Скачать ТЕРм Ямало-Ненецкий автономный округ 28-2001 Часть 28. Оборудование предприятий пищевой промышленностиДата актуализации: 10.08.2017 ТЕРм Ямало-Ненецкий автономный округ 28-2001
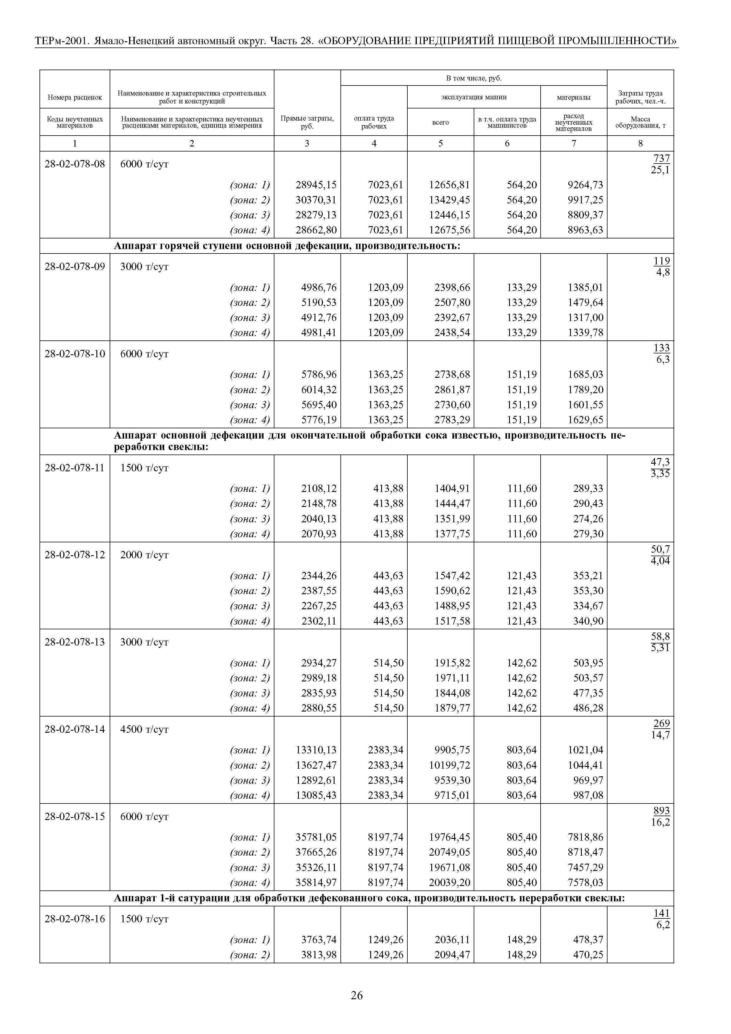
Часть 28. Оборудование предприятий пищевой промышленностиОбозначение: | ТЕРм Ямало-Ненецкий автономный округ 28-2001 | Обозначение англ: | 28-2001 | Статус: | действует | Название рус.: | Часть 28. Оборудование предприятий пищевой промышленности | Дата добавления в базу: | 01.10.2014 | Дата актуализации: | 05.05.2017 | Область применения: | Территориальные единичные расценки на монтаж оборудования предназначены для определения затрат при выполнении монтажных работ и составления на их основе сметных расчетов (смет) на производство указанных работ. | Оглавление: | Отдел 01. Оборудование предприятий хлебопекарной промышленности Раздел 1. Оборудование для бестарного и тарного хранения муки и для внутризаводского транспорта Таблица 28-01-001 Приемные устройства Таблица 28-01-002 Переключатели направления муки Таблица 28-01-003 Питатели и дозаторы муки Таблица 28-01-004 Бункеры складские для муки Таблица 28-01-005 Оборудование пневмотранспорта муки Таблица 28-01-006 Фильтры Таблица 28-01-007 Вентиляционные и компрессорные установки Раздел 2. Оборудование для подготовки сырья и его дозирования Таблица 28-01-020 Машины для смешивания муки Таблица 28-01-021 Машины для просеивания муки Таблица 28-01-022 Оборудование для подготовки и дозировки жидких ингредиентов Таблица 28-01-023 Машины для приготовления заварки и закваски Таблица 28-01-024 Дозаторы опары Таблица 28-01-025 Бункеры для опары Раздел 3. Оборудование для приготовления дрожжей Таблица 28-01-035 Оборудование для приготовления дрожжей Раздел 4. Оборудование тестоприготовительное Таблица 28-01-040 Машины тестомесильные Таблица 28-01-041 Дежи Таблица 28-01-042 Агрегаты тестоприготовительные Раздел 5. Оборудование для разгрузки теста Таблица 28-01-052 Дежеопрокидыватели Раздел 6. Оборудование тесторазделочное Таблица 28-01-060 Машины тестоделительные Таблица 28-01-061 Машины тестозакаточные Таблица 28-01-062 Машины тестоформующие для баранок, сухарей и других изделий Раздел 7. Оборудование для расстойки теста Таблица 28-01-072 Оборудование для расстойки теста Раздел 8. Оборудование для изготовления сухарей Таблица 28-01-080 Машины хлеборезные Таблица 28-01-081 Сушилки для сухарей Раздел 9. Оборудование разное Таблица 28-01-090 Оборудование разное Отдел 02. Оборудование предприятии сахарной промышленности Раздел 1. Механизмы транспортные специальные Таблица 28-02-001 Механизмы транспортные специальные Раздел 2. Свеклорезки Таблица 28-02-007 Свеклорезки Раздел 3. Оборудование расфасовки и упаковки сахара-рафинада и песка Таблица 28-02-012 Оборудование для расфасовки и упаковки сахара-рафинада и песка Раздел 4. Оборудование для мойки сырья Таблица 28-02-017 Хвостикоулавливатели Таблица 28-02-018 Водоотделители Таблица 28-02-019 Свекломойки Раздел 5. Оборудование мешальное Таблица 28-02-025 Мешалки разные Таблица 28-02-026 Утфелераспределители Таблица 28-02-027 Центрифуги Раздел 6. Оборудование фильтрационное Таблица 28-02-035 Оборудование фильтрационное Раздел 7. Ловушки Таблица 28-02-040 Камнеловушки Таблица 28-02-04 1 Пульполовушки Таблица 28-02-042 Песколовушки Таблица 28-02-043 Соломоловушки Таблица 28-02-044 Ловушки разные Раздел 8. Водоотделители и водоотводчики Таблица 28-02-050 Водоотделители Таблица 28-02-05 1 Водоотводчики Раздел 9. Прессы Таблица 28-02-055 Прессы для жома Раздел 10. Диффузионное оборудование Таблица 28-02-060 Диффузионное оборудование Раздел 11. Печи Таблица 28-02-065 Печи Раздел 12. Вакуум-аппараты Таблица 28-02-068 Вакуум-аппараты Раздел 13. Оборудование механизации наружных работ Таблица 28-02-072 Оборудование механизации наружных работ Раздел 14. Оборудование сокоочистительного цеха Таблица 28-02-078 Оборудование сокоочистительного цеха Отдел 03. Оборудование предприятий мясоперерабатывающей промышленности Раздел 1. Оборудование для убоя скота и снятия шкур Таблица 28-03-001 Оборудование для снятия и обработки шкур Раздел 2. Оборудование для разделки туш Таблица 28-03-008 Элеваторы для подъема туш Таблица 28-03-009 Столы конвейерные для инспекции внутренностей скота Таблица 28-03-010 Столы для приема и доскребки туш Таблица 28-03-011 Печи опалочные Таблица 28-03-012 Пилы Раздел 3. Оборудование для обработки субпродуктов Таблица 28-03-020 Агрегаты и машины для обработки голов скота Раздел 4. Оборудование для производства технических фабрикатов Таблица 28-03-030 Котлы для перетопки технического сырья Раздел 5. Оборудование для производства колбасных изделии Таблица 28-03-040 Машины для измельчения мяса Таблица 28-03-041 Оборудование для термической обработки колбас Отдел 04. Оборудование предприятий рыбной промышленности Раздел 1. Машины сортировочные Таблица 28-04-001 Машины сортировочные Раздел 2. Машины порционирующие Таблица 28-04-006 Машины порционирующие Раздел 3. Льдогенераторы чешуйчатого и трубчатого льда Таблица 28-04-010 Льдогенераторы чешуйчатого и трубчатого льда Раздел 4. Аппараты морозильные Таблица 28-04-015 Аппараты морозильные Раздел 5. Оборудование оттаивательно-глазуровочное Таблица 28-04-020 Оборудование оттаивательно-глазуровочное Раздел 6. Оборудование посольное Таблица 28-04-025 Оборудование посольное Раздел 7. Оборудование для производства консервов и кулинарии Таблица 28-04-030 Машины набивочные Таблица 28-04-03 1 Оборудование варочное и обжарочное Отдел 05. Оборудование предприятий масложировой промышленности Раздел 1. Оборудование маслодобывающей промышленности Таблица 28-05-001 Оборудование обжарочное Таблица 28-05-002 Семеновейки Таблица 28-05-003 Машины для обрушивания и калибровки семян Таблица 28-05-004 Установки для влаготермической обработки шрота Таблица 28-05-005 Оборудование экстракционное Раздел 2. Оборудование жироперерабатывающей промышленности Таблица 28-05-010 Оборудование для производства мыла Раздел 3. Оборудование маргариновой промышленности Таблица 28-05-015 Дезодораторы Таблица 28-05-016 Оборудование фасовочно-упаковочное Раздел 4. Оборудование парфюмерно-косметической промышленности Таблица 28-05-021 Оборудование разливочно-фасовочное Раздел 5. Оборудование эфиромасличной промышленности Таблица 28-05-026 Оборудование экстракционное Отдел 06. Оборудование предприятий молочной промышленности Раздел 1. Танки для молока и молочных продуктов Таблица 28-06-001 Танки (резервуары) Раздел 2. Оборудование для мойки и стерилизации Таблица 28-06-005 Пропариватели и стерилизаторы Таблица 28-06-006 Машины для мойки фляг, ящиков, танков и молокопроводов Раздел 3. Оборудование для термической обработки молока и сливок Таблица 28-06-010 Охладители и охладительные установки Таблица 28-06-011 Ванны и заквасочники Раздел 4. Оборудование для мойки стеклянной посуды и розлива молочных продуктов Таблица 28-06-016 Машины моечные Таблица 28-06-017 Оборудование разливочное и разливочно-укупорочное Раздел 5. Оборудование для производства, охлаждения и фасовки творога и сырковой массы Таблица 28-06-022 Оборудование для получения творога Таблица 28-06-023 Машины расфасовочно-упаковочные Раздел 6. Оборудование для производства масла Таблица 28-06-028 Маслообразователи Таблица 28-06-029 Автоматы и машины для расфасовки и упаковки масла Таблица 28-06-030 Линии производства сливочного масла Раздел 7. Оборудование для производства сыра Таблица 28-06-040 Машины расфасовочно-упаковочные Раздел 8. Оборудование для производства молочных консервов Таблица 28-06-050 Оборудование для расфасовки сухого молока Таблица 28-06-051 Сушилки для молока Раздел 9. Оборудование для производства мороженого Таблица 28-06-060 Аппараты скороморозильные Таблица 28-06-061 Эскимогенераторы Таблица 28-06-062 Линии производства мороженого Раздел 10. Оборудование для производства молочного сахара и казеина Таблица 28-06-070 Оборудование для производства молочного сахара Раздел 11. Оборудование разное Таблица 28-06-075 Оборудование разное Отдел 07. Оборудование предприятий консервной, пищеконцентратной и овощесушильной промышленности Раздел 1. Машины моечные Таблица 28-07-001 Машины для мойки овощей, фруктов, ягод и бобовых культур Раздел 2. Оборудование колиброчное, сортировочное и очистительное Таблица 28-07-006 Машины косточковыбивальные Таблица 28-07-007 Машины для отделения плодоножек Таблица 28-07-008 Машины для очистки плодов и овощей Таблица 28-07-009 Машины для накалывания Таблица 28-07-010 Машины калибровочные Раздел 3. Оборудование измельчительное и разделочное Таблица 28-07-020 Машины протирочные Таблица 28-07-021 Семяотделители Таблица 28-07-022 Дробилки Таблица 28-07-023 Перцемолки Таблица 28-07-024 Машины резательные Раздел 4. Аппараты тепловые Таблица 28-07-030 Бланширователи Таблица 28-07-031 Аппараты теплообменные Таблица 28-07-032 Печи, плиты, жаровни, котлы Таблица 28-07-033 Сушилки Раздел 5. Наполнители-дозаторы Таблица 28-07-040 Машины заливочные и наполнители Раздел 6. Оборудование укупорочное Таблица 28-07-045 Автоматы и машины вакуум-закаточные Таблица 28-07-046 Автоматы и машины закаточные Раздел 7. Оборудование транспортное и загрузочно-разгрузочное Таблица 28-07-051 Элеваторы Таблица 28-07-052 Транспортеры Таблица 28-07-053 Оборудование загрузочно-разгрузочное Таблица 28-07-054 Насосы Раздел 8. Оборудование прессовое и экстракционное Таблица 28-07-060 Прессы для соков Таблица 28-07-061 Прессы для концентратов Таблица 28-07-062 Агрегаты томатно-соковые Раздел 9. Оборудование расфасовочно-упаковочное Таблица 28-07-067 Оборудование расфасовочно-упаковочное Раздел 10. Оборудование для обработки пустых и наполненных банок Таблица 28-07-072 Машины моечные Таблица 28-07-073 Машины маркировочные, этикетировочные и укладочные Таблица 28-07-074 Сборники, мерники, монжусы Отдел 08. Оборудование предприятий макаронной промышленности Таблица 28-08-001 Установки для подготовки сырья Таблица 28-08-002 Оборудование прессовое Таблица 28-08-003 Оборудование сушильное Таблица 28-08-004 Оборудование резательно-раскладочное Таблица 28-08-005 Оборудование расфасовочно-упаковочное Таблица 28-08-006 Линии для производства макаронных изделий Отдел 09. Оборудование предприятий кондитерской промышленности Раздел 1. Оборудование для обработки какао-бобов Таблица 28-09-001 Оборудование сортировочное, дробильное и измельчающее Таблица 28-09-002 Оборудование прессовое Раздел 2. Машины месильно-сбивальные и темперирующие Таблица 28-09-007 Машины месильно-сбивальные Таблица 28-09-008 Машины шоколадно-отделочные Таблица 28-09-009 Машины темперирующие Раздел 3. Оборудование тянульно-разделочное, формовочное и резательное Таблица 28-09-015 Оборудование для формования печенья, бисквита и вафель Таблица 28-09-016 Машины тянульно-подкатывающие Таблица 28-09-017 Оборудование разливочно-отсадочное Таблица 28-09-018 Машины резательные Раздел 5. Оборудование глазуровочное и отделочное Таблица 28-09-025 Оборудование глянцево-отделочное Таблица 28-09-026 Оборудование глазуровочное Раздел 6. Оборудование для подогрева и охлаждения карамельной массы Таблица 28-09-032 Оборудование охлаждающее Раздел 7. Печи и сушилки Таблица 28-09-038 Печи Таблица 28-09-039 Сушилки Раздел 8. Оборудование заверточно-фасовочное Таблица 28-09-045 Автоматы для завертки конфет и карамели Таблица 28-09-046 Оборудование для упаковки зефира, завертки бисквита и вафель Таблица 28-09-047 Оборудование расфасовочно-упаковочное Раздел 9. Поточные линии, станции, агрегаты Таблица 28-09-053 Поточные линии, станции, агрегаты Отдел 10. Оборудование предприятии дрожжевой и крахмально-паточной промышленности Раздел 1. Оборудование дрожжевой промышленности Таблица 28-10-001 Оборудование для формовки и упаковки дрожжей Раздел 2. Оборудование крахмально-паточной промышленности Таблица 28-10-010 Картофелемойки Таблица 28-10-011 Механизмы мешальные к сборникам Таблица 28-10-012 Сушилки для крахмала Отдел 11. Оборудование предприятий винодельческой, спиртной, ликероводочной, пивовареной, безалкогольной, табачной отраслей промышленности Раздел 1. Оборудование для производства вина Таблица 28-11-001 Оборудование для переработки винограда Таблица 28-11-002 Оборудование для приготовления виноматериалов Раздел 2. Оборудование для производства пива Таблица 28-11-010 Оборудование для приготовления солода Таблица 28-11-011 Агрегаты варочные для приготовления пивного сусла Раздел 3. Оборудование для производства спирта Таблица 28-11-020 Оборудование для обработки крахмалистого сырья Таблица 28-11-021 Оборудование перегонное Раздел 4. Оборудование общее для винодельческой пиво-безалкогольной и спиртовой отраслей пищевой промышленности Таблица 28-11-030 Теплообменники Таблица 28-11-031 Сепараторы Таблица 28-11-032 Оборудование емкостное Таблица 28-11-033 Мерники Таблица 28-11-034 Оборудование дозировочно-разливочно-укупорочное Таблица 28-11-035 Машины бутылкомоечные Таблица 28-11-036 Оборудование для укладки и выемки бутылок Таблица 28-11-037 Прочее оборудование винодельческой промышленности Таблица 28-11-038 Прочее оборудование пиво-безалкогольной промышленности Раздел 5. Оборудование для производства табачных изделии Таблица 28-11-050 Оборудование для подготовки табака к набивке папирос и сигарет Таблица 28-11-051 Оборудование для изготовления папирос и сигарет Таблица 28-11-052 Оборудование упаковочное Раздел 6. Оборудование чайной промышленности Таблица 28-11-060 Оборудование для производства чая Таблица 28-11-061 Барабаны обжарочные Таблица 28-11-062 Печи чаесушильные Таблица 28-11-063 Оборудование смешивающее Таблица 28-11-064 Оборудование сортировочное Таблица 28-11-065 Оборудование разное Отдел 12. Оборудование предприятий торговли и общественного питания Раздел 1. Оборудование предприятий торговли Таблица 28-12-001 Оборудование для комплектации заказов Раздел 2. Оборудование предприятий общественного питания Таблица 28-12-011 Машины для обработки овощей Таблица 28-12-012 Машины посудомоечные Таблица 28-12-013 Фермы Отдел 13. Оборудование картонажного производства Таблица 28-13-001 Оборудование резательное и просекательное Таблица 28-13-002 Оборудование для изготовления коробок Отдел 14. Оборудование для производства жестяной тары Таблица 28-14-001 Оборудование прессовое Таблица 28-14-002 Оборудование корпусообразующее Таблица 28-14-003 Оборудование сушильное Таблица 28-14-004 Оборудование транспортирующее Таблица 28-14-005 Оборудование испытательное Таблица 28-14-006 Оборудование лакировочное Таблица 28-14-007 Оборудование разное | Разработан: | Сибирский центр ценообразования в строительстве, промышленности и энергетике
| Утверждён: | 13.10.2011 Правительство Ямало-Ненецкого автономного округа (755-п)
| Принят: | 05.07.2011 Министерство регионального развития Российской Федерации (17636-АП/08)
| Расположен в: |
|
                                                                                                 
|