Информационная система
«Ёшкин Кот»

Скачать базу одним архивом
Скачать обновления
История создания базы
Карта сайта

Скачать ГОСТ 32382-2013 Методы испытаний химической продукции, представляющей опасность для окружающей среды. Гидролиз

Дата актуализации: 10.08.2017

ГОСТ 32382-2013

Методы испытаний химической продукции, представляющей опасность для окружающей среды. Гидролиз

Обозначение: ГОСТ 32382-2013
Обозначение англ: GOST 32382-2013
Статус:действует
Название рус.:Методы испытаний химической продукции, представляющей опасность для окружающей среды. Гидролиз
Название англ.:Testing of chemicals of environmental hazard. Hydrolysis
Дата добавления в базу:01.10.2014
Дата актуализации:05.05.2017
Дата введения:01.08.2014
Область применения:Стандарт устанавливает метод лабораторного анализа для оценки абиотических гидролитических превращений химических веществ в водных системах при значениях pH, встречающихся в окружающей среде (pH 4 – 9).
Оглавление:1 Область применения
2 Термины и определения
3 Общие положения
4 Описание метода исследования
5 Данные и отчетность
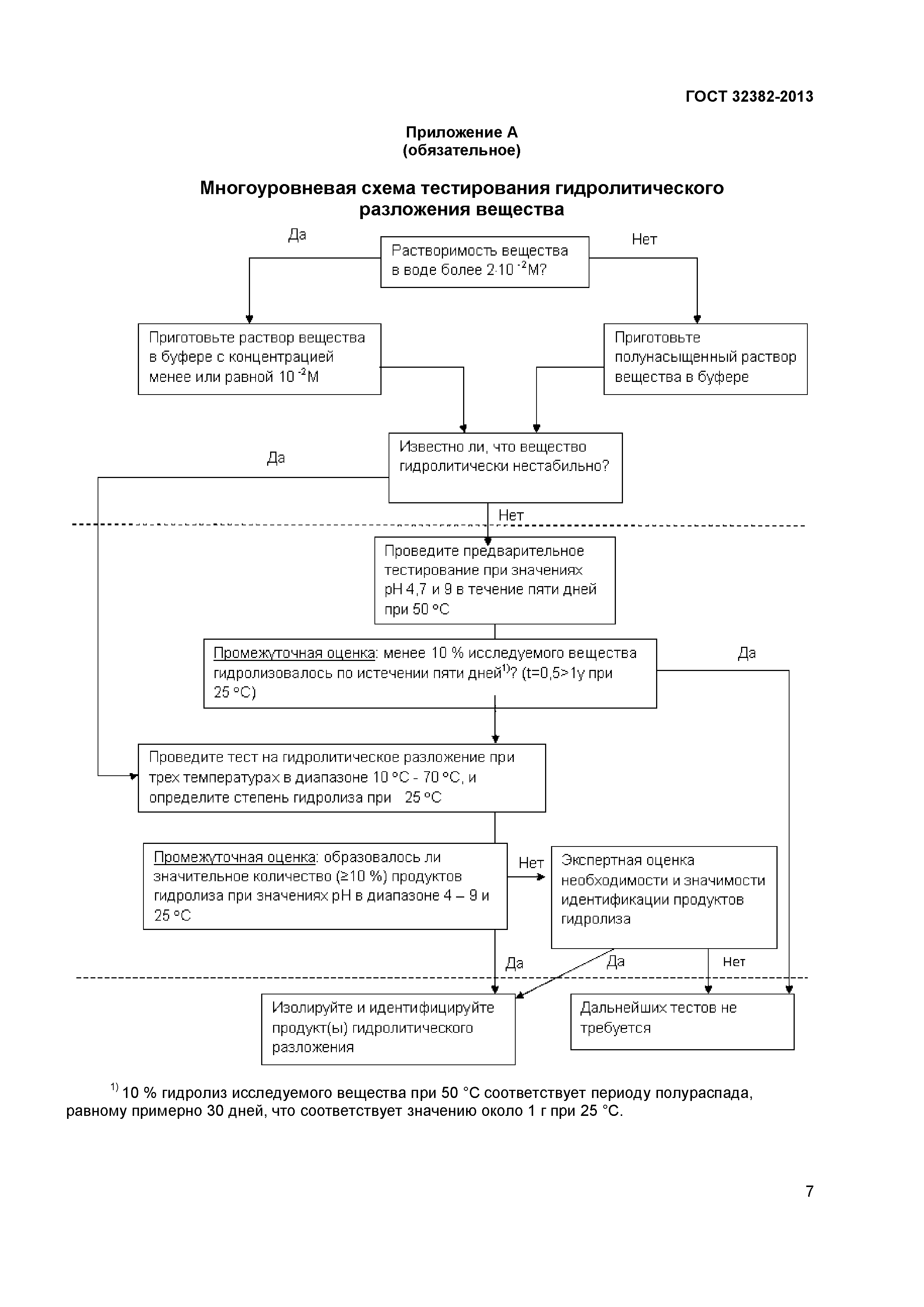
Приложение А (обязательное) Многоуровневая схема тестирования гидролитического разложения веществ
Приложение В (обязательное) Единицы измерения
Приложение С (рекомендуемое) Буферные системы
Библиография
Разработан: ФГУП ВНИЦ СМВ
Утверждён:18.10.2013 Межгосударственный Совет по стандартизации, метрологии и сертификации (Inter-Governmental Council on Standardization, Metrology, and Certification 60-П)
22.11.2013 Федеральное агентство по техническому регулированию и метрологии (789-ст)
Издан: Стандартинформ (2014 г. )
Расположен в:Техническая документация Электроэнергия ХИМИЧЕСКАЯ ПРОМЫШЛЕННОСТЬ Продукты химической промышленности Продукты химической промышленности в целом Экология ХИМИЧЕСКАЯ ПРОМЫШЛЕННОСТЬ Продукты химической промышленности Продукты химической промышленности в целом
ГОСТ 32382-2013ГОСТ 32382-2013ГОСТ 32382-2013ГОСТ 32382-2013ГОСТ 32382-2013ГОСТ 32382-2013ГОСТ 32382-2013ГОСТ 32382-2013ГОСТ 32382-2013ГОСТ 32382-2013ГОСТ 32382-2013ГОСТ 32382-2013ГОСТ 32382-2013ГОСТ 32382-2013ГОСТ 32382-2013ГОСТ 32382-2013ГОСТ 32382-2013ГОСТ 32382-2013

© 2013 Ёшкин Кот :-) Карта сайта