Информационная система
«Ёшкин Кот»

Скачать базу одним архивом
Скачать обновления
История создания базы
Карта сайта

Скачать ГОСТ Р 55341-2012 Представление и обмен данными по режущим инструментам. Часть 100. Определения, принципы и методы использования ссылочного словаря

Дата актуализации: 10.08.2017

ГОСТ Р 55341-2012

Представление и обмен данными по режущим инструментам. Часть 100. Определения, принципы и методы использования ссылочного словаря

Обозначение: ГОСТ Р 55341-2012
Обозначение англ: GOST R 55341-2012
Статус:введен впервые
Название рус.:Представление и обмен данными по режущим инструментам. Часть 100. Определения, принципы и методы использования ссылочного словаря
Название англ.:Cutting tool data representation and exchange. Part 100. Definitions, principles and methods for reference dictionaries
Дата добавления в базу:21.05.2015
Дата актуализации:05.05.2017
Дата введения:01.01.2014
Область применения:Стандарт устанавливает принципы и методы создания однозначных идентификаций, определений элементов и свойств режущих инструментов для электронных словарей, используемых для ссылок информационными моделями, указанными в ИСО 13399-1. Стандарт распространяется на спецификации: - типов элементов данных, их идентификационных, семантических и значимых атрибутов; - классов элементов, их идентификационных и семантических атрибутов; - классов особенностей, их идентификационных и семантических атрибутов. Стандарт не распространяется на: - информационные модели режущих инструментов; - классификации и определения элементов и типов элементов данных режущих инструментов; - ассоциации между свойствами и элементами в заданной классификации.
Оглавление:1 Область применения
2 Нормативные ссылки
3 Термины и определения
4 Атрибуты спецификации типов элементов данных
   4.1 Общие сведения
   4.2 Информационная модель типов элементов данных
   4.3 Типы элементов данных — Идентификационные атрибуты
   4.4 Типы элементов данных — Семантические атрибуты
   4.5 Типы элементов данных — Атрибуты значений
   4.6 Атрибут соотношений
5 Спецификация класса
   5.1 Общие положения
   5.2 Класс атрибутов спецификации
   5.3 Информационная модель класса
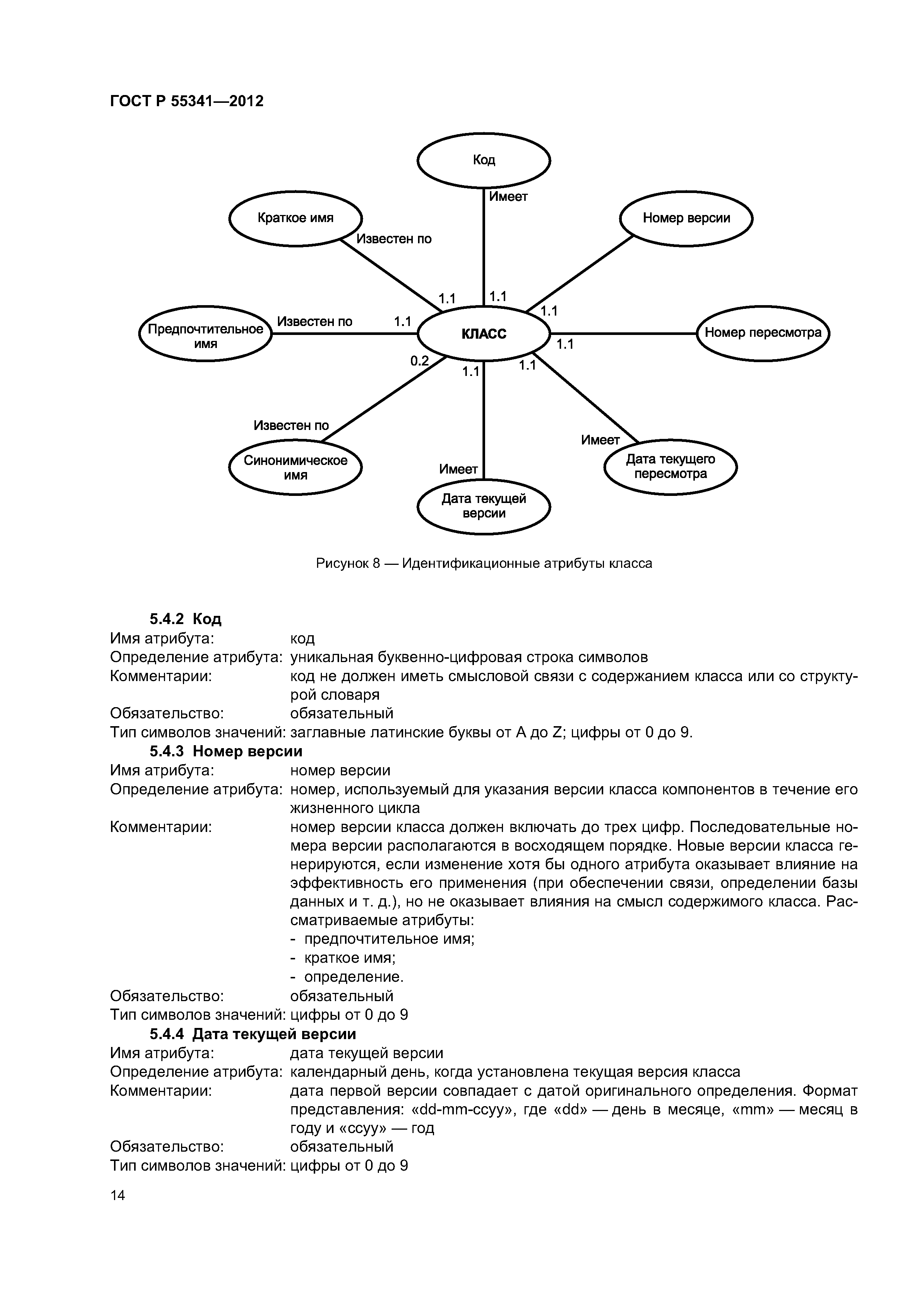
   5.4 Класс — Идентификационные атрибуты
   5.5 Класс — Семантические атрибуты
   5.6 Внешняя идентификация классов и свойств
Приложение А (справочное) Регистрация информационного объекта
Приложение В (справочное) Опыт разработки ссылочного словаря ИСО 13399
Приложение С (справочное) Иллюстрация классов и свойств
Приложение D (справочное) Процедура текущего обслуживания словарей
Приложение Е (справочное) Определение особенностей интерфейса соединения
Приложение ДА (справочное) Сведения о соответствии ссылочных международных стандартов национальным стандартам Российской Федерации
Разработан: АНО Международная академия менеджмента и качества бизнеса
Утверждён:29.11.2012 Федеральное агентство по техническому регулированию и метрологии (1699-ст)
Издан: Стандартинформ (2014 г. )
Расположен в:Техническая документация Электроэнергия ИНФОРМАЦИОННЫЕ ТЕХНОЛОГИИ. МАШИНЫ КОНТОРСКИЕ Применение информационных технологий Применение информационных технологий в промышленности МАШИНОСТРОЕНИЕ Режущие инструменты Режущие инструменты в целом Экология ИНФОРМАЦИОННЫЕ ТЕХНОЛОГИИ. МАШИНЫ КОНТОРСКИЕ Применение информационных технологий Применение информационных технологий в промышленности МАШИНОСТРОЕНИЕ Режущие инструменты Режущие инструменты в целом
Нормативные ссылки:
ГОСТ Р 55341-2012ГОСТ Р 55341-2012ГОСТ Р 55341-2012ГОСТ Р 55341-2012ГОСТ Р 55341-2012ГОСТ Р 55341-2012ГОСТ Р 55341-2012ГОСТ Р 55341-2012ГОСТ Р 55341-2012ГОСТ Р 55341-2012ГОСТ Р 55341-2012ГОСТ Р 55341-2012ГОСТ Р 55341-2012ГОСТ Р 55341-2012ГОСТ Р 55341-2012ГОСТ Р 55341-2012ГОСТ Р 55341-2012ГОСТ Р 55341-2012ГОСТ Р 55341-2012ГОСТ Р 55341-2012ГОСТ Р 55341-2012ГОСТ Р 55341-2012ГОСТ Р 55341-2012ГОСТ Р 55341-2012ГОСТ Р 55341-2012ГОСТ Р 55341-2012ГОСТ Р 55341-2012ГОСТ Р 55341-2012ГОСТ Р 55341-2012ГОСТ Р 55341-2012ГОСТ Р 55341-2012ГОСТ Р 55341-2012ГОСТ Р 55341-2012ГОСТ Р 55341-2012ГОСТ Р 55341-2012ГОСТ Р 55341-2012ГОСТ Р 55341-2012ГОСТ Р 55341-2012ГОСТ Р 55341-2012ГОСТ Р 55341-2012ГОСТ Р 55341-2012ГОСТ Р 55341-2012ГОСТ Р 55341-2012ГОСТ Р 55341-2012ГОСТ Р 55341-2012ГОСТ Р 55341-2012ГОСТ Р 55341-2012ГОСТ Р 55341-2012ГОСТ Р 55341-2012ГОСТ Р 55341-2012

© 2013 Ёшкин Кот :-) Карта сайта