Информационная система
«Ёшкин Кот»

Скачать базу одним архивом
Скачать обновления
История создания базы
Карта сайта

Скачать ГОСТ Р 55343-2012 Системы промышленной автоматизации и интеграция. Библиотека деталей. Часть 35. Ресурсы практической реализации. Интерфейс электронных таблиц библиотеки деталей

Дата актуализации: 10.08.2017

ГОСТ Р 55343-2012

Системы промышленной автоматизации и интеграция. Библиотека деталей. Часть 35. Ресурсы практической реализации. Интерфейс электронных таблиц библиотеки деталей

Обозначение: ГОСТ Р 55343-2012
Обозначение англ: GOST R 55343-2012
Статус:введен впервые
Название рус.:Системы промышленной автоматизации и интеграция. Библиотека деталей. Часть 35. Ресурсы практической реализации. Интерфейс электронных таблиц библиотеки деталей
Название англ.:Industrial automation systems and integration. Parts library. Part 35. Implementation resources. Spreadsheet interface for parts library
Дата добавления в базу:21.05.2015
Дата актуализации:05.05.2017
Дата введения:01.01.2014
Область применения:В стандарте определена структура стандартного интерфейса электронных таблиц библиотеки деталей, используемого для определения (обмена) ссылочного словаря или для определения и обмена элементами данных, принадлежащими некоторому классу библиотек. В стандарте также установлено стандартное взаимное отображение данных, содержащих словарь, представленный в формате электронных таблиц, удовлетворяющих требованиям стандарта, и данных, представленных по ИСО 13584-25 и соответствующих требованиям модели EXPRESS для словарного обмена.
Оглавление:1 Область применения
2 Нормативные ссылки
3 Термины и определения
4 Сценарий использования интерфейса электронных таблиц
   4.1 Представление словаря или библиотеки в виде электронной таблицы
   4.2 Сценарий использования формата словарного пакетирования
   4.3 Сценарий применения формата библиотечного пакетирования
5 Структура интерфейса электронной таблицы
   5.1 Метод использования мета-словаря
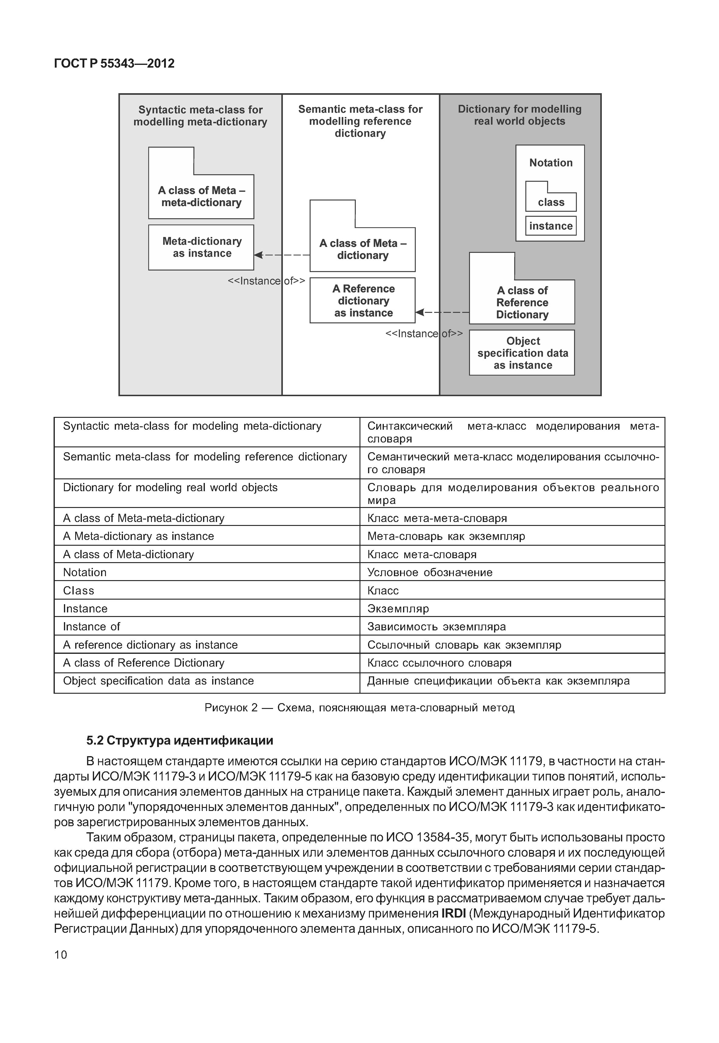
   5.2 Структура идентификации
   5.3 Структура страницы пакетирования
   5.4 Расширение имени файла
   5.5 Библиотечное использование формата пакетирования
   5.6 Раздел заголовков
   5.7 Столбец инструкций
   5.8 Раздел элементов данных
   5.9 Словарное использование формата пакетирования
6 Механизм структурного расширения
   6.1 Общие сведения
   6.2 Пример
7 Классы соответствия для пакетирования электронных таблиц
Приложение А (справочное) Регистрация информационного объекта
Приложение В (справочное) Файл мета-словаря
Приложение C (справочное) Резервные слова
Приложение D (справочное) Пример описания типа данных
Приложение Е (справочное) Мета-свойства нормативного мета-класса
Приложение F (справочное) Мета-свойства мета-классов по выбору
Приложение G (справочное) Отображение мета-класса свойств на DIN 4002
Приложение Н (справочное) Обновление мета-словаря
Приложение ДА (справочное) Сведения о соответствии ссылочных международных стандартов национальным стандартам Российской Федерации
Разработан: АНО Международная академия менеджмента и качества бизнеса
Утверждён:29.11.2012 Федеральное агентство по техническому регулированию и метрологии (1703-ст)
Издан: Стандартинформ (2014 г. )
Расположен в:Техническая документация Электроэнергия МАШИНОСТРОЕНИЕ Промышленные автоматизированные системы Измерение и контроль производственного процесса Экология МАШИНОСТРОЕНИЕ Промышленные автоматизированные системы Измерение и контроль производственного процесса
Нормативные ссылки:
ГОСТ Р 55343-2012ГОСТ Р 55343-2012ГОСТ Р 55343-2012ГОСТ Р 55343-2012ГОСТ Р 55343-2012ГОСТ Р 55343-2012ГОСТ Р 55343-2012ГОСТ Р 55343-2012ГОСТ Р 55343-2012ГОСТ Р 55343-2012ГОСТ Р 55343-2012ГОСТ Р 55343-2012ГОСТ Р 55343-2012ГОСТ Р 55343-2012ГОСТ Р 55343-2012ГОСТ Р 55343-2012ГОСТ Р 55343-2012ГОСТ Р 55343-2012ГОСТ Р 55343-2012ГОСТ Р 55343-2012ГОСТ Р 55343-2012ГОСТ Р 55343-2012ГОСТ Р 55343-2012ГОСТ Р 55343-2012ГОСТ Р 55343-2012ГОСТ Р 55343-2012ГОСТ Р 55343-2012ГОСТ Р 55343-2012ГОСТ Р 55343-2012ГОСТ Р 55343-2012ГОСТ Р 55343-2012ГОСТ Р 55343-2012ГОСТ Р 55343-2012ГОСТ Р 55343-2012ГОСТ Р 55343-2012ГОСТ Р 55343-2012ГОСТ Р 55343-2012ГОСТ Р 55343-2012ГОСТ Р 55343-2012ГОСТ Р 55343-2012ГОСТ Р 55343-2012ГОСТ Р 55343-2012ГОСТ Р 55343-2012ГОСТ Р 55343-2012ГОСТ Р 55343-2012ГОСТ Р 55343-2012ГОСТ Р 55343-2012ГОСТ Р 55343-2012ГОСТ Р 55343-2012ГОСТ Р 55343-2012ГОСТ Р 55343-2012ГОСТ Р 55343-2012ГОСТ Р 55343-2012ГОСТ Р 55343-2012ГОСТ Р 55343-2012ГОСТ Р 55343-2012ГОСТ Р 55343-2012ГОСТ Р 55343-2012ГОСТ Р 55343-2012ГОСТ Р 55343-2012ГОСТ Р 55343-2012ГОСТ Р 55343-2012ГОСТ Р 55343-2012ГОСТ Р 55343-2012ГОСТ Р 55343-2012ГОСТ Р 55343-2012ГОСТ Р 55343-2012ГОСТ Р 55343-2012ГОСТ Р 55343-2012ГОСТ Р 55343-2012ГОСТ Р 55343-2012ГОСТ Р 55343-2012ГОСТ Р 55343-2012ГОСТ Р 55343-2012ГОСТ Р 55343-2012ГОСТ Р 55343-2012ГОСТ Р 55343-2012ГОСТ Р 55343-2012ГОСТ Р 55343-2012ГОСТ Р 55343-2012ГОСТ Р 55343-2012ГОСТ Р 55343-2012ГОСТ Р 55343-2012ГОСТ Р 55343-2012ГОСТ Р 55343-2012ГОСТ Р 55343-2012ГОСТ Р 55343-2012ГОСТ Р 55343-2012ГОСТ Р 55343-2012ГОСТ Р 55343-2012ГОСТ Р 55343-2012ГОСТ Р 55343-2012ГОСТ Р 55343-2012ГОСТ Р 55343-2012ГОСТ Р 55343-2012ГОСТ Р 55343-2012ГОСТ Р 55343-2012ГОСТ Р 55343-2012ГОСТ Р 55343-2012ГОСТ Р 55343-2012ГОСТ Р 55343-2012ГОСТ Р 55343-2012ГОСТ Р 55343-2012ГОСТ Р 55343-2012ГОСТ Р 55343-2012ГОСТ Р 55343-2012

© 2013 Ёшкин Кот :-) Карта сайта