Информационная система
«Ёшкин Кот»

Скачать базу одним архивом
Скачать обновления
История создания базы
Карта сайта

Скачать ТСЦПГ Ямало-Ненецкий автономный округ 2001 Часть 1. Автомобильные перевозки

Дата актуализации: 10.08.2017

ТСЦПГ Ямало-Ненецкий автономный округ 2001

Часть 1. Автомобильные перевозки

Обозначение: ТСЦПГ Ямало-Ненецкий автономный округ 2001
Обозначение англ: 2001
Статус:действует
Название рус.:Часть 1. Автомобильные перевозки
Дата добавления в базу:01.10.2014
Дата актуализации:05.05.2017
Область применения:Территориальный сборник сметных цен на перевозки грузов для строительства (ТСЦПГ) предназначен для определения затрат на перевозки строительных грузов автомобильным транспортом
Оглавление:Раздел 1. Погрузочно-разгрузочные работы при автомобильных перевозках
Раздел 2. Сметные цены на тару, упаковку и реквизит для районов Крайнего Севера и местностей, приравненных к ним по условиям транспортирования
   Таблица 2. Сметные цены на тару, упаковку для районов Крайнего Севера и районов, приравненных к ним по условиям транспортирования
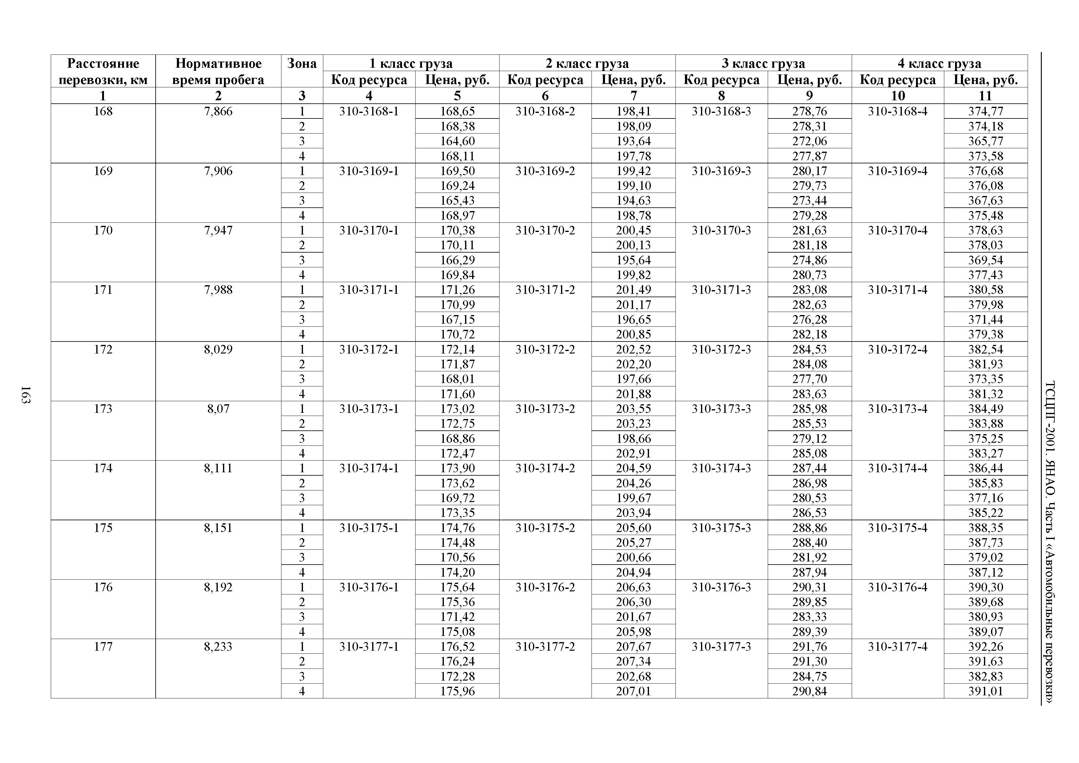
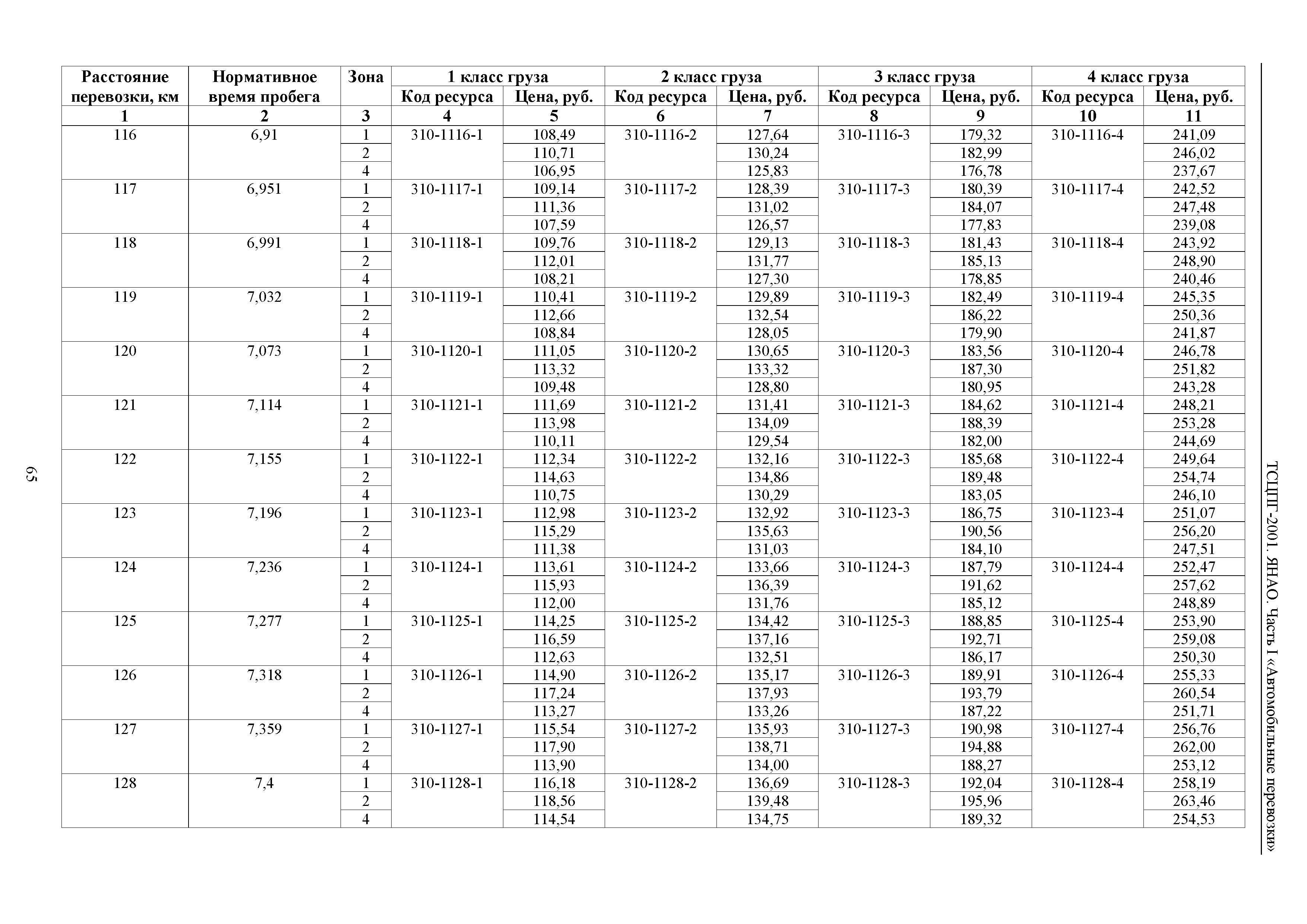
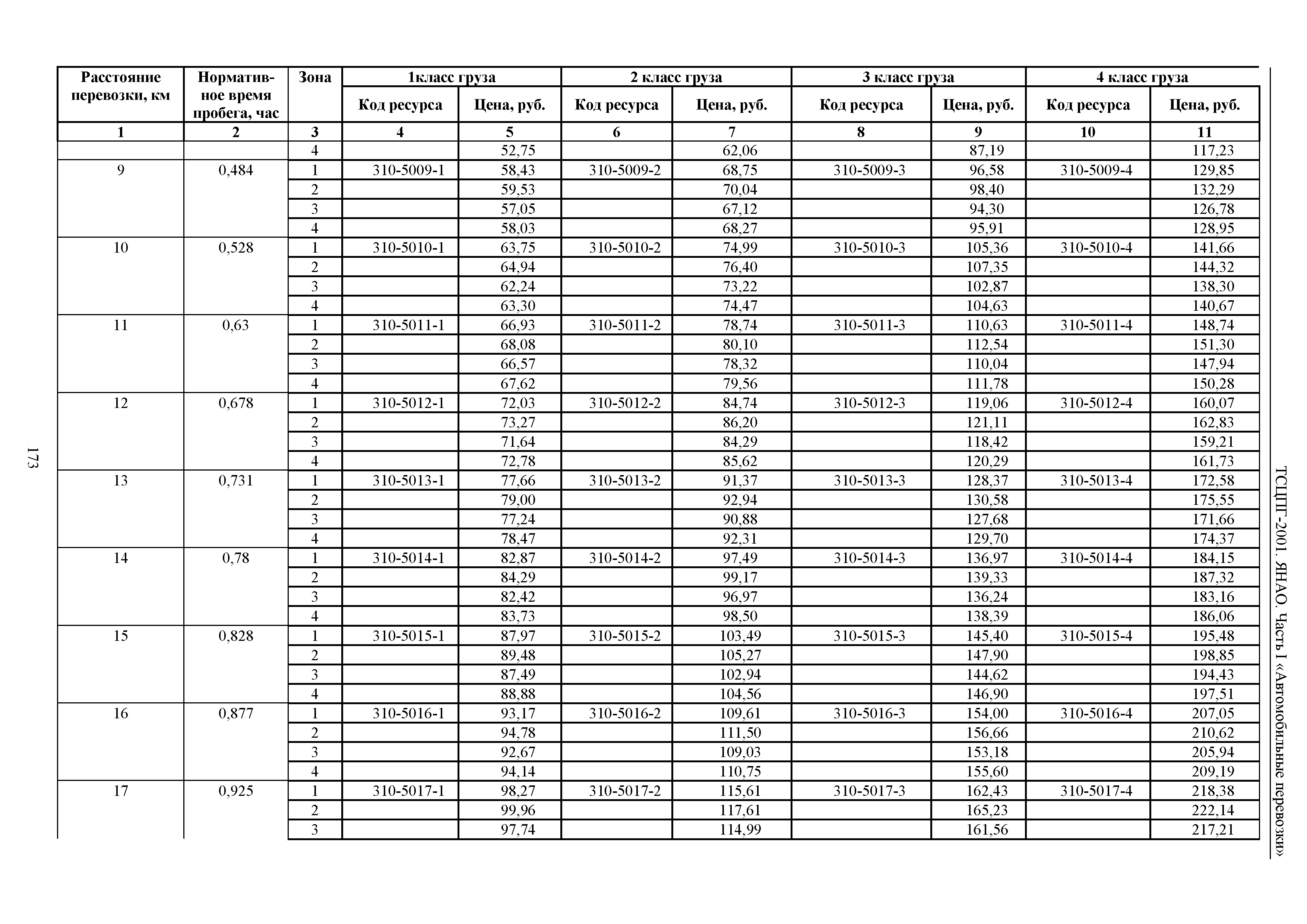
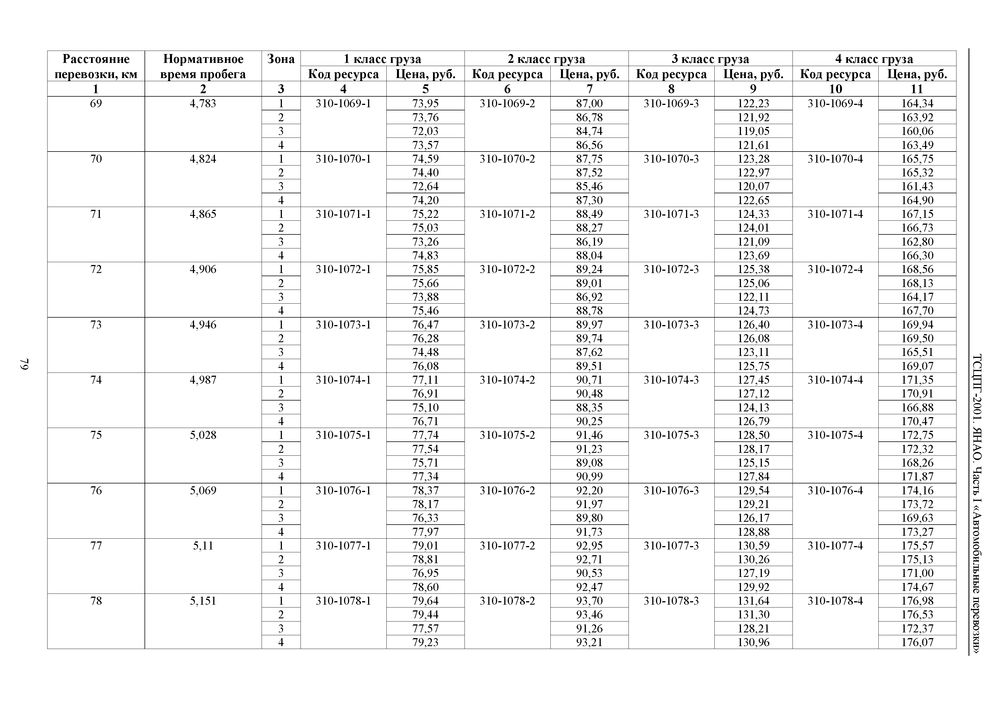
Раздел 3. Сметные цены на перевозку грузов автомобильным транспортом
   Номенклатура и классификация грузов, перевозимых автомобильным транспортом
   Перевозка бетонных, железобетонных изделий, стеновых и перегородочных материалов (кирпич, блоки, камни, плиты и панели), лесоматериалов круглых и пиломатериалов бортовым автомобилем, грузоподъемностью 15 т (Код 400004) 1 подзона Ямало-Ненецкий Автономный Округ
   Перевозка бетонных, железобетонных изделий, стеновых и перегородочных материалов (кирпич, блоки, камни, плиты и панели), лесоматериалов круглых и пиломатериалов бортовым автомобилем, грузоподъемностью 15 т (Код 400004) 2 подзона Ямало-Ненецкий Автономный Округ
   Перевозка строительных грузов (кроме массовых навалочных, перевозимых автомобилями-самосвалами, а также бетонных и железобетонных изделий, стеновых и перегородочных материалов, лесоматериалов круглых и пиломатериалов, включенных в таблицу № 61.), бортовым автомобилем грузоподъемностью 5 т (Код 400001) 1подзона материалов, лесоматериалов круглых и пиломатериалов, включенных в таблицу № 61.), бортовым автомобилем грузоподъемностью 5 т (Код 400001) 1подзона Ямало-Ненецкий Автономный Округ
   Перевозка строительных грузов (кроме массовых навалочных, перевозимых автомобилями-самосвалами, а также бетонных и железобетонных изделий, стеновых и перегородочных материалов, лесоматериалов круглых и пиломатериалов, включенных в таблицу № 62.), бортовым автомобилем грузоподъемностью 5 т (Код 400001) 2 подзона Ямало-Ненецкий Автономный Округ
   Перевозка грузов автомобилями-самосвалами грузоподъемностью 10 т работающих вне карьера (Код 400052) 1 подзона Ямало-Ненецкий Автономный округ
   Перевозка грузов автомобилями-самосвалами грузоподъемностью 10 т работающих вне карьера (Код 400052) 2 подзона Ямало-Ненецкий Автономный Округ
   Перевозка грузов автомобилями-самосвалами из карьеров (щебень, песок) 1 подзона Ямало- Ненецкий Автономный округ
   Перевозка грузов автомобилями-самосвалами из карьеров (щебень, песок) 2 подзона Ямало- Ненецкий Автономный округ
   Плата за 1 км пробега автомобилей до места выполнения работ и возвращение их по окончании работ. 1 подзона Ямало-Ненецкий Автономный Округ
   Плата за 1 км пробега автомобилей до места выполнения работ и возвращение их по окончании работ. 2 подзона Ямало-Ненецкий Автономный Округ
Раздел 3А . Сметные цены на перевозку грузов тракторами с прицепами
   Провозная плата за перевозки грузов тракторами с прицепами
   Плата за пробег к пункту первой погрузки и от пункта последней разгрузки
   Порядок определения нормы времени на перевозки грузов автомобильным транспортом, в зависимости от расстояния
Разработан: Сибирский центр ценообразования в строительстве, промышленности и энергетике
Утверждён:13.10.2011 Правительство Ямало-Ненецкого автономного округа (755-п)
Расположен в:Техническая документация Строительство Нормативные документы Нормативные документы субъектов Российской Федерации Нормативные документы Ямало-Ненецкого автономного округа
Нормативные ссылки:
ТСЦПГ Ямало-Ненецкий автономный округ 2001ТСЦПГ Ямало-Ненецкий автономный округ 2001ТСЦПГ Ямало-Ненецкий автономный округ 2001ТСЦПГ Ямало-Ненецкий автономный округ 2001ТСЦПГ Ямало-Ненецкий автономный округ 2001ТСЦПГ Ямало-Ненецкий автономный округ 2001ТСЦПГ Ямало-Ненецкий автономный округ 2001ТСЦПГ Ямало-Ненецкий автономный округ 2001ТСЦПГ Ямало-Ненецкий автономный округ 2001ТСЦПГ Ямало-Ненецкий автономный округ 2001ТСЦПГ Ямало-Ненецкий автономный округ 2001ТСЦПГ Ямало-Ненецкий автономный округ 2001ТСЦПГ Ямало-Ненецкий автономный округ 2001ТСЦПГ Ямало-Ненецкий автономный округ 2001ТСЦПГ Ямало-Ненецкий автономный округ 2001ТСЦПГ Ямало-Ненецкий автономный округ 2001ТСЦПГ Ямало-Ненецкий автономный округ 2001ТСЦПГ Ямало-Ненецкий автономный округ 2001ТСЦПГ Ямало-Ненецкий автономный округ 2001ТСЦПГ Ямало-Ненецкий автономный округ 2001ТСЦПГ Ямало-Ненецкий автономный округ 2001ТСЦПГ Ямало-Ненецкий автономный округ 2001ТСЦПГ Ямало-Ненецкий автономный округ 2001ТСЦПГ Ямало-Ненецкий автономный округ 2001ТСЦПГ Ямало-Ненецкий автономный округ 2001ТСЦПГ Ямало-Ненецкий автономный округ 2001ТСЦПГ Ямало-Ненецкий автономный округ 2001ТСЦПГ Ямало-Ненецкий автономный округ 2001ТСЦПГ Ямало-Ненецкий автономный округ 2001ТСЦПГ Ямало-Ненецкий автономный округ 2001ТСЦПГ Ямало-Ненецкий автономный округ 2001ТСЦПГ Ямало-Ненецкий автономный округ 2001ТСЦПГ Ямало-Ненецкий автономный округ 2001ТСЦПГ Ямало-Ненецкий автономный округ 2001ТСЦПГ Ямало-Ненецкий автономный округ 2001ТСЦПГ Ямало-Ненецкий автономный округ 2001ТСЦПГ Ямало-Ненецкий автономный округ 2001ТСЦПГ Ямало-Ненецкий автономный округ 2001ТСЦПГ Ямало-Ненецкий автономный округ 2001ТСЦПГ Ямало-Ненецкий автономный округ 2001ТСЦПГ Ямало-Ненецкий автономный округ 2001ТСЦПГ Ямало-Ненецкий автономный округ 2001ТСЦПГ Ямало-Ненецкий автономный округ 2001ТСЦПГ Ямало-Ненецкий автономный округ 2001ТСЦПГ Ямало-Ненецкий автономный округ 2001ТСЦПГ Ямало-Ненецкий автономный округ 2001ТСЦПГ Ямало-Ненецкий автономный округ 2001ТСЦПГ Ямало-Ненецкий автономный округ 2001ТСЦПГ Ямало-Ненецкий автономный округ 2001ТСЦПГ Ямало-Ненецкий автономный округ 2001ТСЦПГ Ямало-Ненецкий автономный округ 2001ТСЦПГ Ямало-Ненецкий автономный округ 2001ТСЦПГ Ямало-Ненецкий автономный округ 2001ТСЦПГ Ямало-Ненецкий автономный округ 2001ТСЦПГ Ямало-Ненецкий автономный округ 2001ТСЦПГ Ямало-Ненецкий автономный округ 2001ТСЦПГ Ямало-Ненецкий автономный округ 2001ТСЦПГ Ямало-Ненецкий автономный округ 2001ТСЦПГ Ямало-Ненецкий автономный округ 2001ТСЦПГ Ямало-Ненецкий автономный округ 2001ТСЦПГ Ямало-Ненецкий автономный округ 2001ТСЦПГ Ямало-Ненецкий автономный округ 2001ТСЦПГ Ямало-Ненецкий автономный округ 2001ТСЦПГ Ямало-Ненецкий автономный округ 2001ТСЦПГ Ямало-Ненецкий автономный округ 2001ТСЦПГ Ямало-Ненецкий автономный округ 2001ТСЦПГ Ямало-Ненецкий автономный округ 2001ТСЦПГ Ямало-Ненецкий автономный округ 2001ТСЦПГ Ямало-Ненецкий автономный округ 2001ТСЦПГ Ямало-Ненецкий автономный округ 2001ТСЦПГ Ямало-Ненецкий автономный округ 2001ТСЦПГ Ямало-Ненецкий автономный округ 2001ТСЦПГ Ямало-Ненецкий автономный округ 2001ТСЦПГ Ямало-Ненецкий автономный округ 2001ТСЦПГ Ямало-Ненецкий автономный округ 2001ТСЦПГ Ямало-Ненецкий автономный округ 2001ТСЦПГ Ямало-Ненецкий автономный округ 2001ТСЦПГ Ямало-Ненецкий автономный округ 2001ТСЦПГ Ямало-Ненецкий автономный округ 2001ТСЦПГ Ямало-Ненецкий автономный округ 2001ТСЦПГ Ямало-Ненецкий автономный округ 2001ТСЦПГ Ямало-Ненецкий автономный округ 2001ТСЦПГ Ямало-Ненецкий автономный округ 2001ТСЦПГ Ямало-Ненецкий автономный округ 2001ТСЦПГ Ямало-Ненецкий автономный округ 2001ТСЦПГ Ямало-Ненецкий автономный округ 2001ТСЦПГ Ямало-Ненецкий автономный округ 2001ТСЦПГ Ямало-Ненецкий автономный округ 2001ТСЦПГ Ямало-Ненецкий автономный округ 2001ТСЦПГ Ямало-Ненецкий автономный округ 2001ТСЦПГ Ямало-Ненецкий автономный округ 2001ТСЦПГ Ямало-Ненецкий автономный округ 2001ТСЦПГ Ямало-Ненецкий автономный округ 2001ТСЦПГ Ямало-Ненецкий автономный округ 2001ТСЦПГ Ямало-Ненецкий автономный округ 2001ТСЦПГ Ямало-Ненецкий автономный округ 2001ТСЦПГ Ямало-Ненецкий автономный округ 2001ТСЦПГ Ямало-Ненецкий автономный округ 2001ТСЦПГ Ямало-Ненецкий автономный округ 2001ТСЦПГ Ямало-Ненецкий автономный округ 2001ТСЦПГ Ямало-Ненецкий автономный округ 2001ТСЦПГ Ямало-Ненецкий автономный округ 2001ТСЦПГ Ямало-Ненецкий автономный округ 2001ТСЦПГ Ямало-Ненецкий автономный округ 2001ТСЦПГ Ямало-Ненецкий автономный округ 2001ТСЦПГ Ямало-Ненецкий автономный округ 2001ТСЦПГ Ямало-Ненецкий автономный округ 2001ТСЦПГ Ямало-Ненецкий автономный округ 2001ТСЦПГ Ямало-Ненецкий автономный округ 2001ТСЦПГ Ямало-Ненецкий автономный округ 2001ТСЦПГ Ямало-Ненецкий автономный округ 2001ТСЦПГ Ямало-Ненецкий автономный округ 2001ТСЦПГ Ямало-Ненецкий автономный округ 2001ТСЦПГ Ямало-Ненецкий автономный округ 2001ТСЦПГ Ямало-Ненецкий автономный округ 2001ТСЦПГ Ямало-Ненецкий автономный округ 2001ТСЦПГ Ямало-Ненецкий автономный округ 2001ТСЦПГ Ямало-Ненецкий автономный округ 2001ТСЦПГ Ямало-Ненецкий автономный округ 2001ТСЦПГ Ямало-Ненецкий автономный округ 2001ТСЦПГ Ямало-Ненецкий автономный округ 2001ТСЦПГ Ямало-Ненецкий автономный округ 2001ТСЦПГ Ямало-Ненецкий автономный округ 2001ТСЦПГ Ямало-Ненецкий автономный округ 2001ТСЦПГ Ямало-Ненецкий автономный округ 2001ТСЦПГ Ямало-Ненецкий автономный округ 2001ТСЦПГ Ямало-Ненецкий автономный округ 2001ТСЦПГ Ямало-Ненецкий автономный округ 2001ТСЦПГ Ямало-Ненецкий автономный округ 2001ТСЦПГ Ямало-Ненецкий автономный округ 2001ТСЦПГ Ямало-Ненецкий автономный округ 2001ТСЦПГ Ямало-Ненецкий автономный округ 2001ТСЦПГ Ямало-Ненецкий автономный округ 2001ТСЦПГ Ямало-Ненецкий автономный округ 2001ТСЦПГ Ямало-Ненецкий автономный округ 2001ТСЦПГ Ямало-Ненецкий автономный округ 2001ТСЦПГ Ямало-Ненецкий автономный округ 2001ТСЦПГ Ямало-Ненецкий автономный округ 2001ТСЦПГ Ямало-Ненецкий автономный округ 2001ТСЦПГ Ямало-Ненецкий автономный округ 2001ТСЦПГ Ямало-Ненецкий автономный округ 2001ТСЦПГ Ямало-Ненецкий автономный округ 2001ТСЦПГ Ямало-Ненецкий автономный округ 2001ТСЦПГ Ямало-Ненецкий автономный округ 2001ТСЦПГ Ямало-Ненецкий автономный округ 2001ТСЦПГ Ямало-Ненецкий автономный округ 2001ТСЦПГ Ямало-Ненецкий автономный округ 2001ТСЦПГ Ямало-Ненецкий автономный округ 2001ТСЦПГ Ямало-Ненецкий автономный округ 2001ТСЦПГ Ямало-Ненецкий автономный округ 2001ТСЦПГ Ямало-Ненецкий автономный округ 2001ТСЦПГ Ямало-Ненецкий автономный округ 2001ТСЦПГ Ямало-Ненецкий автономный округ 2001ТСЦПГ Ямало-Ненецкий автономный округ 2001ТСЦПГ Ямало-Ненецкий автономный округ 2001ТСЦПГ Ямало-Ненецкий автономный округ 2001ТСЦПГ Ямало-Ненецкий автономный округ 2001ТСЦПГ Ямало-Ненецкий автономный округ 2001ТСЦПГ Ямало-Ненецкий автономный округ 2001ТСЦПГ Ямало-Ненецкий автономный округ 2001ТСЦПГ Ямало-Ненецкий автономный округ 2001ТСЦПГ Ямало-Ненецкий автономный округ 2001ТСЦПГ Ямало-Ненецкий автономный округ 2001ТСЦПГ Ямало-Ненецкий автономный округ 2001ТСЦПГ Ямало-Ненецкий автономный округ 2001ТСЦПГ Ямало-Ненецкий автономный округ 2001ТСЦПГ Ямало-Ненецкий автономный округ 2001ТСЦПГ Ямало-Ненецкий автономный округ 2001ТСЦПГ Ямало-Ненецкий автономный округ 2001ТСЦПГ Ямало-Ненецкий автономный округ 2001ТСЦПГ Ямало-Ненецкий автономный округ 2001ТСЦПГ Ямало-Ненецкий автономный округ 2001ТСЦПГ Ямало-Ненецкий автономный округ 2001ТСЦПГ Ямало-Ненецкий автономный округ 2001ТСЦПГ Ямало-Ненецкий автономный округ 2001ТСЦПГ Ямало-Ненецкий автономный округ 2001ТСЦПГ Ямало-Ненецкий автономный округ 2001ТСЦПГ Ямало-Ненецкий автономный округ 2001ТСЦПГ Ямало-Ненецкий автономный округ 2001ТСЦПГ Ямало-Ненецкий автономный округ 2001ТСЦПГ Ямало-Ненецкий автономный округ 2001

© 2013 Ёшкин Кот :-) Карта сайта