Информационная система
«Ёшкин Кот»

Скачать базу одним архивом
Скачать обновления
История создания базы
Карта сайта

Скачать ФССЦпг 2001 Федеральные сметные цены на перевозки грузов для строительства (редакция 2014 г.)

Дата актуализации: 10.08.2017

ФССЦпг 2001

Федеральные сметные цены на перевозки грузов для строительства (редакция 2014 г.)

Обозначение: ФССЦпг 2001
Обозначение англ: 2001
Статус:не подлежит применению
Название рус.:Федеральные сметные цены на перевозки грузов для строительства (редакция 2014 г.)
Дата добавления в базу:01.10.2014
Дата актуализации:05.05.2017
Дата введения:31.03.2017
Область применения:Государственные сметные нормативы. Федеральные сметные цены на перевозки грузов для строительства предназначены для определения затрат на перевозки строительных грузов.
Оглавление:1. Общие положения
   По разделу 1. Сметные цены на погрузо-разгрузочные работы
   По разделу 2. Сметные цены на тару, упаковку и реквизит
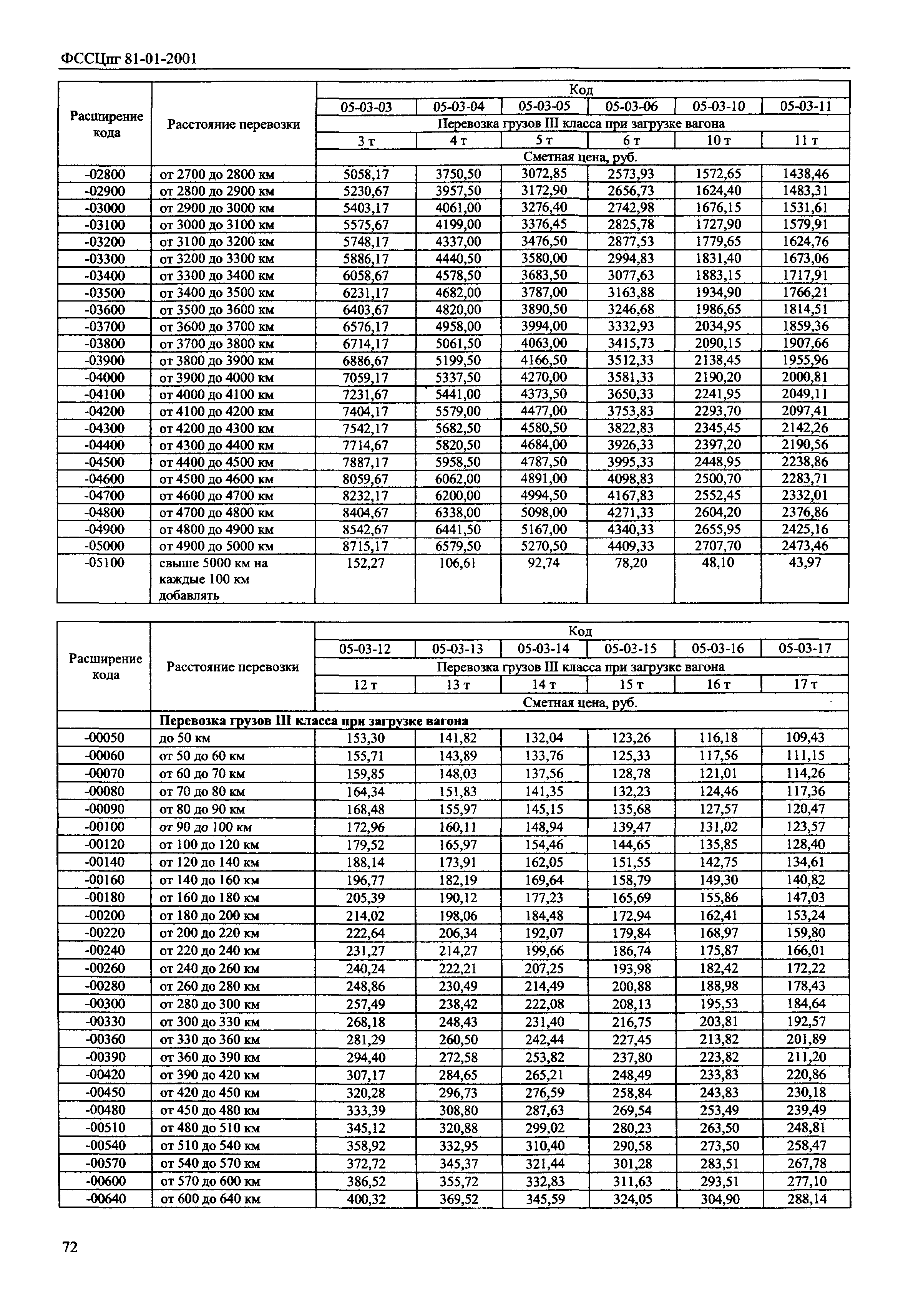
   По разделу 3. Сметные цены на перевозку грузов автомобильным транспортом
   По разделу 4. Сметные цены на перевозку грузов тракторами с прицепами
   По разделу 5. Сметные цены на перевозку грузов железнодорожным транспортом
II. Федеральные сметные цены на перевозки грузов для строительства
   Раздел 1. Сметные цены на погрузо-разгрузочные работы
      Подраздел 1.1 Погрузо-разгрузочные работы при автомобильных перевозках
      Подраздел 1.2 Погрузо-разгрузочные работы при железнодорожных перевозках
      Подраздел 1.3 Сметные цены на погрузо-разгрузочные работы для районов крайнего севера и местностей, приравненных к ним
   Раздел 2. Сметные цены на тару, упаковку и реквизит
   Раздел 3. Сметные цены на перевозку грузов автомобильным транспортом
   Раздел 4. Сметные цены на перевозку грузов тракторами с прицепами
   Раздел 5. Сметные цены на перевозку грузов железнодорожным транспортом
III. Приложения
Приложение 2
Приложение 3
Приложение 4
Приложение 5
Приложение 6
Приложение 7
Приложение 8
Приложение 9
Приложение 10
Приложение 11
Приложение 12
Приложение 13
Приложение 14
Приложение 15
Приложение 16
Приложение 17
Разработан: Федеральный центр ценообразования в строительстве и промышленности строительных материалов
Утверждён:30.01.2014 Минстрой России (Russian Federation Minstroy 31/пр)
Издан: ООО Стройинформиздат (2014 г. )
Расположен в:Техническая документация Строительство Нормативные документы Документы Системы нормативных документов в строительстве Нормативные документы по экономике к.81 Ценообразование и сметы Классификатор ISO Нормативные документы по экономике Ценообразование и сметы
Список изменений:
Чем заменён:
Нормативные ссылки:
ФССЦпг 2001ФССЦпг 2001ФССЦпг 2001ФССЦпг 2001ФССЦпг 2001ФССЦпг 2001ФССЦпг 2001ФССЦпг 2001ФССЦпг 2001ФССЦпг 2001ФССЦпг 2001ФССЦпг 2001ФССЦпг 2001ФССЦпг 2001ФССЦпг 2001ФССЦпг 2001ФССЦпг 2001ФССЦпг 2001ФССЦпг 2001ФССЦпг 2001ФССЦпг 2001ФССЦпг 2001ФССЦпг 2001ФССЦпг 2001ФССЦпг 2001ФССЦпг 2001ФССЦпг 2001ФССЦпг 2001ФССЦпг 2001ФССЦпг 2001ФССЦпг 2001ФССЦпг 2001ФССЦпг 2001ФССЦпг 2001ФССЦпг 2001ФССЦпг 2001ФССЦпг 2001ФССЦпг 2001ФССЦпг 2001ФССЦпг 2001ФССЦпг 2001ФССЦпг 2001ФССЦпг 2001ФССЦпг 2001ФССЦпг 2001ФССЦпг 2001ФССЦпг 2001ФССЦпг 2001ФССЦпг 2001ФССЦпг 2001ФССЦпг 2001ФССЦпг 2001ФССЦпг 2001ФССЦпг 2001ФССЦпг 2001ФССЦпг 2001ФССЦпг 2001ФССЦпг 2001ФССЦпг 2001ФССЦпг 2001ФССЦпг 2001ФССЦпг 2001ФССЦпг 2001ФССЦпг 2001ФССЦпг 2001ФССЦпг 2001ФССЦпг 2001ФССЦпг 2001ФССЦпг 2001ФССЦпг 2001ФССЦпг 2001ФССЦпг 2001ФССЦпг 2001ФССЦпг 2001ФССЦпг 2001ФССЦпг 2001ФССЦпг 2001ФССЦпг 2001ФССЦпг 2001ФССЦпг 2001ФССЦпг 2001ФССЦпг 2001ФССЦпг 2001ФССЦпг 2001ФССЦпг 2001ФССЦпг 2001ФССЦпг 2001ФССЦпг 2001ФССЦпг 2001ФССЦпг 2001ФССЦпг 2001ФССЦпг 2001ФССЦпг 2001ФССЦпг 2001ФССЦпг 2001ФССЦпг 2001ФССЦпг 2001ФССЦпг 2001ФССЦпг 2001ФССЦпг 2001ФССЦпг 2001ФССЦпг 2001ФССЦпг 2001ФССЦпг 2001ФССЦпг 2001ФССЦпг 2001ФССЦпг 2001ФССЦпг 2001ФССЦпг 2001ФССЦпг 2001ФССЦпг 2001ФССЦпг 2001ФССЦпг 2001ФССЦпг 2001ФССЦпг 2001ФССЦпг 2001ФССЦпг 2001ФССЦпг 2001ФССЦпг 2001ФССЦпг 2001ФССЦпг 2001ФССЦпг 2001ФССЦпг 2001ФССЦпг 2001ФССЦпг 2001ФССЦпг 2001ФССЦпг 2001ФССЦпг 2001ФССЦпг 2001ФССЦпг 2001ФССЦпг 2001ФССЦпг 2001ФССЦпг 2001ФССЦпг 2001ФССЦпг 2001ФССЦпг 2001

Текстовое изменение № 81-01-2001-И1(9) от 12.11.2014

№ 81-01-2001-И1(9)№ 81-01-2001-И1(9)№ 81-01-2001-И1(9)№ 81-01-2001-И1(9)№ 81-01-2001-И1(9)№ 81-01-2001-И1(9)№ 81-01-2001-И1(9)№ 81-01-2001-И1(9)№ 81-01-2001-И1(9)№ 81-01-2001-И1(9)№ 81-01-2001-И1(9)№ 81-01-2001-И1(9)№ 81-01-2001-И1(9)№ 81-01-2001-И1(9)№ 81-01-2001-И1(9)

Текстовое изменение № 81-01-2001-И2(10) от 11.12.2015

№ 81-01-2001-И2(10)№ 81-01-2001-И2(10)№ 81-01-2001-И2(10)№ 81-01-2001-И2(10)№ 81-01-2001-И2(10)№ 81-01-2001-И2(10)№ 81-01-2001-И2(10)№ 81-01-2001-И2(10)№ 81-01-2001-И2(10)№ 81-01-2001-И2(10)№ 81-01-2001-И2(10)№ 81-01-2001-И2(10)№ 81-01-2001-И2(10)

© 2013 Ёшкин Кот :-) Карта сайта