Скачать ГОСТ Р ИСО 9735-3-2012 Электронный обмен данными в управлении, торговле и на транспорте (EDIFACT). Синтаксические правила для прикладного уровня (версия 4, редакция 1). Часть 3. Синтаксические правила, специфичные для интерактивного ЭОДДата актуализации: 10.08.2017 ГОСТ Р ИСО 9735-3-2012
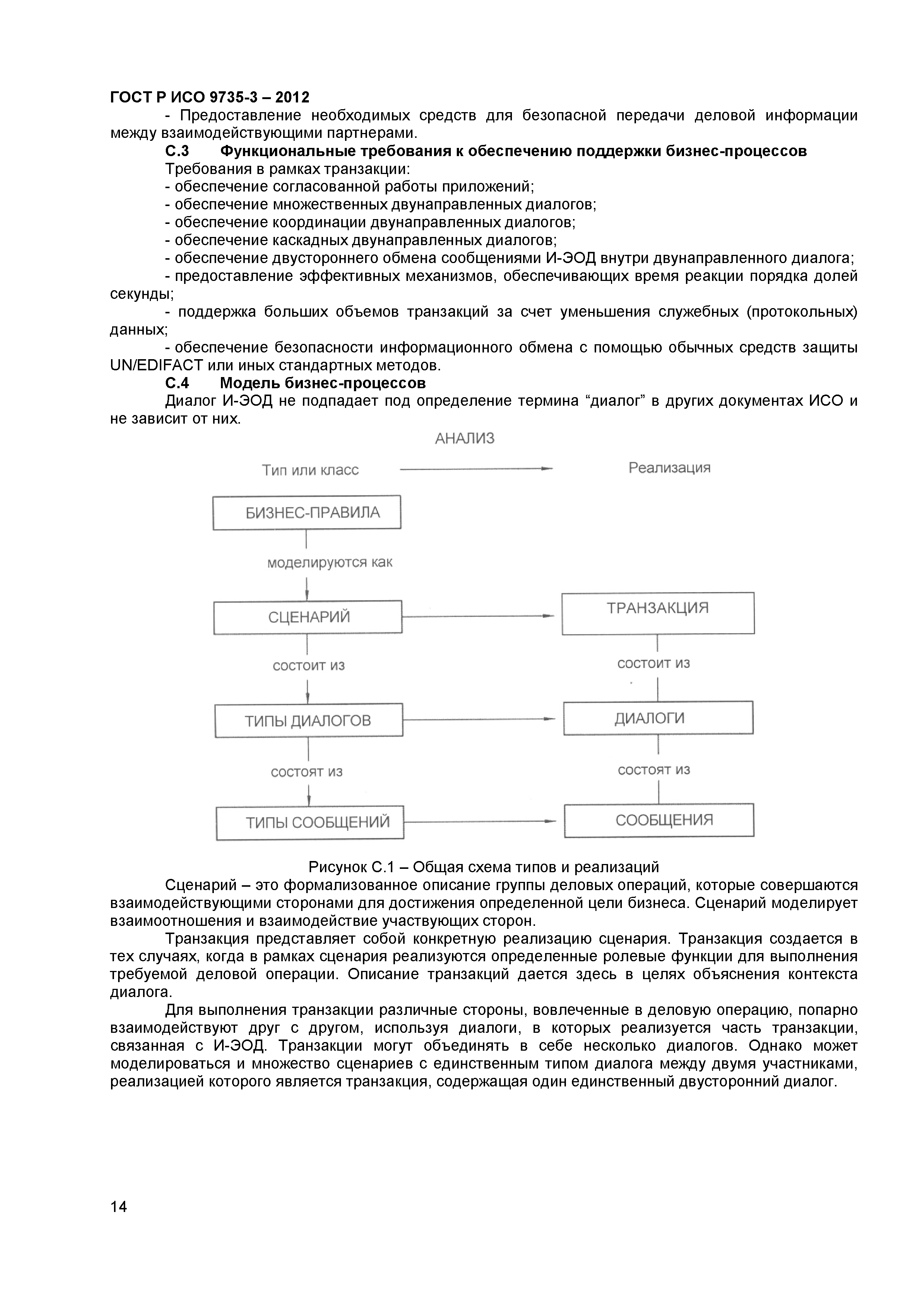
Электронный обмен данными в управлении, торговле и на транспорте (EDIFACT). Синтаксические правила для прикладного уровня (версия 4, редакция 1). Часть 3. Синтаксические правила, специфичные для интерактивного ЭОДОбозначение: | ГОСТ Р ИСО 9735-3-2012 | Обозначение англ: | GOST R ISO 9735-3-2012 | Статус: | введен впервые | Название рус.: | Электронный обмен данными в управлении, торговле и на транспорте (EDIFACT). Синтаксические правила для прикладного уровня (версия 4, редакция 1). Часть 3. Синтаксические правила, специфичные для интерактивного ЭОД | Название англ.: | Electronic data interchange for administration, commerce and transport (EDIFACT). Application level syntax rules (Syntax version number: 4, syntax release number: 1). Part 3. Syntax rules specific to interactive EDI | Дата добавления в базу: | 01.11.2014 | Дата актуализации: | 05.05.2017 | Дата введения: | 01.01.2014 | Область применения: | Стандарт устанавливает синтаксические правила, специально предназначенные для передачи интерактивных сообщений, используемых в обмене между прикладными компьютерными системами. Сведения, касающиеся передачи пакетов в интерактивной среде приведены в ИСО 9735-8. | Оглавление: | 1 Область применения 2 Соответствие стандарту 3 Нормативные ссылки 4 Термины и определения 5 Структура обмена для И-ЭОД 6 Сообщение И-ЭОД в составе транзакции 7 Управление диалогом Приложение А (справочное) Примеры, иллюстрирующие последовательности сегментов Приложение В (справочное) Функции, состояния и события И-ЭОД Приложение С (справочное) Модель процесса И-ЭОД Приложение ДА (справочное) Сведения о соответствии ссылочных международных стандартов ссылочным национальным стандартам Российской Федерации | Разработан: | ААИ ЮНИСКАН/ГС1 Рус ЗАО Проспект
| Утверждён: | 20.11.2012 Федеральное агентство по техническому регулированию и метрологии (973-ст)
| Издан: | Стандартинформ (2014 г. )
| Расположен в: |
| Нормативные ссылки: | |
                    
|