Скачать ТЕР Ямало-Ненецкий автономный округ 27-2001 Часть 27. Автомобильные дороги. Территориальные единичные расценки на строительные и специальные строительные работыДата актуализации: 10.08.2017 ТЕР Ямало-Ненецкий автономный округ 27-2001
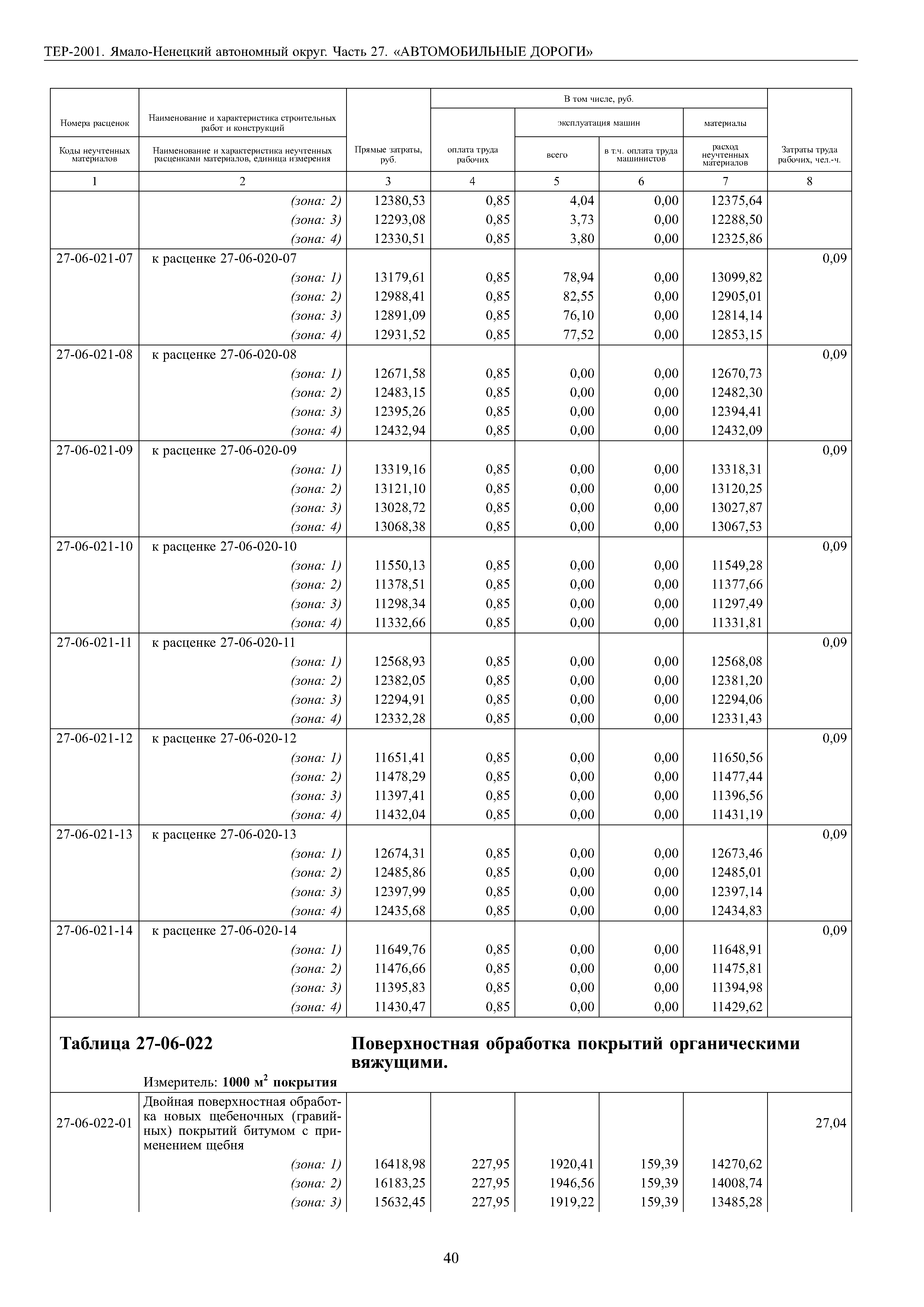
Часть 27. Автомобильные дороги. Территориальные единичные расценки на строительные и специальные строительные работыОбозначение: | ТЕР Ямало-Ненецкий автономный округ 27-2001 | Обозначение англ: | 27-2001 | Статус: | действует | Название рус.: | Часть 27. Автомобильные дороги. Территориальные единичные расценки на строительные и специальные строительные работы | Дата добавления в базу: | 01.10.2014 | Дата актуализации: | 05.05.2017 | Область применения: | Территориальные единичные расценки на строительные и специальные строительные работы предназначены для определения затрат при выполнении строительных работ и составления на их основе сметных расчетов (смет) на производство указанных работ. | Оглавление: | Раздел 1. Основания и покрытия из грунтов, укрепляемых вяжущими материалами Таблица 27-01-001 Укрепление грунтов однослойных оснований и покрытий толщиной до 20 см Таблица 27-01-002 Устройство оснований и покрытий из готовой битумно-грунтовой смеси Таблица 27-01-003 Укрепление грунтов однослойных оснований и покрытий толщиной до 20 см смешением с цементом навесными фрезами Таблица 27-01-004 Устройство оснований и покрытий из готовой цементно-грунтовой смеси толщиной 15 см Раздел 2. Дренажные и водосбросные устройства Таблица 27-02-001 Устройство дренажей Таблица 27-02-002 Устройство сбросов воды из продольных дренажей Таблица 27-02-003 Устройство дренажных воронок под обочинами Таблица 27-02-004 Устройство водосбросных сооружений с проезжей части из лотков в откосах насыпи Таблица 27-02-005 Устройство водосбросных сооружений с проезжей части из продольных лотков из сборного бетона. Таблица 27-02-006 Устройство водосбросных сооружений с проезжей части из водоприемных колодцев Таблица 27-02-007 Устройство водосбросных сооружений с проезжей части из открытых лотков на обочинах Таблица 27-02-008 Устройство водосбросных сооружений с проезжей части из гасителей Таблица 27-02-009 Укрепление площадки за шпорами гасителя сборными бетонными плитами при размываемых грунтах Таблица 27-02-010 Установка бортовых камней Таблица 27-02-011 Установка природных бортовых гранитных камней типа ЭГП Таблица 27-02-015 Устройство бортового камня из монолитного бетона бетоноукладчиком-планировщиком со скользящими формами Раздел 3. Подготовка существующих оснований и покрытий под черные щебеночные (гравийные) и асфальтобетонные покрытия (при реконструкции) Таблица 27-03-001 Исправление профиля щебеночных и гравийных оснований Таблица 27-03-002 Исправление профиля песчано-гравийных оснований и покрытий Таблица 27-03-003 Расценки для корректировки таблицы 27-03-002 при изменении толщины слоя основания или покрытия Таблица 27-03-004 Устройство выравнивающего слоя из асфальтобетонной смеси Таблица 27-03-005 Ямочный ремонт асфальтобетонного покрытия литой асфальтобетонной смесью Таблица 27-03-008 Разборка покрытий и оснований Таблица 27-03-009 Срезка поверхностного слоя асфальтобетонных дорожных покрытий методом холодного фрезерования Таблица 27-03-010 Разборка бортовых камней Раздел 4. Подстилающие, выравнивающие слои основания и покрытия Таблица 27-04-001 Устройство подстилающих и выравнивающих слоев оснований Таблица 27-04-003 Устройство оснований и покрытий из песчано-гравийных или щебеночно-песчаных смесей Таблица 27-04-005 Устройство оснований из щебня фракции 40-70 мм при укатке каменных материалов с пределом прочности на сжатие свыше 98,1 Мпа (1000 кгс/см2) Таблица 27-04-006 Устройство оснований из щебня фракции 40-70 мм при укатке каменных материалов с пределом прочности на сжатие свыше 68,6 до 98,1 Мпа (свыше 700 до 1000 кгс/см2) Таблица 27-04-007 Устройство основания из щебня фракции 40-70 мм при укатке каменных материалов с пределом прочности на сжатие до 68,6 Мпа (700 кгс/см2) Таблица 27-04-008 Расценки для корректировки таблиц 27-04-005, 27-04-006 и 27-04-007 при использовании однослойных и верхнего слоя двухслойных оснований под движение транспорта до полного окончания работ Таблица 27-04-009 Устройство оснований толщиной 12 см из щебня фракции 70-120 мм Таблица 27-04-010 Расценки для корректировки таблицы 27-04-009 при использовании однослойных и верхнего слоя двухслойных оснований под движение транспорта Таблица 27-04-011 Устройство оснований из отвальных доменных шлаков Таблица 27-04-012 Устройство покрытий толщиной 15 см при укатке щебня с пределом прочности на сжатие свыше 98,1 Мпа (1000 кгс/см2) Таблица 27-04-013 Устройство покрытий толщиной 15 см при укатке щебня с пределом прочности на сжатие свыше 68,6 до 98,1 Мпа (свыше 700 до 1000 кг/см2) Таблица 27-04-014 Устройство покрытий толщиной 15 см при укатке щебня с пределом прочности на сжатие до 68,6 Мпа (700 кгс/см2) Таблица 27-04-015 Устройство щебеночных оснований, обработанных в верхней части пескоцементной смесью Таблица 27-04-016 Устройство прослойки из нетканого синтетического материала (НСМ) Таблица 27-04-017 Устройство теплоизоляционного слоя из пенопласта Таблица 27-04-021 Устройство основания из пескоцементной смеси на крутых склонах Таблица 27-04-022 Устройство покрытия из цементобетона на крутых склонах Раздел 5. Устройство мостовых и подзоров Таблица 27-05-001 Устройство мостовых из колотого и булыжного камня по готовому основанию Таблица 27-05-002 Устройство брусчатых и мозаиковых мостовых Таблица 27-05-005 Устройство мощеных подзоров и отмосток толщиной 10 см Раздел 6. Устройство оснований и покрытий Таблица 27-06-001 Устройство дорожных покрытий из сборных железобетонных плит Таблица 27-06-002 Устройство цементобетонных покрытий, устраиваемых машинами бетоноукладочного комплекта на рельс-формах Таблица 27-06-003 Расценки для корректировки таблицы 27-06-002 при устройстве покрытий на высоких насыпях и при невозможности прохода автомашин по обочинам Таблица 27-06-004 Расценки для корректировки таблиц 27-06-002 и 27-06-016 при устройстве покрытий и оснований двумя полосами по 3,5-4 м Таблица 27-06-005 Расценки для корректировки таблицы 27-06-002 (нормы с 27-06-002-0 1 по 27-06-002-16) при уходе за цементобетонным основанием или покрытием засыпкой песком и поливкой водой Таблица 27-06-006 Расценки для корректировки таблицы 27-06-002 при уходе за бетоном пленкообразующими материалами в условиях континентального сухого и жаркого климата Таблица 27-06-007 Устройство швов в бетоне Таблица 27-06-008 Устройство шва-стыка в асфальтобетонном покрытии Таблица 27-06-009 Укладка сетки в дорожное покрытие Таблица 27-06-010 Устройство однослойных покрытий, устраиваемых машинами высокопроизводительного бетоноукладочного комплекта со скользящими формами Таблица 27-06-011 Устройство швов расширения Таблица 27-06-013 Устройство покрытий средствами малой механизации при примыкании к искусственным сооружениям. Таблица 27-06-014 Устройство одиночной шероховатой поверхностной обработки из битумной эмульсии и щебня фракции 5-10 мм с использованием распределителя щебня ЩРД-3,5 и автогудронатора СКД-100 Таблица 27-06-015 Устройство защитного слоя износа из литых эмульсионно-минеральных смесей Таблица 27-06-016 Устройство оснований внегородских автомобильных дорог механизированным способом с применением дорожного бетона Таблица 27-06-017 Устройство оснований городских проездов Таблица 27-06-018 Устройство оснований и покрытий из черного щебня Таблица 27-06-019 Устройство покрытий из холодных асфальтобетонных смесей Таблица 27-06-020 Устройство покрытия толщиной 4 см из горячих асфальтобетонных смесей Таблица 27-06-021 Расценки для корректировки таблицы 27-06-020 при изменении толщины покрытия на 0,5 см Таблица 27-06-022 Поверхностная обработка покрытий органическими вяжущими Таблица 27-06-023 Поверхностная обработка с применением мытого щебня Таблица 27-06-024 Укладка, полупропитка и пропитка щебеночных оснований и покрытий Таблица 27-06-025 Устройство оснований из готовой цементогрунтовой смеси толщиной 16 см с применением профилировщиков со скользящими формами Таблица 27-06-026 Розлив вяжущих материалов Таблица 27-06-027 Добавка гравия, песка или песчано-гравийной смеси Таблица 27-06-028 Распределение порошкообразных добавок Таблица 27-06-029 Устройство покрытия толщиной 4 см из горячих асфальтобетонных смесей с применением асфальтоукладчика «Титан-325» и перегружателя «Шаттл-Багги SВ-2500С» Таблица 27-06-030 Расценки для корректировки таблицы 27-06-029 при изменении толщины слоя на 0,5 см Раздел 7. Дорожки и тротуары Таблица 27-06-031 Устройство покрытия из горячих асфальтобетонных смесей асфальтоукладчиками типа «VOGELE» Таблица 27-06-032 Расценки для корректировки таблицы 27-06-031 Таблица 27-06-033 Устройство дорожного покрытия средней толщиной 8 см комплексом «REMIXER» методом регенерации. Таблица 27-06-034 Устройство покрытия толщиной 4 см из литой асфальтобетонной смеси на проезжей части мостовых сооружений Таблица 27-06-035 Подгрунтовочные работы путем розлива битумной эмульсии с применением автогудронатора на базе Volvo FEE 42R Таблица 27-06-036 Санация трещин в асфальтобетонном покрытии битумно-герметизирующей мастикой с применением комплекта машин для разделки трещин "PCR-25" и плавильно-заливочной машины "MAGMA 110 DH" Таблица 27-06-037 Санация трещин в асфальтобетонном покрытии битумно-герметизирующей мастикой с применением импортного комплекта машин для разделки трещин "PCR-25" и плавильно-заливочной машины "MAGMA 110 DHC" Таблица 27-06-040 Регенерация дорожного полотна с применением дорожной фрезы RX-700 ROADTEC с добавлением битумной эмульсии Таблица 27-06-041 Устройство верхнего слоя основания или нижнего слоя покрытая из асфальтогранулобетонной смеси типа Э с применением асфальтоукладчика «TITAN-325» Таблица 27-06-042 Дробление и регенерация дорожного полотна перемешиванием смеси с применением дорожной фрезы RX-700 ROADTEC с добавлением минеральных добавок (щебень, гравий) Таблица 27-07-001 Устройство асфальтобетонных покрытий дорожек и тротуаров Таблица 27-07-002 Устройство оснований под тротуары из кирпичного или известнякового щебня Таблица 27-07-003 Устройство бетонных плитных тротуаров с заполнением швов Таблица 27-07-004 Устройство деревянных тротуаров Таблица 27-07-005 Устройство покрытий из тротуарной плитки Таблица 27-07-006 Устройство покрытия дорожек и тротуаров из горячих асфальтобетонных смесей асфальтоукладчиками типа «VOGELE» малых типоразмеров Таблица 27-07-007 Устройство внутриквартальных щебеночных дорожек и площадок из щебня Таблица 27-07-008 Устройство покрытий из гранитных плит тротуаров Раздел 8. Укрепительные полосы у краев дорожных покрытий и укрепление обочин Таблица 27-08-001 Устройство укрепительных полос и укрепление обочин Таблица 27-08-002 Устройство укрепительных полос из сборных железобетонных плит Таблица 27-08-003 Укрепление земляных откосов после механизированной планировки с применением Раздел 9. Обустройство дорог Таблица 27-09-001 Устройство защитных ограждений Таблица 27-09-002 Установка барьерного дорожного металлического ограждения Таблица 27-09-003 Установка барьерных ограждений на подходах к мостам и путепроводам Таблица 27-09-004 Установка столбиков сигнальных и тумб деревянных простых Таблица 27-09-005 Изготовление и установка перил и тумб с дощатым ограждением Таблица 27-09-006 Устройство средств технического регулирования Таблица 27-09-007 Устройство удерживающих металлических барьерных ограждений Таблица 27-09-008 Установка дорожных знаков бесфундаментных Таблица 27-09-009 Установка дорожных знаков на сборных железобетонных фундаментах и металлических стойках Таблица 27-09-010 Установка дорожных знаков на сборных железобетонных фундаментах и сборных железобетонных и асбестоцементных стойках Таблица 27-09-011 Установка дорожных знаков на металлических рамных конструкциях Таблица 27-09-012 Установка дополнительных щитков Таблица 27-09-016 Разметка проезжей части краской Таблица 27-09-017 Разметка проезжей части термопластиком Таблица 27-09-018 Нанесение линии горизонтальной дорожной разметки краской со световозвращающими элементами. Таблица 27-09-019 Нанесение обозначений движения по полосам со световозвращающими элементами Таблица 27-09-020 Монтаж искусственной дорожной неровности (ИДН) Таблица 27-09-021 Установка световозвращающих элементов типа КД-3 ЗМ серия 290 (катафоты белые двусторонние RPM-290-2W) на автодорогах Таблица 27-09-022 Устройство цветного противоскользящего дорожного покрытия Таблица 27-09-023 Монтаж блока торможения магистрального (БТМ) Таблица 27-09-030 Устройство вертикальной дорожной разметки на металлических барьерных ограждениях из защитных пластиковых панелей Раздел 10. Приготовление материалов Таблица 27-10-001 Приготовление битумных вяжущих материалов и эмульсий Таблица 27-10-002 Приготовление асфальтобетонных смесей из фракционного щебня (гравия) для горячей укладки. . . Таблица 27-10-003 Приготовление полимерно-битумного вяжущего Таблица 27-10-004 Приготовление полимерасфальтобетонных смесей Таблица 27-10-005 Приготовление черного фракционного щебня Таблица 27-10-006 Приготовление на инвентарном автоматизированном бетонном заводе в построечных условиях бетонных жестких смесей Таблица 27-10-007 Приготовление грунтовых смесей, обработанных вяжущими материалами, в установке, установленной в карьере Таблица 27-10-008 Приготовление камня Раздел 11. Дороги, колесопроводы, эстакады, слани и разъезды на болотах Таблица 27-11-001 Устройство дорог с однорядным настилом из бревен Таблица 27-11-002 Устройство колесопроводов для автомобилей грузоподъемностью до 5 т Таблица 27-11-003 Укладка сланей на болотах с плотным торфом под насыпи дорог Таблица 27-11-004 Устройство разъездов на колесопроводах Таблица 27-11-005 Устройство эстакад и проезжей части из бревен Таблица 27-11-006 Устройство пешеходных площадок Таблица 27-11-007 Устройство колесопроводов из сборных железобетонных плит Таблица 27-11-008 Устройство разъездов из сборных железобетонных плит Раздел 12. Устройство временных дорог Таблица 27-12-001 Устройство временных грунтовых дорог профилированных при работе в нулевых отметках Таблица 27-12-002 Устройство временных грунтовых дорог профилированных при работе выше нулевых отметок Таблица 27-12-003 Россыпь добавок песка для улучшения временных профилированных грунтовых дорог Таблица 27-12-004 Устройство покрытий временных дорог серповидного профиля толщиной слоя 15 см Таблица 27-12-005 Устройство и разборка временных лежневых дорог Таблица 27-12-008 Устройство и разборка временных колейных дорог из сборных железобетонных плит Таблица 27-12-009 Устройство и разборка временных разъездов Таблица 27-12-010 Устройство и разборка дорог из сборных железобетонных плит со сплошным покрытием | Разработан: | Сибирский центр ценообразования в строительстве, промышленности и энергетике
| Утверждён: | 13.10.2011 Правительство Ямало-Ненецкого автономного округа (755-п)
| Принят: | 05.07.2011 Министерство регионального развития Российской Федерации (17636-АП/08)
| Расположен в: |
|
                                                                                      
|