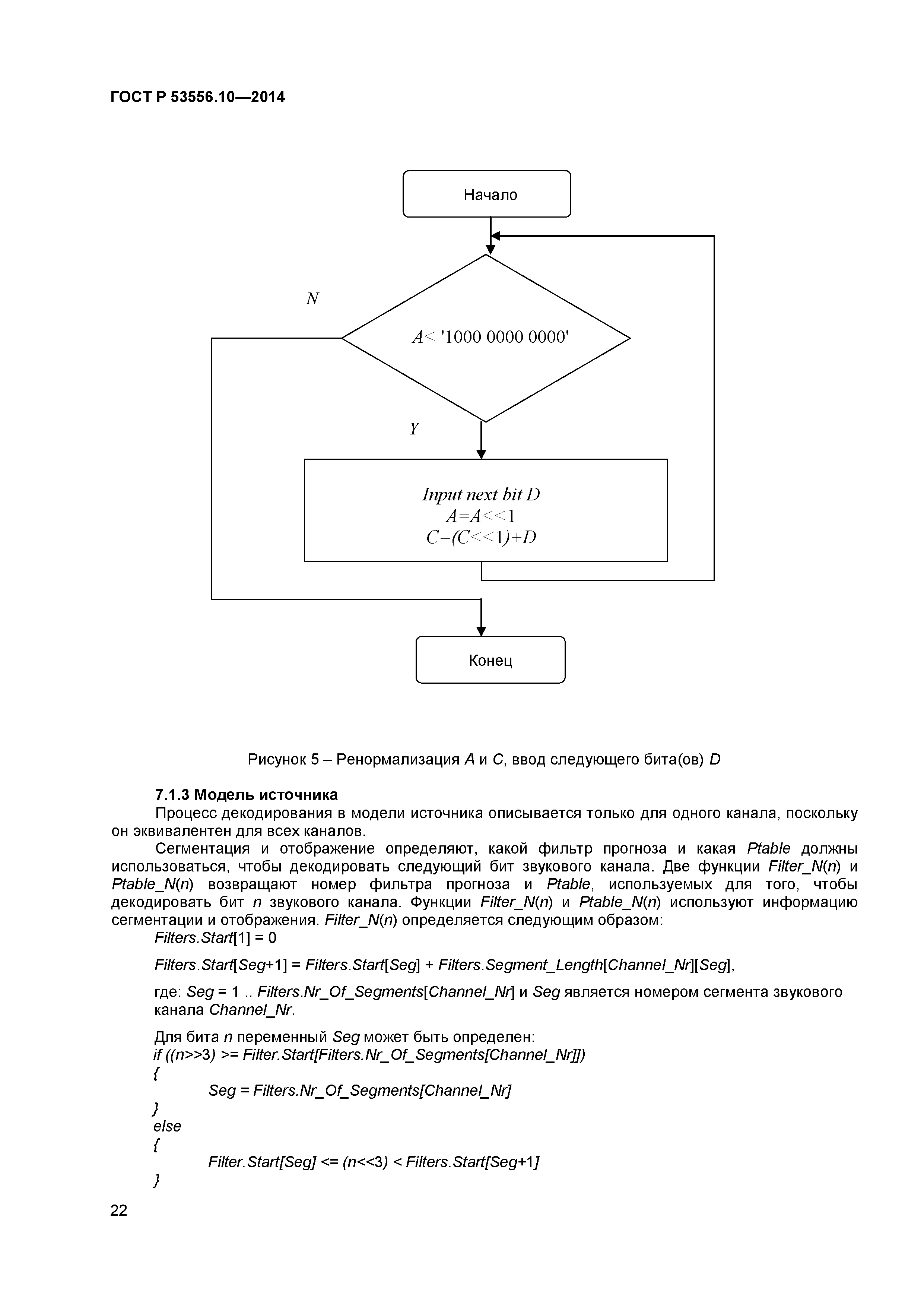
7 Эталонная модель декодера DST
Приложение А (справочное) Описание кодера
Библиография
Разработан: ТК 480 Связь
Утверждён:18.04.2014 Федеральное агентство по техническому регулированию и метрологии (386-ст)
Издан: Стандартинформ (2014 г. )
Расположен в:Техническая документация Электроэнергия ТЕЛЕКОММУНИКАЦИИ. АУДИО-И ВИДЕОТЕХНИКА Теле- и радиовещание Экология ТЕЛЕКОММУНИКАЦИИ. АУДИО-И ВИДЕОТЕХНИКА Теле- и радиовещание
ГОСТ Р 53556.10-2014ГОСТ Р 53556.10-2014ГОСТ Р 53556.10-2014ГОСТ Р 53556.10-2014ГОСТ Р 53556.10-2014ГОСТ Р 53556.10-2014ГОСТ Р 53556.10-2014ГОСТ Р 53556.10-2014ГОСТ Р 53556.10-2014ГОСТ Р 53556.10-2014ГОСТ Р 53556.10-2014ГОСТ Р 53556.10-2014ГОСТ Р 53556.10-2014ГОСТ Р 53556.10-2014ГОСТ Р 53556.10-2014ГОСТ Р 53556.10-2014ГОСТ Р 53556.10-2014ГОСТ Р 53556.10-2014ГОСТ Р 53556.10-2014ГОСТ Р 53556.10-2014ГОСТ Р 53556.10-2014ГОСТ Р 53556.10-2014ГОСТ Р 53556.10-2014ГОСТ Р 53556.10-2014ГОСТ Р 53556.10-2014ГОСТ Р 53556.10-2014ГОСТ Р 53556.10-2014ГОСТ Р 53556.10-2014ГОСТ Р 53556.10-2014ГОСТ Р 53556.10-2014ГОСТ Р 53556.10-2014ГОСТ Р 53556.10-2014

© 2013 Ёшкин Кот :-) Карта сайта