Информационная система
«Ёшкин Кот»

Скачать базу одним архивом
Скачать обновления
История создания базы
Карта сайта

Скачать ГОСТ Р 55547-2013 Биотопливо твердое. Подтверждение качества топлива. Часть 6. Недревесные пеллеты для непромышленного использования

Дата актуализации: 10.08.2017

ГОСТ Р 55547-2013

Биотопливо твердое. Подтверждение качества топлива. Часть 6. Недревесные пеллеты для непромышленного использования

Обозначение: ГОСТ Р 55547-2013
Обозначение англ: GOST R 55547-2013
Статус:введен впервые
Название рус.:Биотопливо твердое. Подтверждение качества топлива. Часть 6. Недревесные пеллеты для непромышленного использования
Название англ.:Solid biofuels. Fuel quality assurance. Part 6. Nonwood pellets for non-industrial use
Дата добавления в базу:21.05.2015
Дата актуализации:05.05.2017
Дата введения:01.01.2015
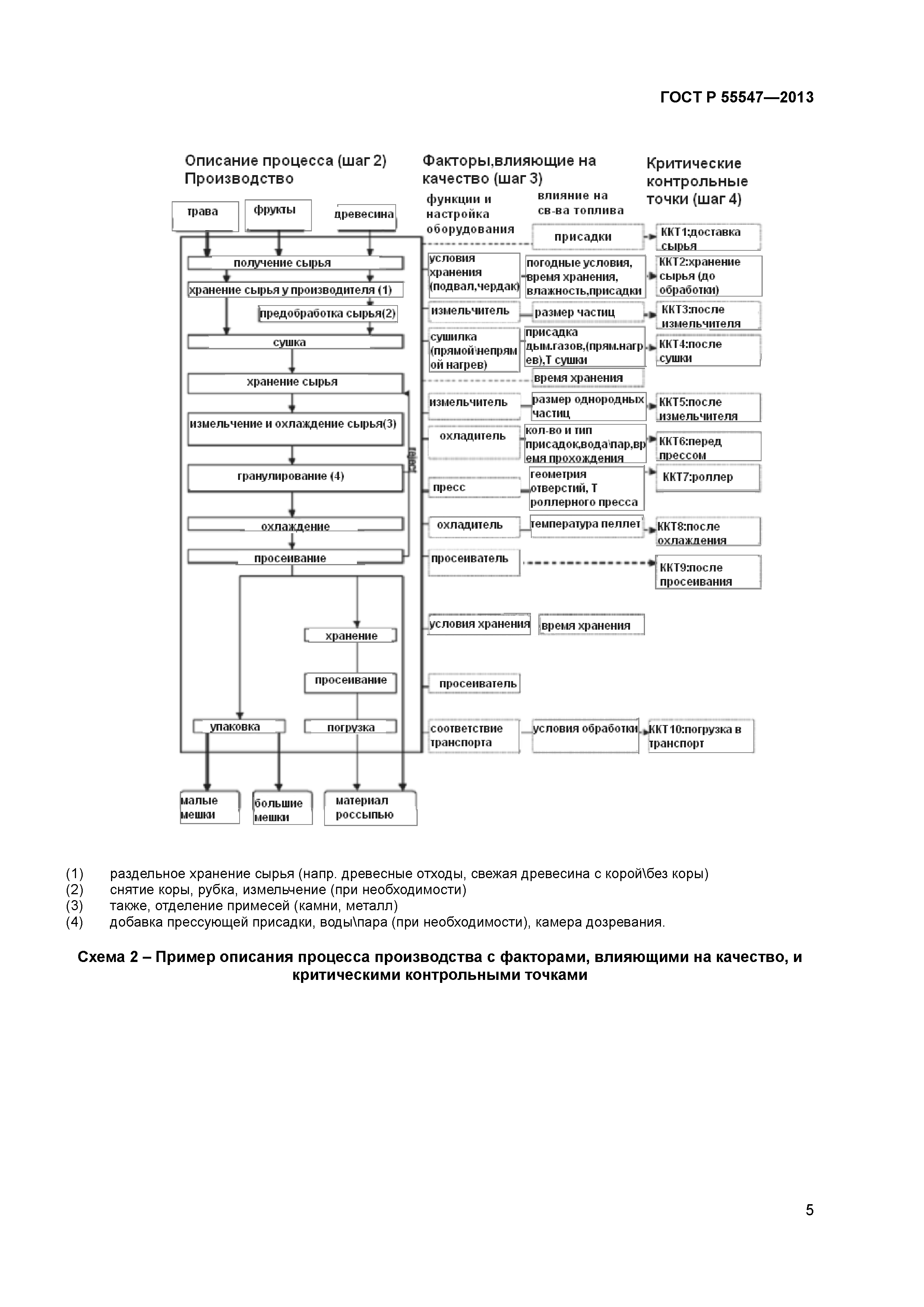
Область применения:Стандарт устанавливает процедуры, необходимые для соблюдения требований к качеству (контроль качества), и гарантирующие соблюдение спецификаций недревесных пеллет (подтверждение качества). Стандарт охватывает всю цепочку производства и поставки - от закупки сырья на предприятие по производству биотоплива до точки доставки топлива конечному потребителю.
Оглавление:1 Область применения
2 Нормативные ссылки
3 Термины и определения
4 Символы, обозначения и сокращения
5 Меры контроля и подтверждения качества
6 Декларация качества топлива и маркировка
Приложение А (справочное) Примеры деклараций продукта
Библиография
Разработан: ФГУП ВНИЦ СМВ
Утверждён:28.08.2013 Федеральное агентство по техническому регулированию и метрологии (634-ст)
Издан: Стандартинформ (2014 г. )
Расположен в:Техническая документация Электроэнергия ДОБЫЧА И ПЕРЕРАБОТКА НЕФТИ, ГАЗА И СМЕЖНЫЕ ПРОИЗВОДСТВА Топливо Твердое топливо Экология ДОБЫЧА И ПЕРЕРАБОТКА НЕФТИ, ГАЗА И СМЕЖНЫЕ ПРОИЗВОДСТВА Топливо Твердое топливо
Список изменений:
Нормативные ссылки:
ГОСТ Р 55547-2013ГОСТ Р 55547-2013ГОСТ Р 55547-2013ГОСТ Р 55547-2013ГОСТ Р 55547-2013ГОСТ Р 55547-2013ГОСТ Р 55547-2013ГОСТ Р 55547-2013ГОСТ Р 55547-2013ГОСТ Р 55547-2013ГОСТ Р 55547-2013ГОСТ Р 55547-2013ГОСТ Р 55547-2013ГОСТ Р 55547-2013ГОСТ Р 55547-2013

Текстовое изменение Поправка от 03.02.2015

Поправка

© 2013 Ёшкин Кот :-) Карта сайта