Информационная система
«Ёшкин Кот»

Скачать базу одним архивом
Скачать обновления
История создания базы
Карта сайта

Скачать ТЕРп Ямало-Ненецкий автономный округ 81-05-07-2001 Часть 7. Теплоэнергетическое оборудование

Дата актуализации: 10.08.2017

ТЕРп Ямало-Ненецкий автономный округ 81-05-07-2001

Часть 7. Теплоэнергетическое оборудование

Обозначение: ТЕРп Ямало-Ненецкий автономный округ 81-05-07-2001
Обозначение англ: 81-05-07-2001
Статус:действует
Название рус.:Часть 7. Теплоэнергетическое оборудование
Дата добавления в базу:01.10.2014
Дата актуализации:05.05.2017
Область применения:Территориальные единичные расценки на пусконаладочные работы предназначены для определения затрат при выполнении пусконаладочных работ и составления на их основе сметных расчетов (смет) на производство указанных работ
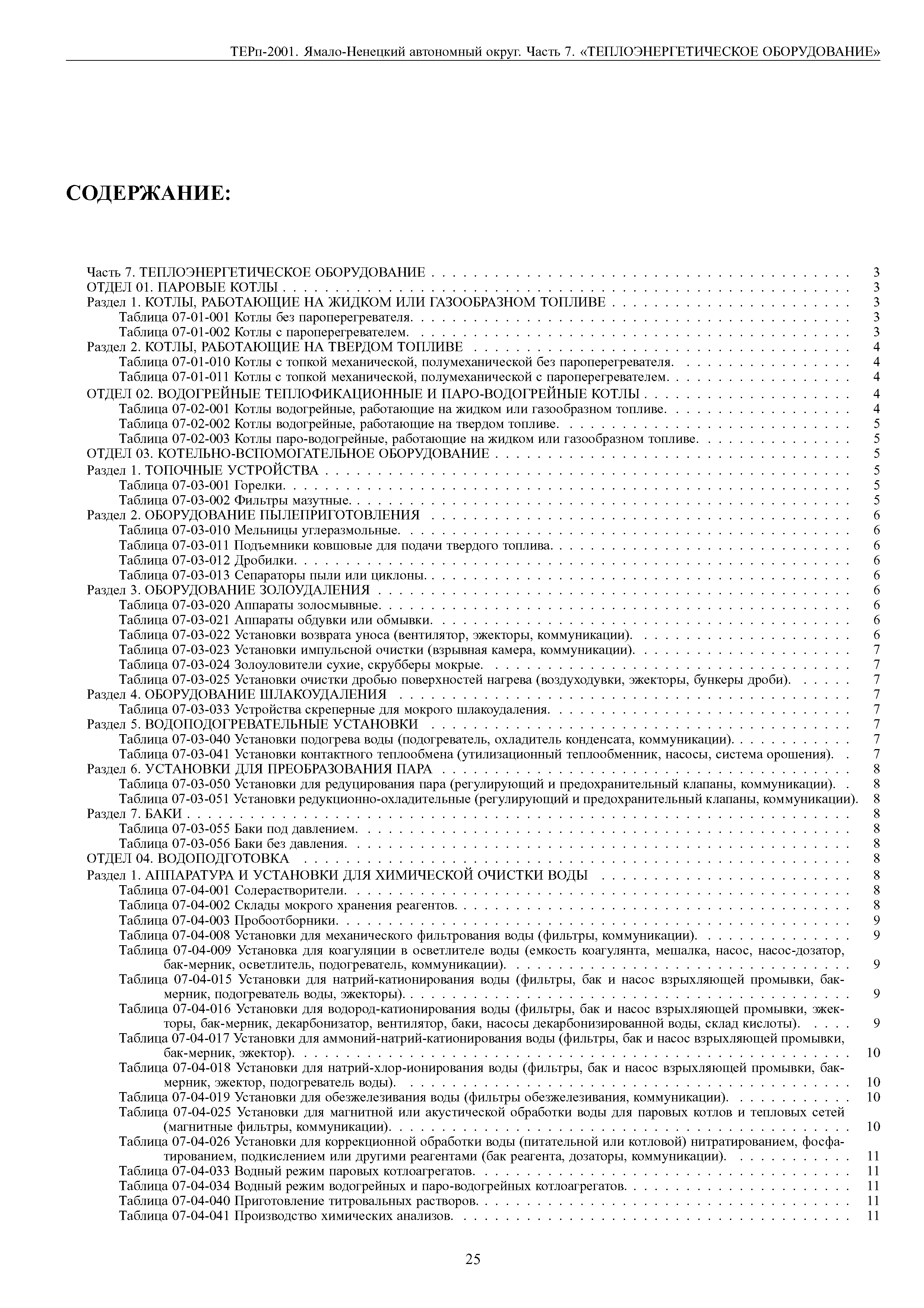
Оглавление:Отдел 01. Паровые котлы
   Раздел 1. Котлы, работающие на жидком или газообразном топливе
      Таблица 07-01-001 Котлы без пароперегревателя
      Таблица 07-01-002 Котлы с пароперегревателем
   Раздел 2. Котлы, работающие на твердом топливе
      Таблица 07-01-010 Котлы с топкой механической, полумеханической без пароперегревателя
      Таблица 07-01-011 Котлы с топкой механической, полумеханической с пароперегревателем
Отдел 02. Водогрейные теплофикационные и паро-водогрейные котлы
   Таблица 07-02-001 Котлы водогрейные, работающие на жидком или газообразном топливе
   Таблица 07-02-002 Котлы водогрейные, работающие на твердом топливе
   Таблица 07-02-003 Котлы паро-водогрейные, работающие на жидком или газообразном топливе
Отдел 03. Котельно-вспомогательное оборудование
   Раздел 1. Топочные устройства
      Таблица 07-03-001 Горелки
      Таблица 07-03-002 Фильтры мазутные
   Раздел 2. Оборудование пылеприготовления
      Таблица 07-03-010 Мельницы углеразмольные
      Таблица 07-03-011 Подъемники ковшовые для подачи твердого топлива
      Таблица 07-03-012 Дробилки
      Таблица 07-03-013 Сепараторы пыли или циклоны
   Раздел 3. Оборудование золоудаления
      Таблица 07-03-020 Аппараты золосмывные
      Таблица 07-03-021 Аппараты обдувки или обмывки
      Таблица 07-03-022 Установки возврата уноса (вентилятор, эжекторы, коммуникации)
      Таблица 07-03-023 Установки импульсной очистки (взрывная камера, коммуникации)
      Таблица 07-03-024 Золоуловители сухие, скрубберы мокрые
      Таблица 07-03-025 Установки очистки дробью поверхностей нагрева (воздуходувки, эжекторы, бункеры дроби)
   Раздел 4. Оборудование шлакоудаления
      Таблица 07-03-033 Устройства скреперные для мокрого шлакоудаления
   Раздел 5. Водоподогревательные установки
      Таблица 07-03-040 Установки подогрева воды (подогреватель, охладитель конденсата, коммуникации)
      Таблица 07-03-041 Установки контактного теплообмена (утилизационный теплообменник, насосы, система орошения).
   Раздел 6. Установки для преобразования пара
      Таблица 07-03-050 Установки для редуцирования пара (регулирующий и предохранительный клапаны, коммуникации).
      Таблица 07-03-051 Установки редукционно-охладительные (регулирующий и предохранительный клапаны, коммуникации)
   Раздел 7. Баки
      Таблица 07-03-055 Баки под давлением
      Таблица 07-03-056 Баки без давления
Отдел 04. Водоподготовка
   Раздел 1. Аппаратура и установки для химической очистки воды
      Таблица 07-04-001 Солерастворители
      Таблица 07-04-002 Склады мокрого хранения реагентов
      Таблица 07-04-003 Пробоотборники
      Таблица 07-04-008 Установки для механического фильтрования воды (фильтры, коммуникации)
      Таблица 07-04-009 Установка для коагуляции в осветлителе воды (емкость коагулянта, мешалка, насос, насос-дозатор, бак-мерник, осветлитель, подогреватель, коммуникации)
      Таблица 07-04-015 Установки для натрий-катионирования воды (фильтры, бак и насос взрыхляющей промывки, бак-мерник, подогреватель воды, эжекторы)
      Таблица 07-04-016 Установки для водород-катионирования воды (фильтры, бак и насос взрыхляющей промывки, эжекторы, бак-мерник, декарбонизатор, вентилятор, баки, насосы декарбонизированной воды, склад кислоты)
      Таблица 07-04-017 Установки для аммоний-натрий-катионирования воды (фильтры, бак и насос взрыхляющей промывки, бак-мерник, эжектор)
      Таблица 07-04-018 Установки для натрий-хлор-ионирования воды (фильтры, бак и насос взрыхляющей промывки, бак-мерник, эжектор, подогреватель воды)
      Таблица 07-04-019 Установки для обезжелезивания воды (фильтры обезжелезивания, коммуникации)
      Таблица 07-04-025 Установки для магнитной или акустической обработки воды для паровых котлов и тепловых сетей (магнитные фильтры, коммуникации)
      Таблица 07-04-026 Установки для коррекционной обработки воды (питательной или котловой) нитратированием, фосфатированием, подкислением или другими реагентами (бак реагента, дозаторы, коммуникации)
      Таблица 07-04-033 Водный режим паровых котлоагрегатов
      Таблица 07-04-034 Водный режим водогрейных и паро-водогрейных котлоагрегатов
      Таблица 07-04-040 Приготовление титровальных растворов
      Таблица 07-04-041 Производство химических анализов
      Таблица 07-04-045 Установки для очистки конденсата от смазочных масел или мазута (фильтры, баки, насосы конденсата, охладитель)
   Раздел 2. Предпусковая (эксплуатационная) очистка паровых, водогрейных и паро-водогрейных котлов
      Таблица 07-04-055 Химическая промывка внутренних поверхностей нагрева паровых котлов
      Таблица 07-04-056 Химическая промывка внутренних поверхностей нагрева водогрейных и паро-водогрейных котлов.
   Раздел 3. Аппаратура для термической обработки воды и деаэрационно-питательные установки
      Таблица 07-04-062 Установки сепарационные и расширители непрерывной продувки (сепаратор, теплообменник, расширитель непрерывной продувки объёмом до 7,5 м3, коммуникации)
      Таблица 07-04-063 Установки деаэрационные атмосферного или вакуумного типа (колонка, бак-аккумулятор, гидрозатвор, охладитель выпара, охладитель деаэрированной воды, эжектор, вакуум-насосы, баки рабочей воды, насосы рабочей воды)
Отдел 05. Топливное хозяйство
   Раздел 1. Топливный склад
      Таблица 07-05-001 Установки топливного склада для приема, подготовки и хранения жидкого топлива (приемная емкость, резервуары, перекачивающие рециркуляционные насосы, эстакады слива, подогреватели рециркуляционного контура, коммуникации, фильтры грубой очистки)
      Таблица 07-05-002 Установки для приема, подготовки и хранения жидких присадок (емкости, сливное устройство, подогреватель, насосы, коммуникации)
   Раздел 2. Топливоподающие установки
      Таблица 07-05-007 Установки подачи газообразного топлива (регулятор давления, фильтр, предохранительные устройства)
      Таблица 07-05-008 Установки подачи жидкого топлива из склада в котельную (подогреватели, насосы, фильтры, коммуникации)
      Таблица 07-05-009 Установки очистки, взвешивания и подачи твердого топлива из склада в котельную (конвейер, питатели, мигалки, сепаратор, сбрасыватель)
Отдел 06. Газовоздушный тракт
   Раздел 1. Устройства для сбора и выброса дымовых газов
      Таблица 07-06-001 Борова кирпичные
      Таблица 07-06-002 Трубы дымовые
   Раздел 2. Вентиляторы и дымососы
      Таблица 07-06-007 Вентиляторы дутьевые, мельничные или специальные
      Таблица 07-06-008 Дымососы одно- и двусторонние
Отдел 07. Общекотельные и инженерные коммуникации
   Раздел 1. Общекотельные коммуникации
      Таблица 07-07-001 Системы обеспечения сырой и химочищенной водой котельной с паровыми, водогрейными и пароводогрейными котлами, включая насосы и подогреватели исходной воды, трубопроводы сырой и химочищенной воды
      Таблица 07-07-002 Системы технологического пара и собственных нужд котельной с паровыми котлами, включая главный паровой коллектор и паропроводы от него
      Таблица 07-07-003 Системы сетевой прямой и обратной воды котельной, включая трубопроводы, арматуру, фильтр грязевик, узел регулирования внутри котельной
      Таблица 07-07-004 Системы горячего водоснабжения (ГВС), включая трубопроводы, узел регулирования
      Таблица 07-07-005 Системы хозяйственно-противопожарного водоснабжения котельной
      Таблица 07-07-006 Системы снабжения газообразным или жидким топливом котельной, включая газопроводы от ГРУ до котлов, мазутопроводы от МНС до котлов
   Раздел 2. Наружные коммуникации
      Таблица 07-07-012 Системы обеспечения котельной сырой водой, включая источник питания, отстойник и перекачивающие устройства
      Таблица 07-07-013 Системы технологической канализации котельной
Отдел 08. Режимно-наладочные испытания
   Раздел 1. Паровые, водогрейные и пароводогрейные котлы
      Таблица 07-08-001 Котлы паровые, работающие на жидком или газообразном топливе, без пароперегревателя
      Таблица 07-08-002 Котлы паровые, работающие на жидком или газообразном топливе, с пароперегревателем
      Таблица 07-08-003 Котлы водогрейные, работающие на жидком или газообразном топливе
      Таблица 07-08-004 Котлы паро-водогрейные, работающие на жидком или газообразном топливе
   Раздел 2. Установки для химической очистки воды
      Таблица 07-08-010 Установки для натрий-катионирования воды (фильтры, бак и насос взрыхляющей промывки, бак-мерник, подогреватель воды, эжекторы)
      Таблица 07-08-011 Установки для водород-катионирования воды (фильтры, бак и насос взрыхляющей промывки, эжекторы, вентилятор, баки, насосы декарбонизированной воды, склад кислоты)
      Таблица 07-08-012 Установки для аммоний-натрий-катионирования воды (фильтры, бак и насос взрыхляющей промывки, бак-мерник, эжектор)
      Таблица 07-08-013 Установки для натрий-хлор-ионирования воды (фильтры, бак и насос взрыхляющей промывки, бак-мерник, подогреватель воды, эжекторы)
      Таблица 07-08-014 Установки для обезжелезивания воды (фильтры обезжелезивания, коммуникации)
   Раздел 3. Тяго-дутьевые механизмы
      Таблица 07-08-017 Вентиляторы дутьевые мельничные или специальные
   Раздел 4. Определение удельного расхода топлива на единицу отпускной теплоэнергии
      Таблица 07-08-020 Котельные с паровыми, водогрейными, с паровыми и водогрейными котлами
Отдел 09. Испытание паровых, водогрейных и пароводогрейных котлов
      Таблица 07-09-001 Испытание паровых котлов
      Таблица 07-09-002 Испытание водогрейных и паро-водогрейных котлов
Отдел 10. Системы централизованного теплоснабжения
   Раздел 1. Наружные водяные тепловые сети
      Таблица 07-10-001 Определение гидравлических характеристик водяных тепловых сетей
      Таблица 07-10-002 Разработка мероприятий по регулировке водяных тепловых сетей
      Таблица 07-10-003 Определение готовности водяных тепловых сетей к регулировке
      Таблица 07-10-004 Техническое руководство по пуску водяных тепловых сетей
      Таблица 07-10-005 Регулировка водяных тепловых сетей
   Раздел 2. Внутренние водяные теплопотребляющие системы зданий
      Таблица 07-10-010 Разработка мероприятий по регулировке теплопотребляющих систем зданий
      Таблица 07-10-011 Определение готовности к регулировке теплопотребляющих систем зданий
      Таблица 07-10-012 Регулировка теплопотребляющих систем зданий
Разработан: Сибирский центр ценообразования в строительстве, промышленности и энергетике
Утверждён:13.10.2011 Правительство Ямало-Ненецкого автономного округа (755-п)
Принят:05.07.2011 Министерство регионального развития Российской Федерации (17636-АП/08)
Расположен в:Техническая документация Строительство Нормативные документы Нормативные документы субъектов Российской Федерации Нормативные документы Ямало-Ненецкого автономного округа
ТЕРп Ямало-Ненецкий автономный округ 81-05-07-2001ТЕРп Ямало-Ненецкий автономный округ 81-05-07-2001ТЕРп Ямало-Ненецкий автономный округ 81-05-07-2001ТЕРп Ямало-Ненецкий автономный округ 81-05-07-2001ТЕРп Ямало-Ненецкий автономный округ 81-05-07-2001ТЕРп Ямало-Ненецкий автономный округ 81-05-07-2001ТЕРп Ямало-Ненецкий автономный округ 81-05-07-2001ТЕРп Ямало-Ненецкий автономный округ 81-05-07-2001ТЕРп Ямало-Ненецкий автономный округ 81-05-07-2001ТЕРп Ямало-Ненецкий автономный округ 81-05-07-2001ТЕРп Ямало-Ненецкий автономный округ 81-05-07-2001ТЕРп Ямало-Ненецкий автономный округ 81-05-07-2001ТЕРп Ямало-Ненецкий автономный округ 81-05-07-2001ТЕРп Ямало-Ненецкий автономный округ 81-05-07-2001ТЕРп Ямало-Ненецкий автономный округ 81-05-07-2001ТЕРп Ямало-Ненецкий автономный округ 81-05-07-2001ТЕРп Ямало-Ненецкий автономный округ 81-05-07-2001ТЕРп Ямало-Ненецкий автономный округ 81-05-07-2001ТЕРп Ямало-Ненецкий автономный округ 81-05-07-2001ТЕРп Ямало-Ненецкий автономный округ 81-05-07-2001ТЕРп Ямало-Ненецкий автономный округ 81-05-07-2001ТЕРп Ямало-Ненецкий автономный округ 81-05-07-2001ТЕРп Ямало-Ненецкий автономный округ 81-05-07-2001ТЕРп Ямало-Ненецкий автономный округ 81-05-07-2001ТЕРп Ямало-Ненецкий автономный округ 81-05-07-2001ТЕРп Ямало-Ненецкий автономный округ 81-05-07-2001ТЕРп Ямало-Ненецкий автономный округ 81-05-07-2001ТЕРп Ямало-Ненецкий автономный округ 81-05-07-2001

© 2013 Ёшкин Кот :-) Карта сайта