Скачать ФССЦ 03-2001 Часть 3. Материалы и изделия для санитарно-технических работ (редакция 2014 года). Материалы и изделия для санитарно-технических работ. Федеральный сборник сметных цен на материалы, изделия и конструкции, применяемые в строительствеДата актуализации: 10.08.2017 ФССЦ 03-2001
Часть 3. Материалы и изделия для санитарно-технических работ (редакция 2014 года). Материалы и изделия для санитарно-технических работ. Федеральный сборник сметных цен на материалы, изделия и конструкции, применяемые в строительстве| Обозначение: | ФССЦ 03-2001 | | Обозначение англ: | FSSTs 03-2001 | | Статус: | не подлежит применению | | Название рус.: | Часть 3. Материалы и изделия для санитарно-технических работ (редакция 2014 года). Материалы и изделия для санитарно-технических работ. Федеральный сборник сметных цен на материалы, изделия и конструкции, применяемые в строительстве | | Дата добавления в базу: | 01.10.2014 | | Дата актуализации: | 05.05.2017 | | Дата введения: | 28.04.2017 | | Область применения: | Федеральные сметные цены на материалы, изделия и конструкции, применяемые в строительстве (ФССЦ) предназначены для определения сметной стоимости строительно-монтажных (ремонтно-строительных) работ, а также при разработке Федеральных единичных расценок на строительные, монтажные и ремонтно-строительные работы | | Оглавление: | Раздел 3.01 Санитарно-технические материалы и изделия Подраздел: Санитарно-технические материалы и изделия Подраздел: Санитарно-технические приборы и комплектующие Раздел 3.02 Трубопроводы, арматура, фасонные и соединительные части | | Разработан: | Федеральный центр ценообразования в строительстве и промышленности строительных материалов
| | Утверждён: | 30.01.2014 Минстрой России (Russian Federation Minstroy 31/пр)
| | Издан: | ООО Стройинформиздат (2014 г. )
| | Расположен в: |
| | Список изменений: | | | Чем заменён: | | | Нормативные ссылки: | |
                                                                                                                                                                                                                                  
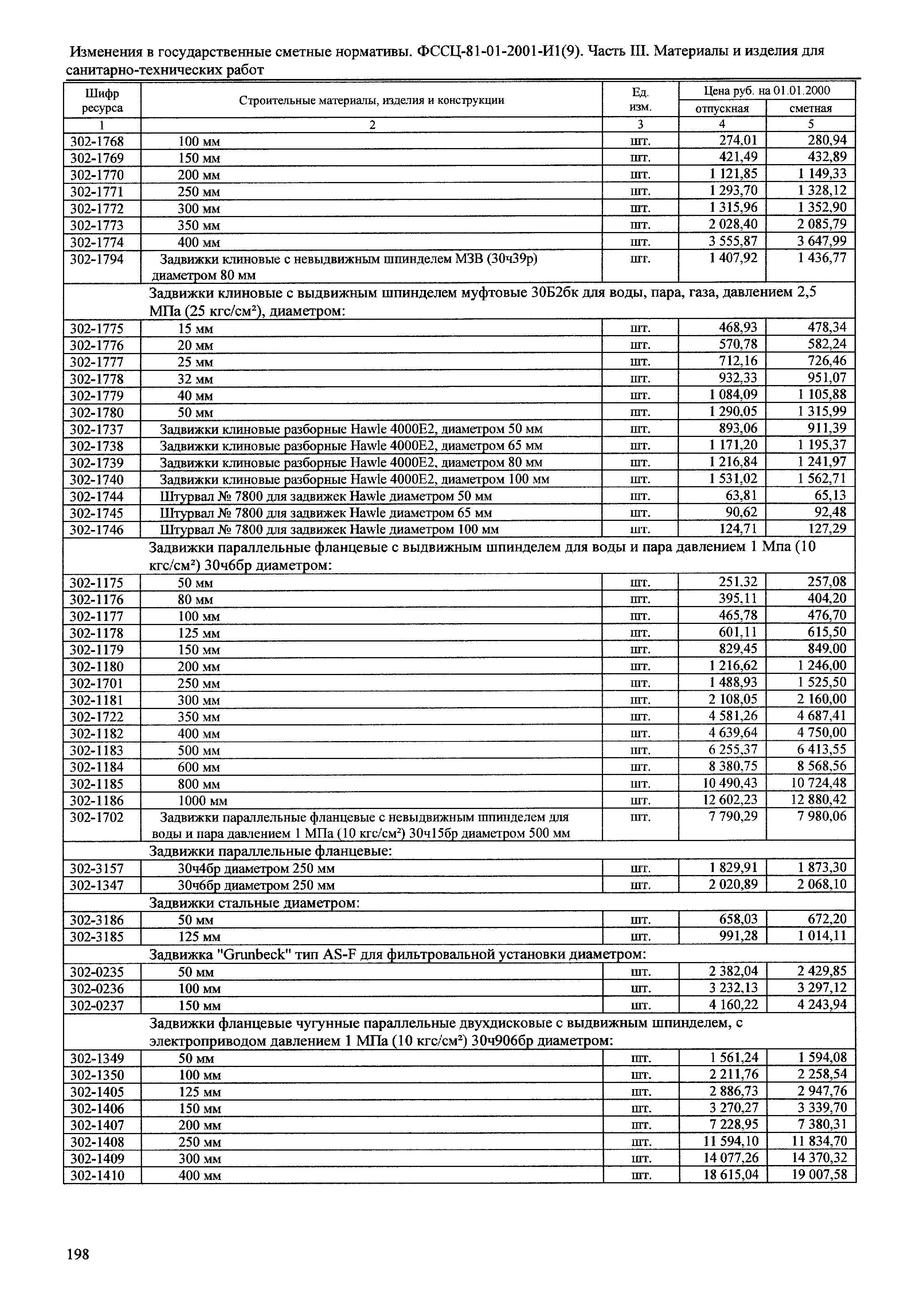
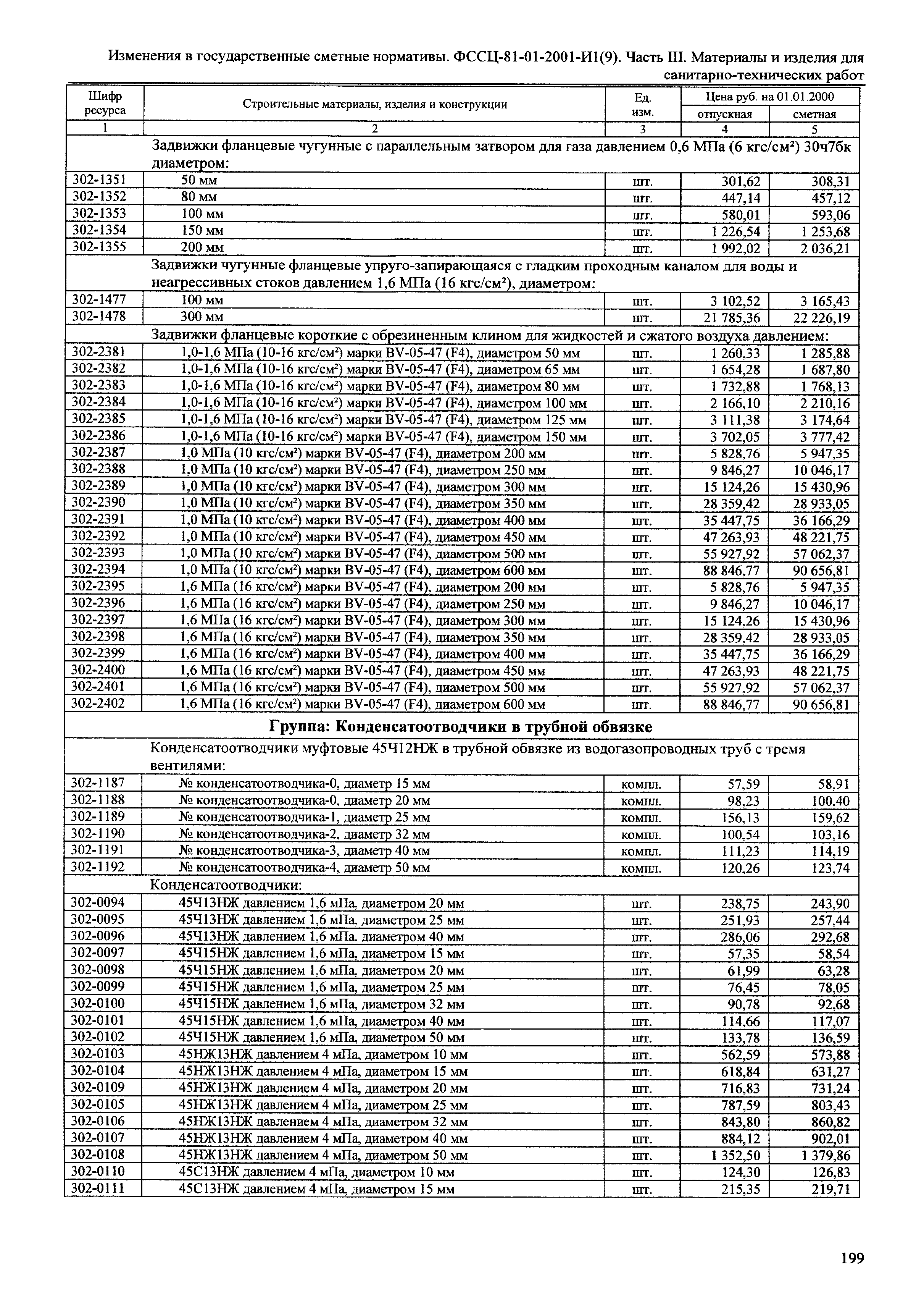
Текстовое изменение № 81-01-2001-И1(9)
                                                                                                                                                                                                                                     
Текстовое изменение № 81-01-2001-И2(10) от 11.12.2015
     
|