Информационная система
«Ёшкин Кот»

Скачать базу одним архивом
Скачать обновления
История создания базы
Карта сайта

Скачать ГОСТ Р 8.817-2013 Государственная система обеспечения единства измерений. Государственная поверочная схема для средств измерений электрического напряжения стандартизованных грозовых и коммутационных импульсов в диапазоне от 1 до 1000 кВ

Дата актуализации: 10.08.2017

ГОСТ Р 8.817-2013

Государственная система обеспечения единства измерений. Государственная поверочная схема для средств измерений электрического напряжения стандартизованных грозовых и коммутационных импульсов в диапазоне от 1 до 1000 кВ

Обозначение: ГОСТ Р 8.817-2013
Обозначение англ: GOST R 8.817-2013
Статус:действует
Название рус.:Государственная система обеспечения единства измерений. Государственная поверочная схема для средств измерений электрического напряжения стандартизованных грозовых и коммутационных импульсов в диапазоне от 1 до 1000 кВ
Название англ.:State system for ensuring the uniformity of measurements. State verification schedule for measuring instruments of standard lightning and switching impulse electrical voltage in the range from 1 to 1000 kV
Дата добавления в базу:21.05.2015
Дата актуализации:05.05.2017
Дата введения:01.09.2014
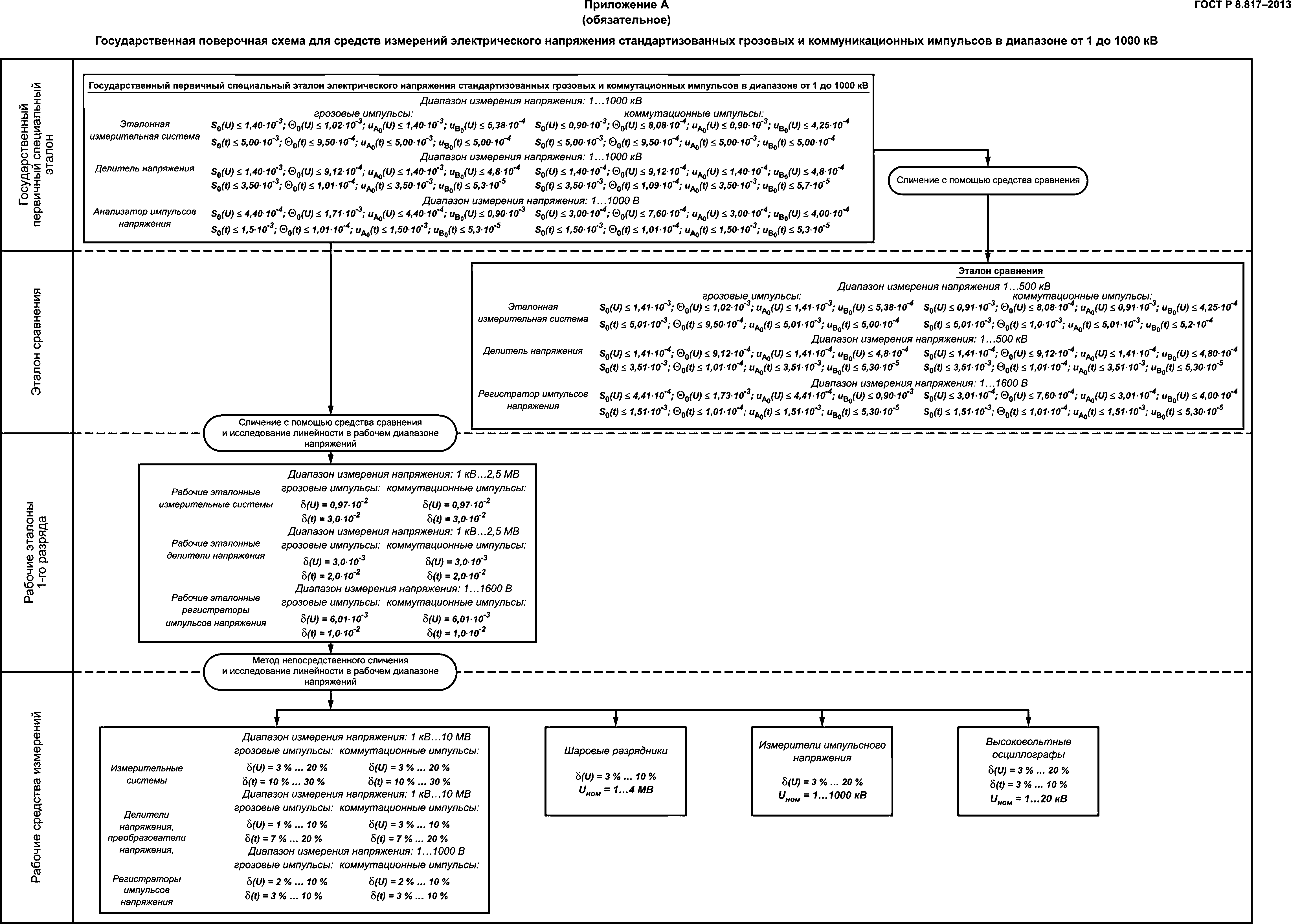
Область применения:Стандарт распространяется на государственную поверочную схему для средств измерений электрического напряжения стандартизованных грозовых импульсов с временем нарастания фронта от 0,8 до 60 мкс и стандартизованных коммутационных импульсов с временем подъема до максимума от 100 мкс до 3,5 мс в динамическом диапазоне от 1 до 1000 кВ, и устанавливает порядок передачи единиц электрического напряжения стандартизованных грозовых и коммутационных импульсов в соответствующем динамическом диапазоне от государственного первичного специального эталона вторичным эталонам и далее рабочим средствам измерений с указанием погрешностей (неопределенностей) и основных методов поверки (калибровки). Воспроизводимые эталоном формы стандартизованных грозовых и коммутационных импульсов, соответствуют следующим стандартам: ГОСТ 1516.2, ГОСТ 17512, ГОСТ 2990, ГОСТ Р 53354, ГОСТ 2933, ГОСТ 26093, ГОСТ Р 51317.4.5, ГОСТ 687, а также другим нормативным документам, распространяющимся на методы испытаний и измерений при импульсном напряжении.
Оглавление:1 Область применения
2 Нормативные ссылки
3 Термины, определения и обозначения
4 Государственный первичный специальный эталон
5 Эталон сравнения
6 Рабочие эталоны 1-го разряда
7 Рабочие средства измерений
Приложение А (обязательное) Государственная поверочная схема для средств измерений электрического напряжения стандартизованных грозовых и коммутационных импульсов в диапазоне от 1 до 1000 кВ
Разработан: ФГУП ВНИИМС
Утверждён:14.08.2013 Федеральное агентство по техническому регулированию и метрологии (488-ст)
Издан: Стандартинформ (2014 г. )
Расположен в:Техническая документация Электроэнергия МЕТРОЛОГИЯ И ИЗМЕРЕНИЯ. ФИЗИЧЕСКИЕ ЯВЛЕНИЯ Метрология и измерения в целом Экология МЕТРОЛОГИЯ И ИЗМЕРЕНИЯ. ФИЗИЧЕСКИЕ ЯВЛЕНИЯ Метрология и измерения в целом Строительство Стандарты Другие государственные стандарты, применяемые в строительстве Метрология и измерения. Физические явления
Нормативные ссылки:
ГОСТ Р 8.817-2013ГОСТ Р 8.817-2013ГОСТ Р 8.817-2013ГОСТ Р 8.817-2013ГОСТ Р 8.817-2013ГОСТ Р 8.817-2013ГОСТ Р 8.817-2013ГОСТ Р 8.817-2013ГОСТ Р 8.817-2013ГОСТ Р 8.817-2013ГОСТ Р 8.817-2013ГОСТ Р 8.817-2013ГОСТ Р 8.817-2013ГОСТ Р 8.817-2013ГОСТ Р 8.817-2013ГОСТ Р 8.817-2013ГОСТ Р 8.817-2013ГОСТ Р 8.817-2013ГОСТ Р 8.817-2013ГОСТ Р 8.817-2013

© 2013 Ёшкин Кот :-) Карта сайта