| ||||||||||||||||||||||||||||||||||||
Скачать ФССЦ 01-2001 Часть 1. Материалы для общестроительных работ (редакция 2014 года). Материалы для общестроительных работ. Федеральный сборник сметных цен на материалы, изделия и конструкции, применяемые в строительствеДата актуализации: 10.08.2017
|
| Обозначение: | ФССЦ 01-2001 |
| Обозначение англ: | FSSTs 01-2001 |
| Статус: | не подлежит применению |
| Название рус.: | Часть 1. Материалы для общестроительных работ (редакция 2014 года). Материалы для общестроительных работ. Федеральный сборник сметных цен на материалы, изделия и конструкции, применяемые в строительстве |
| Дата добавления в базу: | 01.10.2014 |
| Дата актуализации: | 05.05.2017 |
| Дата введения: | 28.04.2017 |
| Область применения: | Федеральные сметные цены на материалы, изделия и конструкции, применяемые в строительстве (ФССЦ) предназначены для определения сметной стоимости строительно-монтажных (ремонтно-строительных) работ, а также при разработке Федеральных единичных расценок на строительные, монтажные и ремонтно-строительные работы. |
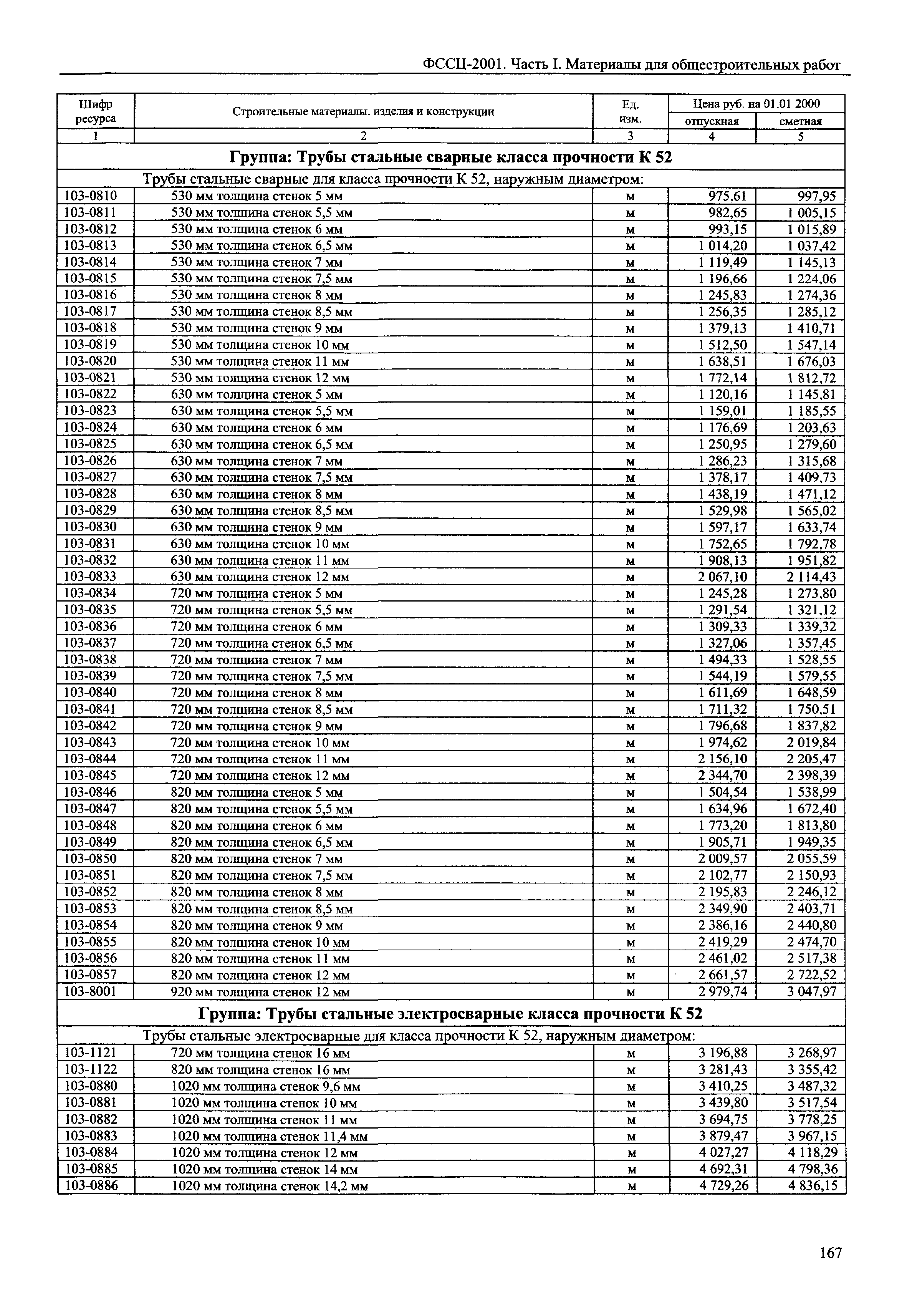
| Оглавление: | Раздел 1.01 Материалы для общестроительных работ Подраздел: Материалы и изделия асбестосодержащие Подраздел: ГСМ, специальные жидкости, газы технические и реактивы Подраздел: Материалы и изделия для общего назначения Подраздел: Битумы и битумная продукция Подраздел: Материалы для устройства кровли и гидроизоляции Подраздел: Вяжущие материалы и добавки Подраздел: Материалы отделочные Подраздел: Изделия керамические Подраздел: Резинотехнические изделия Подраздел: Материалы лакокрасочные Подраздел: Ленты Подраздел: Материалы для устройства полов Подраздел: Мастики, пасты Подраздел: Плиты Подраздел: Материалы гипсосодержащие Подраздел: Материалы для дорожного строительства Подраздел: Стекло строительное и изделия Подраздел: Металлоизделия Подраздел: Металлопрокат Подраздел: Материалы для сварочных работ Подраздел: Метизы Подраздел: Скобяные изделия Подраздел: Оснастка технологическая и инструментальная Подраздел: Опалубка, леса, подмости Раздел 1.02 Лесоматериалы Подраздел: Изделия общего назначения Подраздел: Пиломатериалы Подраздел: Лесоматериалы Раздел 1.03 Трубы стальные, чугунные, асбестоцементные. полимерные и керамические Подраздел: Трубы стальные водогазопроводные с резьбой черные Подраздел: Трубы стальные сварные водогазопроводные с резьбой оцинкованные Подраздел: Трубы стальные электросварные Подраздел: Трубы стальные сварные для магистральных газонефтепроводов Подраздел: Трубы стальные бесшовные Подраздел: Трубы чугунные Подраздел: Трубы прочие Подраздел: Фасонные соединительные части и прочие детали Раздел 1.04 Материалы для теплоизоляционных работ Подраздел: Материалы теплоизоляционные Подраздел: Конструкции и изделия теплоизоляционные Раздел 1.05 Материалы верхнего строения пути железных дорог широкой колеи Подраздел: Метизы Подраздел: Прочие материалы и изделия Подраздел: Рельсы Раздел 1.06 Материалы верхнего строения пути железных дорог узкой колеи Раздел 1.07 Материалы верхнего строения трамвайных путей Раздел 1.08 Материалы для метрополитенов и тоннелей Подраздел: Материалы для тоннельных работ Подраздел: Материалы и изделия для путевых работ Раздел 1.09 Материалы для горнопроходческих работ Раздел 1.10 Материалы для сооружений связи Подраздел: Материалы для сооружений связи Подраздел: Изоляторы Раздел 1.11 Материалы для сигнализаций, централизации, автоблокировки и электрификации железных дорог Подраздел: Материалы Подраздел: Изделия Раздел 1.12 Материалы для взрывных общестроительных и горнопроходческих работ Раздел 1.13 Материалы для антикоррозионных защитных покрытий Раздел 1.14 Материалы для удобрения и химических средств защиты растений Раздел 1.15 Огнеупорные материалы и изделия Подраздел: Изделия кремнеземистые (динасовые) Подраздел: Алюмосиликатные изделия Подраздел: Изделия алюмосиликатные (высокоглиноземистые) и глиноземистые Подраздел: Изделия высокомагнезиальные, магнезиально-шпинелидные и магнезиально-силикатные Подраздел: Изделия углеродистые Подраздел: Изделия карбидокремниевые Подраздел: Изделия цирконистые Подраздел: Прочие изделия Подраздел: Огнеупоры неформованные Подраздел: Мертели огнеупорные и высокоогнеупорные Подраздел: Заполнители Подраздел: Огнеупорное сырье Раздел 1.16 Малые архитектурные формы Подраздел: Малые архитектурные формы Подраздел: Элементы ограждений Раздел 1.17 Материалы для ремонтно-реставрационных работ |
| Разработан: | Федеральный центр ценообразования в строительстве и промышленности строительных материалов |
| Утверждён: | 30.01.2014 Минстрой России (Russian Federation Minstroy 31/пр) |
| Издан: | ООО Стройинформиздат (2014 г. ) |
| Расположен в: | |
| Список изменений: | |
| Чем заменён: | |
| Нормативные ссылки: |




















































































































































































































































































































































































Текстовое изменение № 81-01-2001-И1(9)


















































































































































































































































































































































































































Текстовое изменение № 81-01-2001-И2(10) от 11.12.2015


























Текстовое изменение № от 01.02.2017









































































































































































































































































