Скачать ТСЦО Ямало-Ненецкий автономный округ Часть 2 ОборудованиеДата актуализации: 10.08.2017 ТСЦО Ямало-Ненецкий автономный округ Часть 2
ОборудованиеОбозначение: | ТСЦО Ямало-Ненецкий автономный округ Часть 2 | Обозначение англ: | Часть 2 | Статус: | действует | Название рус.: | Оборудование | Дата добавления в базу: | 01.10.2014 | Дата актуализации: | 05.05.2017 | Область применения: | Территориальный сборник сметных цен на оборудование предназначен для определения сметной стоимости оборудования, монтируемого на объектах Ямало-Ненецкого
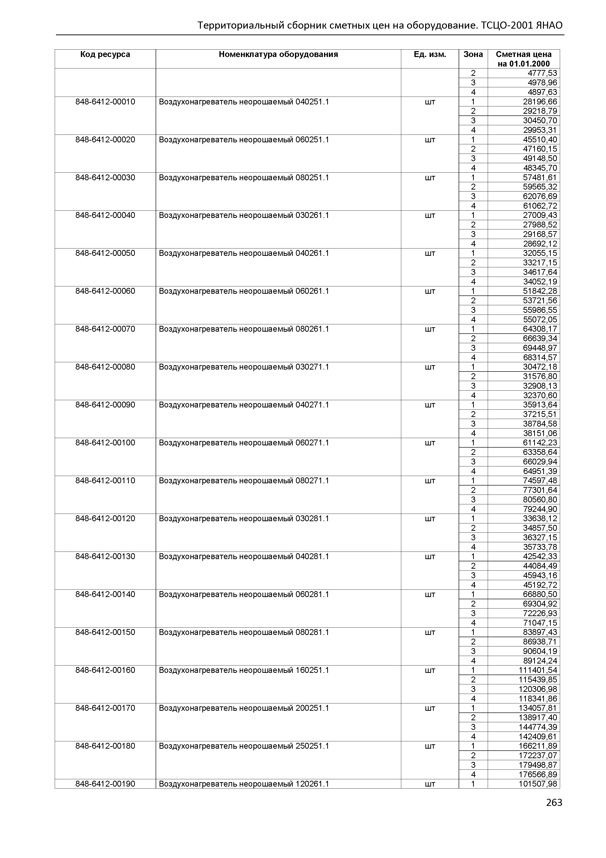
автономного округа, и применяется при составлении сметной документации на строительство предприятий, зданий и сооружений. | Оглавление: | 8420000 Приборы и средства автоматизации общепромышленного назначения 8421000 Приборы контроля и регулирования технологических процессов 8421100 Приборы для измерения и регулирования температуры 8421200 Приборы для измерения и регулирования давления 8421300 Приборы для измерения и регулирования расхода и количества жидкостей и газов 8421400 Приборы для измерения и регулирования уровня жидкостей и сыпучих материалов 8421500 Приборы дядя определения состава и свойств газов, жидкостей, твердых и сыпучих веществ (кроме приборов из стекла, кварца, фарфора) 8421700 Приборы вторичные 8421800 Приборы регулирующие. Блоки и элементы функциональные приборов регулирующих. Регуляторы, работающие без постороннего источника энергии 8422000 Приборы электроизмерительные 8422300 Приборы электроизмерительные щитовые аналоговые 8422800 Счетчики электрические и электронные 8426000 Средства механизации и автоматизации управленческого и инженерно-технического труда 8426500 Средства для чертежных работ и счетных операций 8427000 Машины и приборы для измерения механических величин 8427100 Машины и приборы для определения механических свойств материалов 8427300 Приборы для измерения усилий и деформаций 8427400 Приборы весоизмерительные 8427600 Приборы неразрушающего контроля качества материалов и изделий 8427700 Приборы виброметрии 8427800 Приборы для измерения параметров движения и счетчики 8428000 Приборы времени 8428200 Часы технического назначения 8428300 Механизмы часовые и реле времени 8430000 Приборы и средства автоматизации специализированного назначения 8431000 Приборы для физических исследований 8431100 Приборы метеорологические и аэрологические 8431300 Приборы и устройства гидрометеорологические 8432000 Приборы, аппараты, оборудование и посуда лабораторные из стекла, кварца и фарфора 8432100 Приборы и аппараты из стекла, кварца и фарфора 8436000 Приборы ядерные и радиоизотопные 8436100 Устройства, блоки и узлы электронi-iо-физические функциональные ядерные и радиоизотопные 8440000 Приборы и аппаратура оптические 8443000 Приборы оптические общепромышленного, специального и научного применения 8443100 Приборы оптические контрольно-измерительные 8443200 Устройства и приборы оптические металлорежущих станков 8443300 Приборы и инструменты геодезические и маркшейдерские 8443400 Приборы и аппаратура для спектрального анализа 8443500 Микроскопы световые, лупы 8480000 Продукция строительного, дорожного и коммунального машиностроения 8481000 Машины для землеройных и мелиоративных работ 8481200 Бульдозеры (в т. ч. с рыхлителями) 8481300 Скреперы 8481400 Машины планировочные подготовительные 8481600 Машины и оборудование для строительства и содержания мелиоративных систем 8482000 Машины дорожные, оборудование для приготовления строительных смесей 8482100 Машины для транспортировки строительных материалов 8482200 Машины для строительства и содержания дорог и аэродромов 8482400 Катки дорожные и уплотняющие машины 8482600 Оборудование для приготовления строительных смесей 8483000 Оборудование и машины строительные 8483200 Оборудование бурильное, сваебойное, копровое 8483300 Машины строительно-отделочные, инструмент строительно-монтажный ручной и механизированный 8483400 Механизмы, инструмент, средства крепления, приспособления для монтажных и специальных строительных работ 8483500 Оборудование подъемно-транспортное строительное 8483600 Лифты 232 8484000 Оборудование для промышлености строительных материалов 8484100 Оборудование технологическое для цементной промышленности 8484200 Оборудование технологическое для производства железобетонных конструкций и деталей 8484300 Дробилки 8484500 Оборудование технологическое для производства строительных материалов 8484600 Оборудование для производства строительных материалов разного назначения 8485000 Оборудование технологическое для лесозаготовительной и торфяной промышленности; машиностроение коммунальное 8485100 Оборудование технологическое для лесозаготовки, лесобирж и лесосплава и запасные части к нему 8485200 Оборудование технологическое для торфяной промышленности и запасные части к нему 8485300 Машины для городского коммунального хозяйства 8485400 Техника пожарная 8485900 Машины и оборудование для коммунального хозяйства прочие 8486000 Оборудование для кондиционирования воздуха и вентиляции 8486100 Вентиляторы общего назначения 8486200 Кондиционеры промышленные общего назначения 8486300 Оборудование кондиционеров 8486400 Воздухонагреватели и воздухоохладители 8490000 Оборудование санитарно-техническое (кроме оборудования для вентиляции и кондиционирования). Замочные и скобяные изделия 8492000 Средства крепления комплектующие к санитарно-техническому оборудованию, приборам и трубы канализационные 8492400 Средства крепления комплектующие к санитарно-техническому оборудованию и приборам 8493000 Оборудование и приборы для отопления и горячего водоснабжения 8493100 Котлы отопительные 8493200 Оборудование вспомогательное к отопительным котлам 8493300 Водоподогреватели 8493400 Колонки водогрейные для ванн (на твердом топливе) 8493500 Радиаторы и конвекторы отопительные 8496000 Изделия санитарные керамические 8496800 Бачки смывные керамические 8497000 Изделия санитарные шамотированные 8497100 Ванны 8497300 Унитазы 8497400 Писсуары 8499000 Запасные части, принадлежности и комплектующие изделия санитарно-технического оборудования 8499200 Запасные части, принадлежности и комплектующие изделия к санитарно-технической арматуре и приборам 8510000 Оборудование технологическое для легкой и пищевой промышленности и бытовые приборы 8511000 Оборудование технологическое и запасные части к нему для легкой промышленности 8511100 Оборудование хлопкоочистительное и запасные части к нему 8511200 Оборудование технологическое и запасные части к нему для текстильной промышленности 8513000 Оборудование технологическое и запасные части к нему для пищевой, мясо-молочной и рыбной промышленности 8513100 Оборудование технологическое и запасные части к нему для пищевой промышленности 8514000 Оборудование технологическое для мукомольно-крупяной, комбикормовой и элеваторной промышленности, промышленности минеральных удобрений и ядовитых химикатов 8514200 Оборудование технологическое для мукомольных предприятий 8515000 Оборудование технологическое для торговли, общественного питания и пищеблоков, холодильное и запасные части к нему; бытовые приборы 8515100 Оборудование технологическое и запасные части к нему для предприятий торговли, общественного питания и пищеблоков 8520000 Оборудование для регулирования дорожного движения, обслуживания сельхозтехники и вспомогательное средств связи, конструкции строительные металлические 8522000 Оборудование вспомогательное энергетической, нефтяной и газовой промышленности, жилищно-коммунального хозяйства, строительства. Оборудование инженерное зданий и сооружений 8522500 Средства технологического оснащения для строительства 8525000 Оборудование и оснастка специальные для ремонта и эксплуатации тракторов и сельскохозяйственных машин, транспортирования и складской переработки грузов, пуска и наладки, технического обслуживания и ремонта машин и оборудования ферм 8525100 Оборудование и оснастка производственно-технологические для ремонта тракторов и сельскохозяйственных машин 8610000 Резисторы переменные и прочие 8619000 Резисторы прочие 8619100 Резисторы полупроводниковые 8640000 Судовое оборудование 8644000 Судовые котлы, вспомогательные механизмы, валопроводы, движители, электрооборудование, внутрисудовая связь 8644500 Турбогенераторы, опреснительные и теплообменные устройства судовые 8690000 Техника атомная 8691000 Ускорители заряженных частиц 8691500 Источники частиц, системы обеспечения работы и управления ускорителями 8693000 Реакторы ядерные и оборудование атомных электростанции 8693700 Оборудование эксплуатационное для АЭС 8960000 Изделия культурно-бытового, хозяйственного, учебного назначения, театрально-зрелищных предприятий, вспомогательные для легкой промышленности 8968000 Оборудование, инвентарь и принадлежности театрально-зрелищных предприятий и учреждений культуры 8968100 Оборудование механическое театральное 8968500 Аттракционы и запасные части к ним 8968900 Оборудование и инвентарь театральный, музейный и библиотечный Предметный указатель Содержание | Разработан: | Сибирский центр ценообразования в строительстве, промышленности и энергетике
| Утверждён: | 13.10.2011 Правительство Ямало-Ненецкого автономного округа (755-п)
| Расположен в: |
| Нормативные ссылки: | |
                                                                                                                                                                                                                                                                                                             
|