| ||||||||||||||||||||||||||||||||||
Скачать ГОСТ IEC 61140-2012 Защита от поражения электрическим током. Общие положения безопасности установок и оборудованияДата актуализации: 10.08.2017
|
| Обозначение: | ГОСТ IEC 61140-2012 |
| Обозначение англ: | 61140-2012 |
| Статус: | действует |
| Название рус.: | Защита от поражения электрическим током. Общие положения безопасности установок и оборудования |
| Название англ.: | Protection against electric shock. Common aspects for installation and equipment |
| Дата добавления в базу: | 01.10.2014 |
| Дата актуализации: | 05.05.2017 |
| Дата введения: | 01.07.2014 |
| Область применения: | Стандарт устанавливает общие положения по обеспечению защиты от поражения людей и животных электрическим током и включает в себя основные принципы и требования, являющиеся общими для электрических установок, систем и оборудования или необходимыми при их взаимодействии. Стандарт распространяется на электрические установки, системы и оборудование без ограничения напряжения. |
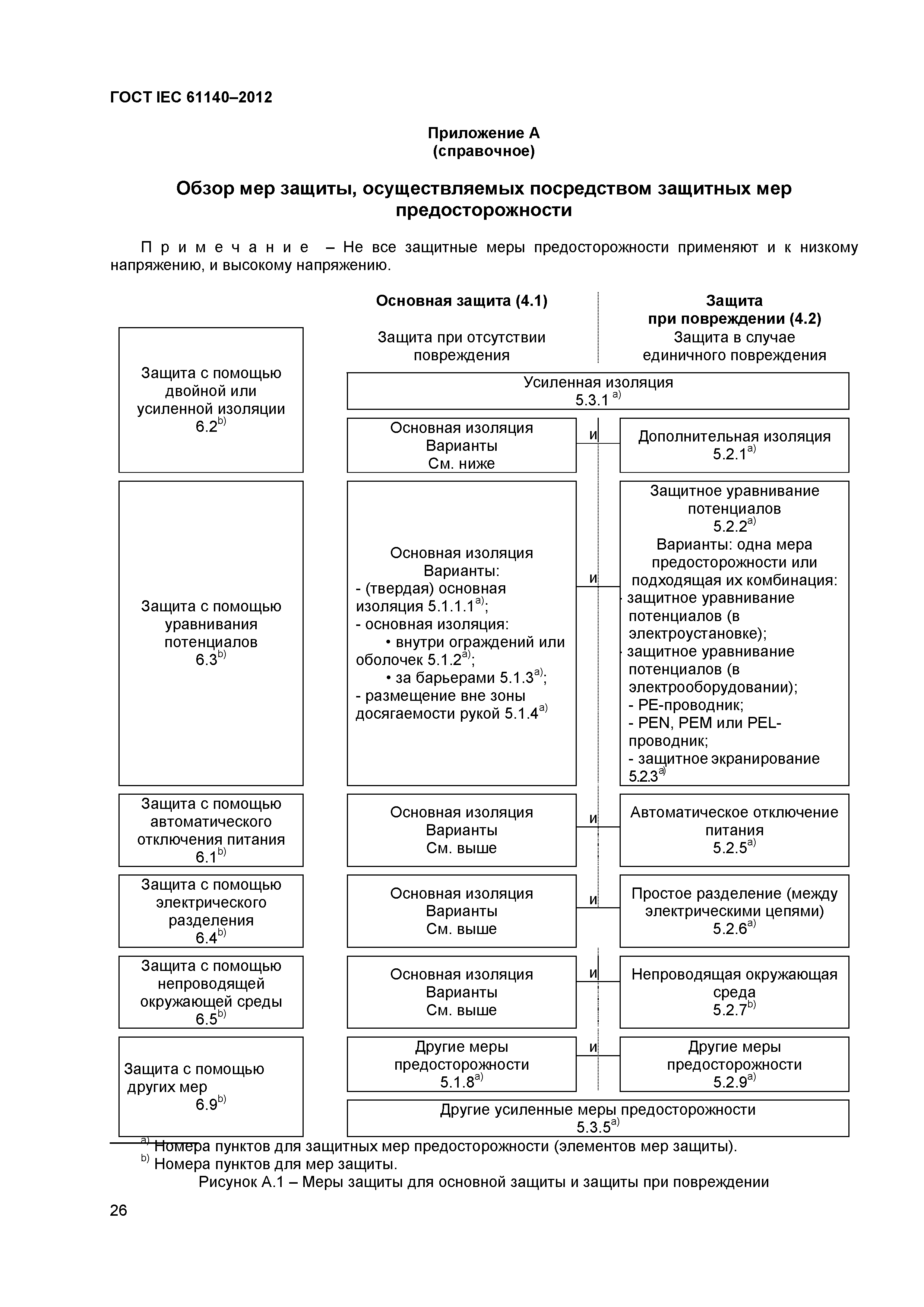
| Оглавление: | 1 Область применения 2 Нормативные ссылки 3 Термины и определения 4 Основополагающее правило защиты от поражения электрическим током 5 Защитные меры предосторожности (элементы мер защиты) 6 Меры защиты 7 Согласование электрического оборудования и защитных мер предосторожности в электрических установках 8 Специальные условия функционирования и эксплуатации Приложение А (справочное) Обзор мер защиты, осуществляемых с помощью защитных мер предосторожности Приложение В (справочное) Значения максимальных пределов тока защитного проводника (переменный ток) для случаев 7.5.5.2 a) и 7.5.5.2 b) |
| Разработан: | ОАО ВНИИС |
| Утверждён: | 03.12.2012 Межгосударственный Совет по стандартизации, метрологии и сертификации (Inter-Governmental Council on Standardization, Metrology, and Certification 54-П) 28.08.2013 Федеральное агентство по техническому регулированию и метрологии (557-ст) |
| Издан: | Стандартинформ (2014 г. ) |
| Расположен в: | |
| Список изменений: |
|


































Текстовое изменение поправка от 18.04.2014