Информационная система
«Ёшкин Кот»

Скачать базу одним архивом
Скачать обновления
История создания базы
Карта сайта

Скачать ГОСТ Р ИСО 13584-42-2012 Системы промышленной автоматизации и интеграция. Библиотека деталей. Часть 42. Методология описания. Методология структурирования семейств деталей

Дата актуализации: 10.08.2017

ГОСТ Р ИСО 13584-42-2012

Системы промышленной автоматизации и интеграция. Библиотека деталей. Часть 42. Методология описания. Методология структурирования семейств деталей

Обозначение: ГОСТ Р ИСО 13584-42-2012
Обозначение англ: GOST R ISO 13584-42-2012
Статус:действует
Название рус.:Системы промышленной автоматизации и интеграция. Библиотека деталей. Часть 42. Методология описания. Методология структурирования семейств деталей
Название англ.:Industrial automation systems and integration. Parts library. Part 42. Description methodology. Methodology for structuring parts families
Дата добавления в базу:01.10.2014
Дата актуализации:05.05.2017
Дата введения:01.01.2014
Область применения:Стандарт устанавливает принципы определения характеристических классов и свойств деталей, характеризующих деталь независимо от ее определения (идентификатора), данного поставщиком. Правила и руководства настоящего стандарта являются обязательными для технических комитетов по стандартизации, ответственных за создание иерархии стандартных характеристик. Данные правила рекомендуются для поставщиков и пользователей в качестве методологии построения их собственных иерархий.
Оглавление:1 Область применения
2 Нормативные ссылки
3 Термины и определения
4 Аббревиатуры
5 Описание иерархии характеристических классов продукции
   5.1 Соотношения между категориями продукции и онтологиями продукции
   5.2 Соотношения между классами
   5.3 Одновременное описание характеристических классов продукции и свойств продукции
   5.4 Применимые и видимые свойства
   5.5 Назначение иерархии стандартных характеристик
   5.6 использование иерархии стандартных характеристик
   5.7 Свойства со значением, определенным классом
   5.8 Совместимость ИСО13584 и МЭК 61360
6 Правила создания иерархий характеристических классов продукции
   6.1 Выбор иерархии характеристических классов
   6.2 Ассоциация свойств
7 Словарные элементы, описывающие свойства продукции
   7.1 Отображение свойств на общую словарную модель ИСО 13584/МЭК 61360
   7.2 Атрибуты
8 Словарные элементы, описывающие классы продукции
   8.1 Отображение классов на общую словарную модель ИСО 13584/МЭК 61360
   8.2 Атрибуты
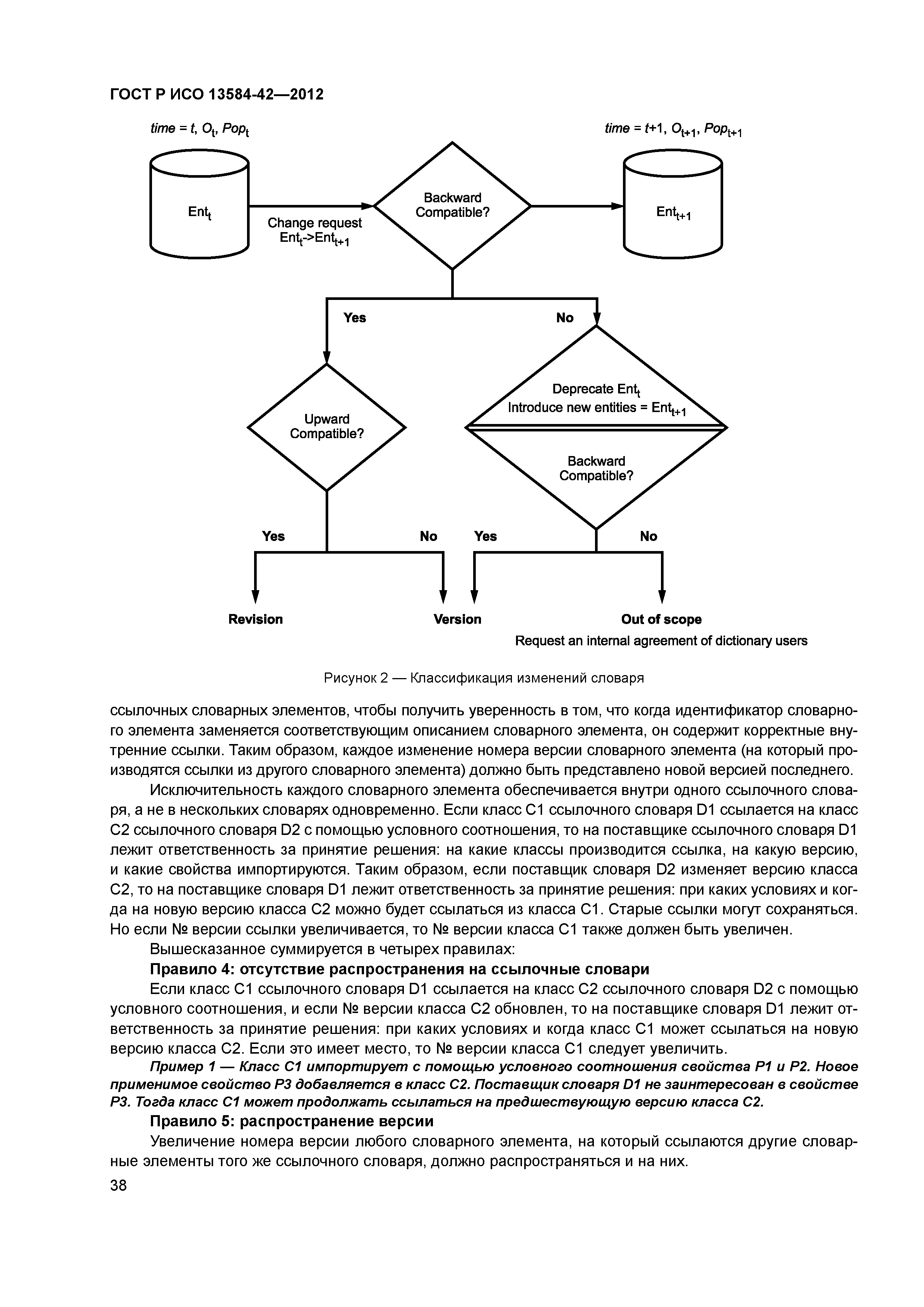
9 Правила управления изменением словаря
   9.1 Принцип онтологической непрерывности
   9.2 Пересмотры и версии
   9.3 исправление ошибок
   9.4 Правила управления изменениями
   9.5 Изменения и атрибуты словаря
   9.6 Ограничения на эволюцию ссылочных словарей
Приложение А (обязательное) Обзор кодов классификации типов неколичественных типов элементов данных (основной класс А)
Приложение В (обязательное) Сущность короткого имени
Приложение С (обязательное) Компьютерно-интерпретируемые листинги
Приложение D (обязательное) Спецификация формата значения
Приложение E (обязательное) Регистрация информационного объекта
Приложение F (справочное) Подмножество общей словарной схемы МЭК/ИСО, задокументированное в настоящей части ИСО 13584
Приложение G (справочное) Обзор основных классов и категорий свойств
Приложение Н (справочное) Обзор кодов классификации типов количественных типов элементов данных
Приложение I (справочное) Диаграмма EXPRESS-G
Приложение J (справочное) Частные словари
Приложение К (справочное) Информационная поддержка практической реализации
Приложение ДА (справочное) Сведения о соответствии ссылочных международных стандартов ссылочным национальным стандартам Российской Федерации
Библиография
Разработан: АНО Международная академия менеджмента и качества бизнеса
Утверждён:29.11.2012 Федеральное агентство по техническому регулированию и метрологии (1704-с)
Издан: Стандартинформ (2014 г. )
Расположен в:Техническая документация Электроэнергия МАШИНОСТРОЕНИЕ Промышленные автоматизированные системы Измерение и контроль производственного процесса Экология МАШИНОСТРОЕНИЕ Промышленные автоматизированные системы Измерение и контроль производственного процесса
Нормативные ссылки:
ГОСТ Р ИСО 13584-42-2012ГОСТ Р ИСО 13584-42-2012ГОСТ Р ИСО 13584-42-2012ГОСТ Р ИСО 13584-42-2012ГОСТ Р ИСО 13584-42-2012ГОСТ Р ИСО 13584-42-2012ГОСТ Р ИСО 13584-42-2012ГОСТ Р ИСО 13584-42-2012ГОСТ Р ИСО 13584-42-2012ГОСТ Р ИСО 13584-42-2012ГОСТ Р ИСО 13584-42-2012ГОСТ Р ИСО 13584-42-2012ГОСТ Р ИСО 13584-42-2012ГОСТ Р ИСО 13584-42-2012ГОСТ Р ИСО 13584-42-2012ГОСТ Р ИСО 13584-42-2012ГОСТ Р ИСО 13584-42-2012ГОСТ Р ИСО 13584-42-2012ГОСТ Р ИСО 13584-42-2012ГОСТ Р ИСО 13584-42-2012ГОСТ Р ИСО 13584-42-2012ГОСТ Р ИСО 13584-42-2012ГОСТ Р ИСО 13584-42-2012ГОСТ Р ИСО 13584-42-2012ГОСТ Р ИСО 13584-42-2012ГОСТ Р ИСО 13584-42-2012ГОСТ Р ИСО 13584-42-2012ГОСТ Р ИСО 13584-42-2012ГОСТ Р ИСО 13584-42-2012ГОСТ Р ИСО 13584-42-2012ГОСТ Р ИСО 13584-42-2012ГОСТ Р ИСО 13584-42-2012ГОСТ Р ИСО 13584-42-2012ГОСТ Р ИСО 13584-42-2012ГОСТ Р ИСО 13584-42-2012ГОСТ Р ИСО 13584-42-2012ГОСТ Р ИСО 13584-42-2012ГОСТ Р ИСО 13584-42-2012ГОСТ Р ИСО 13584-42-2012ГОСТ Р ИСО 13584-42-2012ГОСТ Р ИСО 13584-42-2012ГОСТ Р ИСО 13584-42-2012ГОСТ Р ИСО 13584-42-2012ГОСТ Р ИСО 13584-42-2012ГОСТ Р ИСО 13584-42-2012ГОСТ Р ИСО 13584-42-2012ГОСТ Р ИСО 13584-42-2012ГОСТ Р ИСО 13584-42-2012ГОСТ Р ИСО 13584-42-2012ГОСТ Р ИСО 13584-42-2012ГОСТ Р ИСО 13584-42-2012ГОСТ Р ИСО 13584-42-2012ГОСТ Р ИСО 13584-42-2012ГОСТ Р ИСО 13584-42-2012ГОСТ Р ИСО 13584-42-2012ГОСТ Р ИСО 13584-42-2012ГОСТ Р ИСО 13584-42-2012ГОСТ Р ИСО 13584-42-2012ГОСТ Р ИСО 13584-42-2012ГОСТ Р ИСО 13584-42-2012ГОСТ Р ИСО 13584-42-2012ГОСТ Р ИСО 13584-42-2012ГОСТ Р ИСО 13584-42-2012ГОСТ Р ИСО 13584-42-2012ГОСТ Р ИСО 13584-42-2012ГОСТ Р ИСО 13584-42-2012ГОСТ Р ИСО 13584-42-2012ГОСТ Р ИСО 13584-42-2012ГОСТ Р ИСО 13584-42-2012ГОСТ Р ИСО 13584-42-2012ГОСТ Р ИСО 13584-42-2012ГОСТ Р ИСО 13584-42-2012ГОСТ Р ИСО 13584-42-2012ГОСТ Р ИСО 13584-42-2012ГОСТ Р ИСО 13584-42-2012ГОСТ Р ИСО 13584-42-2012ГОСТ Р ИСО 13584-42-2012ГОСТ Р ИСО 13584-42-2012ГОСТ Р ИСО 13584-42-2012ГОСТ Р ИСО 13584-42-2012ГОСТ Р ИСО 13584-42-2012ГОСТ Р ИСО 13584-42-2012ГОСТ Р ИСО 13584-42-2012ГОСТ Р ИСО 13584-42-2012ГОСТ Р ИСО 13584-42-2012ГОСТ Р ИСО 13584-42-2012ГОСТ Р ИСО 13584-42-2012ГОСТ Р ИСО 13584-42-2012ГОСТ Р ИСО 13584-42-2012ГОСТ Р ИСО 13584-42-2012ГОСТ Р ИСО 13584-42-2012ГОСТ Р ИСО 13584-42-2012ГОСТ Р ИСО 13584-42-2012ГОСТ Р ИСО 13584-42-2012ГОСТ Р ИСО 13584-42-2012ГОСТ Р ИСО 13584-42-2012ГОСТ Р ИСО 13584-42-2012ГОСТ Р ИСО 13584-42-2012ГОСТ Р ИСО 13584-42-2012ГОСТ Р ИСО 13584-42-2012ГОСТ Р ИСО 13584-42-2012ГОСТ Р ИСО 13584-42-2012ГОСТ Р ИСО 13584-42-2012ГОСТ Р ИСО 13584-42-2012ГОСТ Р ИСО 13584-42-2012ГОСТ Р ИСО 13584-42-2012ГОСТ Р ИСО 13584-42-2012ГОСТ Р ИСО 13584-42-2012ГОСТ Р ИСО 13584-42-2012ГОСТ Р ИСО 13584-42-2012ГОСТ Р ИСО 13584-42-2012ГОСТ Р ИСО 13584-42-2012ГОСТ Р ИСО 13584-42-2012ГОСТ Р ИСО 13584-42-2012ГОСТ Р ИСО 13584-42-2012ГОСТ Р ИСО 13584-42-2012ГОСТ Р ИСО 13584-42-2012ГОСТ Р ИСО 13584-42-2012ГОСТ Р ИСО 13584-42-2012ГОСТ Р ИСО 13584-42-2012ГОСТ Р ИСО 13584-42-2012ГОСТ Р ИСО 13584-42-2012ГОСТ Р ИСО 13584-42-2012ГОСТ Р ИСО 13584-42-2012ГОСТ Р ИСО 13584-42-2012ГОСТ Р ИСО 13584-42-2012ГОСТ Р ИСО 13584-42-2012ГОСТ Р ИСО 13584-42-2012ГОСТ Р ИСО 13584-42-2012ГОСТ Р ИСО 13584-42-2012ГОСТ Р ИСО 13584-42-2012ГОСТ Р ИСО 13584-42-2012ГОСТ Р ИСО 13584-42-2012ГОСТ Р ИСО 13584-42-2012ГОСТ Р ИСО 13584-42-2012ГОСТ Р ИСО 13584-42-2012ГОСТ Р ИСО 13584-42-2012ГОСТ Р ИСО 13584-42-2012ГОСТ Р ИСО 13584-42-2012ГОСТ Р ИСО 13584-42-2012ГОСТ Р ИСО 13584-42-2012ГОСТ Р ИСО 13584-42-2012ГОСТ Р ИСО 13584-42-2012ГОСТ Р ИСО 13584-42-2012ГОСТ Р ИСО 13584-42-2012ГОСТ Р ИСО 13584-42-2012ГОСТ Р ИСО 13584-42-2012ГОСТ Р ИСО 13584-42-2012ГОСТ Р ИСО 13584-42-2012ГОСТ Р ИСО 13584-42-2012ГОСТ Р ИСО 13584-42-2012ГОСТ Р ИСО 13584-42-2012ГОСТ Р ИСО 13584-42-2012ГОСТ Р ИСО 13584-42-2012ГОСТ Р ИСО 13584-42-2012ГОСТ Р ИСО 13584-42-2012ГОСТ Р ИСО 13584-42-2012ГОСТ Р ИСО 13584-42-2012ГОСТ Р ИСО 13584-42-2012ГОСТ Р ИСО 13584-42-2012ГОСТ Р ИСО 13584-42-2012ГОСТ Р ИСО 13584-42-2012ГОСТ Р ИСО 13584-42-2012ГОСТ Р ИСО 13584-42-2012ГОСТ Р ИСО 13584-42-2012ГОСТ Р ИСО 13584-42-2012ГОСТ Р ИСО 13584-42-2012ГОСТ Р ИСО 13584-42-2012ГОСТ Р ИСО 13584-42-2012ГОСТ Р ИСО 13584-42-2012ГОСТ Р ИСО 13584-42-2012ГОСТ Р ИСО 13584-42-2012ГОСТ Р ИСО 13584-42-2012ГОСТ Р ИСО 13584-42-2012ГОСТ Р ИСО 13584-42-2012ГОСТ Р ИСО 13584-42-2012ГОСТ Р ИСО 13584-42-2012ГОСТ Р ИСО 13584-42-2012ГОСТ Р ИСО 13584-42-2012ГОСТ Р ИСО 13584-42-2012ГОСТ Р ИСО 13584-42-2012ГОСТ Р ИСО 13584-42-2012ГОСТ Р ИСО 13584-42-2012ГОСТ Р ИСО 13584-42-2012

© 2013 Ёшкин Кот :-) Карта сайта