| ||||||||||||||||||||||||||||||||||||
Скачать ГОСТ IEC 61010-031-2013 Безопасность электрических контрольно-измерительных приборов и лабораторного оборудования. Часть 031. Требования безопасности к портативным измерительным щупам для электрических измерений и испытанийДата актуализации: 10.08.2017
|
| Обозначение: | ГОСТ IEC 61010-031-2013 |
| Обозначение англ: | 61010-031-2013 |
| Статус: | взамен |
| Название рус.: | Безопасность электрических контрольно-измерительных приборов и лабораторного оборудования. Часть 031. Требования безопасности к портативным измерительным щупам для электрических измерений и испытаний |
| Название англ.: | Safety requirements for electrical equipment for measurement, control and laboratory use. Part 031. Safety requirements for hand-held probe assemblies for electrical measurement and test |
| Дата добавления в базу: | 01.02.2017 |
| Дата актуализации: | 05.05.2017 |
| Дата введения: | 01.09.2015 |
| Область применения: | Стандарт распространяется на портативные измерительные щупы для электрических измерений и испытаний и связанные с ними аксессуары, предназначенные для профессионального использования, профессионального обучения и использования в производственных процессах. |
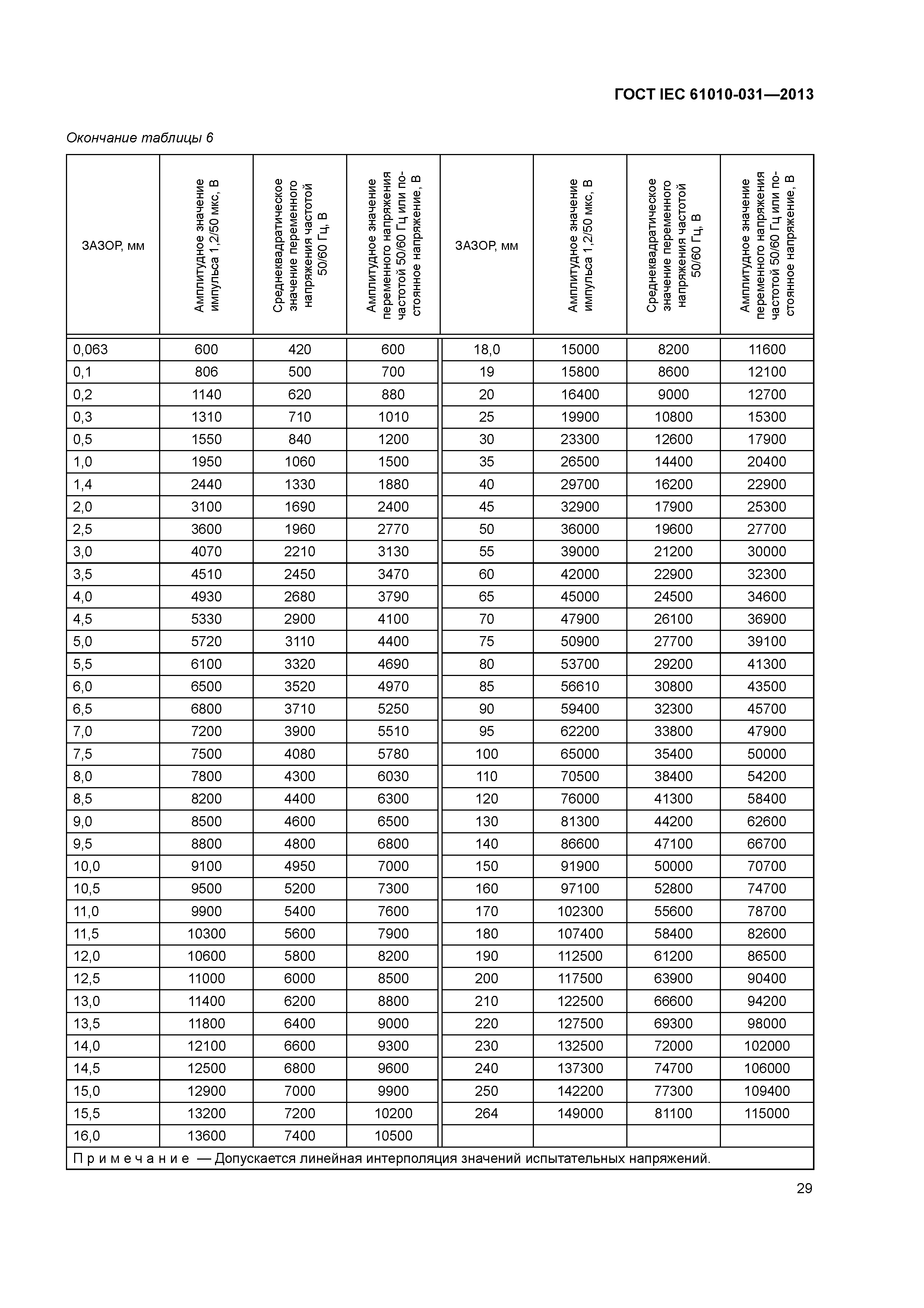
| Оглавление: | 1 Область применения и назначение 1.1 Область применения 1.2 Назначение 1.3 Верификация 1.4 Условия окружающей среды 2 Нормативные ссылки 3 Термины и определения 3.1 Части и принадлежности 3.2 Электрические величины 3.3 Испытания 3.4 Термины по безопасности 3.5 Изоляция 4 Испытания 4.1 Общие положения 4.2 Последовательность испытаний 4.3 Нормальные условия испытаний 4.4 Испытания при УСЛОВИЯХ ЕДИНИЧНОЙ НЕИСПРАВНОСТИ 5 Маркировка и документация 5.1 Маркировка 5.2 Предупреждающая маркировка 5.3 Прочность маркировки 5.4 документация 6 Защита от поражения электрическим током 6.1 Общие положения 6.2 Определение ДОСТУПНЫХ частей 6.3 Допустимые ограничения для ДОСТУПНЫХ частей 6.4 Требования к изоляции для защиты от поражения электрическим током 6.5 ЗАЗОРЫ и ПУТИ УТЕЧКИ 6.6 Испытания напряжением 6.7 Требования к конструкции 7 Защита от механических ОПАСНОСТЕЙ 8 Устойчивость к механическим воздействиям 8.1 Испытание на жесткость 8.2 Испытание на прочность при падении 8.3 Испытание на воздействие колебательных ударов 9 Ограничения температуры и защита от распространения огня 9.1 Общие положения 9.2 Испытания на воздействие температуры 10 Теплостойкость 10.1 Целостность ЗАЗОРОВ и ПУТЕЙ УТЕЧКИ 10.2 Теплостойкость 11 Защита от опасностей, связанных с жидкостями 11.1 Общие положения 11.2 Очистка 11.3 Измерительные ЩУПЫ со специальной защитой 12 Компоненты 12.1 Общие положения 12.2 Предохранители 12.3 ВЫСОКОИНТЕГРИРОВАННЫЕ компоненты 13 Защита от ОПАСНОСТЕЙ вспышки дуги и короткого замыкания 13.1 Общие положения 13.2 Незащищенные проводящие части Приложение А (обязательное) Схемы измерительных цепей для ДОСТУПНЫХ токов (см.6.3) Приложение В (обязательное) Стандартные испытательные пальцы (см.6.2) Приложение С (обязательное) Измерение ПУТЕЙ УТЕЧКИ и ЗАЗОРОВ Приложение D (справочное) Алфавитный указатель терминов Приложение ДА (справочное) Сведения о соответствии межгосударственных стандартов ссылочным международным стандартам Библиография |
| Разработан: | АНО НТЦ СЭ ИСЭП |
| Утверждён: | 14.11.2013 Межгосударственный Совет по стандартизации, метрологии и сертификации (Inter-Governmental Council on Standardization, Metrology, and Certification 44) 02.04.2014 Федеральное агентство по техническому регулированию и метрологии (298-ст) |
| Издан: | Стандартинформ (2016 г. ) |
| Расположен в: | |
| Заменяет собой: | |
| Нормативные ссылки: |


























































