Информационная система
«Ёшкин Кот»

Скачать базу одним архивом
Скачать обновления
История создания базы
Карта сайта

Скачать ТЕР Ямало-Ненецкий автономный округ 06-2001 Часть 6. Бетонные и железобетонные конструкции монолитные. Территориальные единичные расценки на строительные и специальные строительные работы

Дата актуализации: 10.08.2017

ТЕР Ямало-Ненецкий автономный округ 06-2001

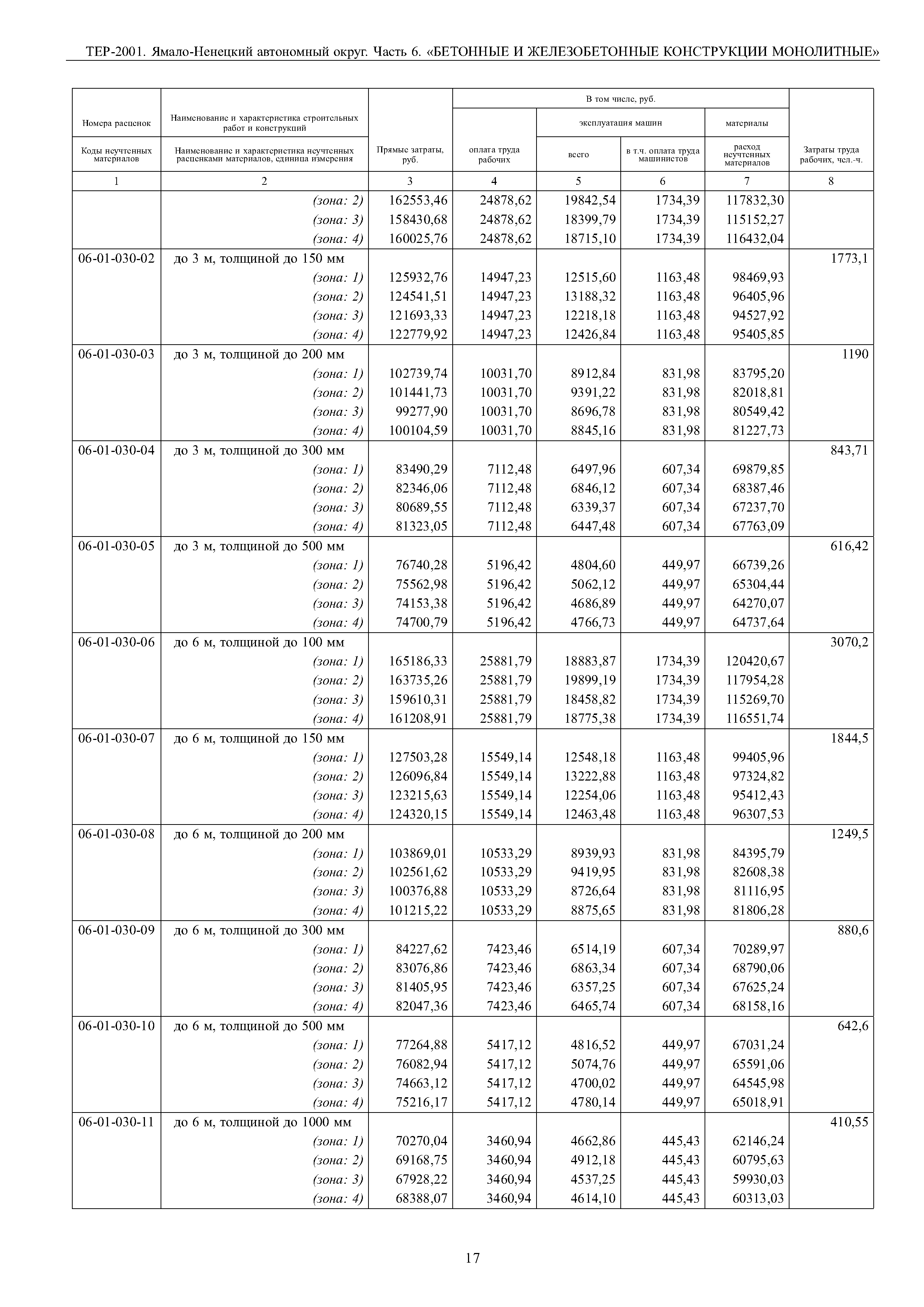
Часть 6. Бетонные и железобетонные конструкции монолитные. Территориальные единичные расценки на строительные и специальные строительные работы

Обозначение: ТЕР Ямало-Ненецкий автономный округ 06-2001
Обозначение англ: 06-2001
Статус:действует
Название рус.:Часть 6. Бетонные и железобетонные конструкции монолитные. Территориальные единичные расценки на строительные и специальные строительные работы
Дата добавления в базу:01.10.2014
Дата актуализации:05.05.2017
Область применения:Территориальные единичные расценки на строительные и специальные строительные работы предназначены для определения затрат при выполнении строительных работ и составления на их основе сметных расчетов (смет) на производство указанных работ.
Оглавление:Раздел 1. Бетонные и железобетонные конструкции монолитные
   Таблица 06-01-001 Устройство бетонной подготовки и фундаментов общего назначения
   Таблица 06-01-002 Устройство фундаментов под фабрично-заводские трубы и доменные печи
   Таблица 06-01-005 Устройство фундаментов общего назначения
   Таблица 06-01-006 Устройство фундаментов под оборудование прокатных цехов с листовыми станами
   Таблица 06-01-007 Устройство фундаментов под оборудование прокатных цехов с сортовыми станами
   Таблица 06-01-008 Устройство сгустителей обогатительных и агломерационных фабрик
   Таблица 06-01-009 Устройство фундаментов и сооружений на предприятиях целлюлозно-бумажной промышленности. .
   Таблица 06-01-012 Устройство опалубки (снизу) и поддерживающих ее конструкций для высоких ростверков
   Таблица 06-01-013 Устройство подливки толщиной 20 мм
   Таблица 06-01-014 Укладка бетона по перекрытиям толщиной I00 мм
   Таблица 06-01-015 Установка анкерных болтов
   Таблица 06-01-016 Сварка арматуры ванным способом
   Таблица 06-01-017 Технологический электропрогрев бетона
   Таблица 06-01-018 Устройство деформационного осадочного шва фундаментов под оборудование с заполнением битумом.
   Таблица 06-01-024 Устройство стен подвалов и подпорных стен
   Таблица 06-01-026 Устройство колонн в деревянной опалубке
   Таблица 06-01-027 Устройство колонн гражданских зданий в металлической опалубке
   Таблица 06-01-030 Устройство стен и перегородок бетонных и легкобетонных
   Таблица 06-01-031 Устройство железобетонных стен и перегородок
   Таблица 06-01-034 Устройство балок, перемычек
   Таблица 06-01-035 Устройство поясов
   Таблица 06-01-036 Устройство засыпки фундаментных балок
   Таблица 06-01-037 Устройство ригелей гражданских зданий в металлической опалубке
   Таблица 06-01-041 Устройство перекрытий
   Таблица 06-01-044 Устройство баритобетонных перегородок и изоляционного слоя из баритобетона
   Таблица 06-01-046 Устройство стен, днищ и перекрытий тоннелей и проходных каналов
   Таблица 06-01-049 Устройство бункеров общего назначения
   Таблица 06-01-052 Возведение стен в скользящей опалубке, устройство перекрытий элеваторов, мельниц
   Таблица 06-01-053 Устройство стен силосов диаметром 30 м для хранения сахара
   Таблица 06-01-054 Устройство стен силосов диаметром 12 м для сыпучих материалов
   Таблица 06-01-055 Установка и разборка скользящей опалубки шахтных башенных копров
   Таблица 06-01-056 Бетонирование стен шахтных башенных копров
   Таблица 06-01-057 Устройство стен и перегородок сооружений
   Таблица 06-01-058 Устройство рельсовых путей под самоходный агрегат для бетонирования стен
   Таблица 06-01-062 Устройство стен и плоских днищ
   Таблица 06-01-063 Строительство подземной части насосных станций
   Таблица 06-01-064 Строительство отдельных конструкций емкостных сооружений
   Таблица 06-01-067 Обработка поверхности емкостных сооружений
   Таблица 06-01-068 Устройство деформационных швов в емкостных сооружениях
   Таблица 06-01-069 Навивка арматурной стали на стены емкостных сооружений
   Таблица 06-01-070 Загрузка фильтров в емкостных сооружениях
   Таблица 06-01-071 Испытание и дезинфекция емкостей
   Таблица 06-01-072 Устройство одновентиляторных и секционных вентиляторных градирен
   Таблица 06-01-073 Бетонирование нижнего опорного кольца железобетонной оболочки градирни высотой до 150 м
   Таблица 06-01-074 Возведение оболочки градирен высотой до 90 м в скользящей опалубке
   Таблица 06-01-075 Возведение оболочек гиперболических градирен высотой до 150 м в переставной фанерной опалубке с помощью самоподъемных подмостей
   Таблица 06-01-080 Приготовление тяжелого бетона
   Таблица 06-01-081 Приготовление легкого бетона
   Таблица 06-01-082 Приготовление тяжелых кладочных растворов
   Таблица 06-01-083 Приготовление тяжелых отделочных растворов
   Таблица 06-01-084 Приготовление легких отделочных растворов
   Таблица 06-01-087 Монтаж и демонтаж крупнощитовой опалубки
   Таблица 06-01-088 Монтаж и демонтаж объемно-переставной («туннельной») опалубки
   Таблица 06-01-089 Монтаж и демонтаж блочной опалубки стен
   Таблица 06-01-090 Бетонирование конструкций стен в крупнощитовой, объемно-переставной и блочной опалубках (без вычета проемов)
   Таблица 06-01-091 Бетонирование перекрытий в крупнощитовой и объемно-переставной опалубках
   Таблица 06-01-092 Установка каркасов и сеток в стенах и перекрытиях
   Таблица 06-01-096 Монтаж скользящей опалубки
   Таблица 06-01-097 Установка арматуры
   Таблица 06-01-098 Бетонирование конструкций стен
   Таблица 06-01-099 Установка плит теплоизоляционного слоя
   Таблица 06-01-100 демонтаж скользящей опалубки
   Таблица 06-01-103 Возведение перекрытий в мелкощитовой опалубке
   Таблица 06-01-104 Установка арматуры в мелкощитовую опалубку перекрытий
   Таблица 06-01-107 Устройство колонн
   Таблица 06-01-108 Устройство стен
   Таблица 06-01-109 Устройство балок для перекрытий
Таблица 06-01-110 Устройство безбалочных перекрытий и покрытий
   Таблица 06-01-111 Устройство лестничных маршей
   Таблица 06-01-119 Устройство монолитных лестничных площадок в мелкощитовой опалубке (типа «Модостр»)
   Таблица 06-01-120 Устройство колонн железобетонных в опалубке типа «ПЕРИ»
   Таблица 06-01-121 Устройство железобетонных стен в опалубке типа «ПЕРИ»
   Таблица 06-01-122 Устройство железобетонных перекрытий в опалубке типа «ПЕРИ»
   Таблица 06-01-130 Устройство железобетонных наклонных стен в опалубке типа высотой до 10 м, толщиной до 200 мм, с углом наклона до 30 градусов (подача бетона в бадьях)
Разработан: Сибирский центр ценообразования в строительстве, промышленности и энергетике
Утверждён:13.10.2011 Правительство Ямало-Ненецкого автономного округа (755-п)
Принят:05.07.2011 Министерство регионального развития Российской Федерации (17636-АП/08)
Расположен в:Техническая документация Строительство Нормативные документы Нормативные документы субъектов Российской Федерации Нормативные документы Ямало-Ненецкого автономного округа Документы Системы нормативных документов в строительстве Нормативные документы по экономике к.81 Ценообразование и сметы Классификатор ISO Нормативные документы по экономике Ценообразование и сметы
ТЕР Ямало-Ненецкий автономный округ 06-2001ТЕР Ямало-Ненецкий автономный округ 06-2001ТЕР Ямало-Ненецкий автономный округ 06-2001ТЕР Ямало-Ненецкий автономный округ 06-2001ТЕР Ямало-Ненецкий автономный округ 06-2001ТЕР Ямало-Ненецкий автономный округ 06-2001ТЕР Ямало-Ненецкий автономный округ 06-2001ТЕР Ямало-Ненецкий автономный округ 06-2001ТЕР Ямало-Ненецкий автономный округ 06-2001ТЕР Ямало-Ненецкий автономный округ 06-2001ТЕР Ямало-Ненецкий автономный округ 06-2001ТЕР Ямало-Ненецкий автономный округ 06-2001ТЕР Ямало-Ненецкий автономный округ 06-2001ТЕР Ямало-Ненецкий автономный округ 06-2001ТЕР Ямало-Ненецкий автономный округ 06-2001ТЕР Ямало-Ненецкий автономный округ 06-2001ТЕР Ямало-Ненецкий автономный округ 06-2001ТЕР Ямало-Ненецкий автономный округ 06-2001ТЕР Ямало-Ненецкий автономный округ 06-2001ТЕР Ямало-Ненецкий автономный округ 06-2001ТЕР Ямало-Ненецкий автономный округ 06-2001ТЕР Ямало-Ненецкий автономный округ 06-2001ТЕР Ямало-Ненецкий автономный округ 06-2001ТЕР Ямало-Ненецкий автономный округ 06-2001ТЕР Ямало-Ненецкий автономный округ 06-2001ТЕР Ямало-Ненецкий автономный округ 06-2001ТЕР Ямало-Ненецкий автономный округ 06-2001ТЕР Ямало-Ненецкий автономный округ 06-2001ТЕР Ямало-Ненецкий автономный округ 06-2001ТЕР Ямало-Ненецкий автономный округ 06-2001ТЕР Ямало-Ненецкий автономный округ 06-2001ТЕР Ямало-Ненецкий автономный округ 06-2001ТЕР Ямало-Ненецкий автономный округ 06-2001ТЕР Ямало-Ненецкий автономный округ 06-2001ТЕР Ямало-Ненецкий автономный округ 06-2001ТЕР Ямало-Ненецкий автономный округ 06-2001ТЕР Ямало-Ненецкий автономный округ 06-2001ТЕР Ямало-Ненецкий автономный округ 06-2001ТЕР Ямало-Ненецкий автономный округ 06-2001ТЕР Ямало-Ненецкий автономный округ 06-2001ТЕР Ямало-Ненецкий автономный округ 06-2001ТЕР Ямало-Ненецкий автономный округ 06-2001ТЕР Ямало-Ненецкий автономный округ 06-2001ТЕР Ямало-Ненецкий автономный округ 06-2001ТЕР Ямало-Ненецкий автономный округ 06-2001ТЕР Ямало-Ненецкий автономный округ 06-2001ТЕР Ямало-Ненецкий автономный округ 06-2001ТЕР Ямало-Ненецкий автономный округ 06-2001ТЕР Ямало-Ненецкий автономный округ 06-2001ТЕР Ямало-Ненецкий автономный округ 06-2001ТЕР Ямало-Ненецкий автономный округ 06-2001ТЕР Ямало-Ненецкий автономный округ 06-2001ТЕР Ямало-Ненецкий автономный округ 06-2001ТЕР Ямало-Ненецкий автономный округ 06-2001ТЕР Ямало-Ненецкий автономный округ 06-2001ТЕР Ямало-Ненецкий автономный округ 06-2001ТЕР Ямало-Ненецкий автономный округ 06-2001ТЕР Ямало-Ненецкий автономный округ 06-2001ТЕР Ямало-Ненецкий автономный округ 06-2001ТЕР Ямало-Ненецкий автономный округ 06-2001ТЕР Ямало-Ненецкий автономный округ 06-2001ТЕР Ямало-Ненецкий автономный округ 06-2001ТЕР Ямало-Ненецкий автономный округ 06-2001ТЕР Ямало-Ненецкий автономный округ 06-2001ТЕР Ямало-Ненецкий автономный округ 06-2001

© 2013 Ёшкин Кот :-) Карта сайта