Информационная система
«Ёшкин Кот»

Скачать базу одним архивом
Скачать обновления
История создания базы
Карта сайта

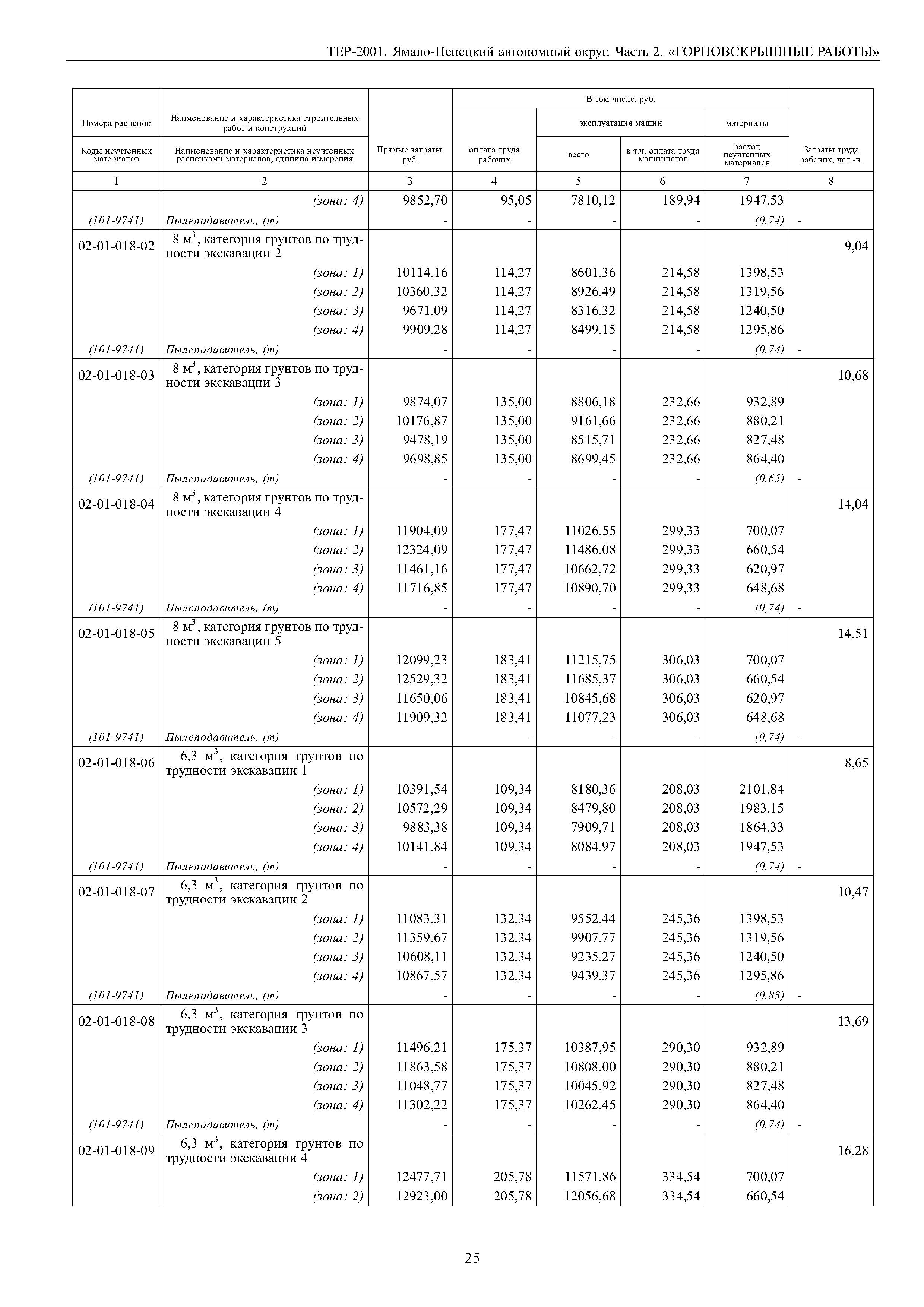
Скачать ТЕР Ямало-Ненецкий автономный округ 02-2001 Часть 2. Горновскрышные работы. Территориальные единичные расценки на строительные и специальные строительные работы

Дата актуализации: 10.08.2017

ТЕР Ямало-Ненецкий автономный округ 02-2001

Часть 2. Горновскрышные работы. Территориальные единичные расценки на строительные и специальные строительные работы

Обозначение: ТЕР Ямало-Ненецкий автономный округ 02-2001
Обозначение англ: 02-2001
Статус:действует
Название рус.:Часть 2. Горновскрышные работы. Территориальные единичные расценки на строительные и специальные строительные работы
Дата добавления в базу:01.10.2014
Дата актуализации:05.05.2017
Область применения:Территориальные единичные расценки на строительные и специальные строительные работы предназначены для определения затрат при выполнении строительных работ и составления на их основе сметных расчетов (смет) на производство указанных работ.
Оглавление:Часть 2. Горновскрышные работы
Отдел 01. Разработка грунта одноковшовыми экскаваторами
Раздел 1. Разработка грунта экскаваторами с укладкой на борт траншеи или в выработанное пространство
   Таблица 02-01-001 Разработка грунта экскаваторами с нормальным рабочим оборудованием прямая лопата
   Таблица 02-01-002 Разработка грунта экскаваторами с удлиненным рабочим оборудованием прямая лопата
   Таблица 02-01-003 Разработка грунта экскаваторами с рабочим оборудованием "драглайн"
Раздел 2. Разработка и погрузка грунта экскаваторами в железнодорожный транспорт
   Таблица 02-01-008 Разработка и погрузка грунта в железнодорожный транспорт экскаваторами с нормальным рабочим оборудованием прямая лопата
   Таблица 02-01-009 Разработка и погрузка грунта в железнодорожный транспорт экскаваторами с удлиненным рабочим оборудованием прямая лопата
   Таблица 02-01-010 Разработка и погрузка грунта в железнодорожный транспорт экскаваторами с рабочим оборудованием "драглайн"
Раздел 3. Разработка и погрузка грунта экскаваторами в автомобили-самосвалы
   Таблица 02-01-015 Разработка и погрузка грунта в автомобили-самосвалы грузоподъемностью 110 т экскаваторами с рабочим оборудованием прямая лопата
   Таблица 02-01-016 Разработка и погрузка грунта в автомобили-самосвалы грузоподъемностью 75 т экскаваторами с рабочим оборудованием прямая лопата
   Таблица 02-01-017 Разработка и погрузка грунта в автомобили-самосвалы грузоподъемностью 40 - 42 т экскаваторами с рабочим оборудованием прямая лопата
   Таблица 02-01-018 Разработка и погрузка грунта в автомобили-самосвалы грузоподъемностью 30 т экскаваторами с рабочим оборудованием прямая лопата
   Таблица 02-01-019 Разработка и погрузка грунта в автомобили-самосвалы грузоподъемностью 27 т экскаваторами с рабочим оборудованием прямая лопата
   Таблица 02-01-020 Разработка и погрузка грунта в автомобили-самосвалы грузоподъемностью 20 т экскаваторами с рабочим оборудованием прямая лопата
   Таблица 02-01-021 Разработка и погрузка грунта в автомобили-самосвалы грузоподъемностью 13,5 т экскаваторами с рабочим оборудованием прямая лопата
   Таблица 02-01-022 Разработка и погрузка грунта в автомобили-самосвалы грузоподъемностью 12 т экскаваторами с рабочим оборудованием прямая лопата
Раздел 4. Экскаваторное отвалообразование
   Таблица 02-01-027 Отвалообразование грунта экскаваторами с нормальным рабочим оборудованием прямая лопата
   Таблица 02-01-028 Отвалообразование грунта экскаваторами с удлиненным рабочим оборудованием прямая лопата
   Таблица 02-01-029 Отвалообразование грунта экскаваторами с рабочим оборудованием "драглайн"
Раздел 5. Бульдозерное отвалообразование
   Таблица 02-01-034 Отвалообразование грунта бульдозерами при автомобильном транспорте
Отдел 02. Разработка грунта скреперами
   Таблица 02-02-001 Разработка и перемещение грунта самоходными скреперами на расстояние до 300 м
   Таблица 02-02-002 Перемещение грунта самоходными скреперами на каждые последующие 100 м сверх 300 м, предусмотренных расценками таблицы 02-02-001
Разработан: Сибирский центр ценообразования в строительстве, промышленности и энергетике
Утверждён:13.10.2011 Правительство Ямало-Ненецкого автономного округа (755-п)
Принят:05.07.2011 Министерство регионального развития Российской Федерации (17636-АП/08)
Расположен в:Техническая документация Строительство Нормативные документы Нормативные документы субъектов Российской Федерации Нормативные документы Ямало-Ненецкого автономного округа Документы Системы нормативных документов в строительстве Нормативные документы по экономике к.81 Ценообразование и сметы Классификатор ISO Нормативные документы по экономике Ценообразование и сметы
ТЕР Ямало-Ненецкий автономный округ 02-2001ТЕР Ямало-Ненецкий автономный округ 02-2001ТЕР Ямало-Ненецкий автономный округ 02-2001ТЕР Ямало-Ненецкий автономный округ 02-2001ТЕР Ямало-Ненецкий автономный округ 02-2001ТЕР Ямало-Ненецкий автономный округ 02-2001ТЕР Ямало-Ненецкий автономный округ 02-2001ТЕР Ямало-Ненецкий автономный округ 02-2001ТЕР Ямало-Ненецкий автономный округ 02-2001ТЕР Ямало-Ненецкий автономный округ 02-2001ТЕР Ямало-Ненецкий автономный округ 02-2001ТЕР Ямало-Ненецкий автономный округ 02-2001ТЕР Ямало-Ненецкий автономный округ 02-2001ТЕР Ямало-Ненецкий автономный округ 02-2001ТЕР Ямало-Ненецкий автономный округ 02-2001ТЕР Ямало-Ненецкий автономный округ 02-2001ТЕР Ямало-Ненецкий автономный округ 02-2001ТЕР Ямало-Ненецкий автономный округ 02-2001ТЕР Ямало-Ненецкий автономный округ 02-2001ТЕР Ямало-Ненецкий автономный округ 02-2001ТЕР Ямало-Ненецкий автономный округ 02-2001ТЕР Ямало-Ненецкий автономный округ 02-2001ТЕР Ямало-Ненецкий автономный округ 02-2001ТЕР Ямало-Ненецкий автономный округ 02-2001ТЕР Ямало-Ненецкий автономный округ 02-2001ТЕР Ямало-Ненецкий автономный округ 02-2001ТЕР Ямало-Ненецкий автономный округ 02-2001ТЕР Ямало-Ненецкий автономный округ 02-2001ТЕР Ямало-Ненецкий автономный округ 02-2001ТЕР Ямало-Ненецкий автономный округ 02-2001ТЕР Ямало-Ненецкий автономный округ 02-2001ТЕР Ямало-Ненецкий автономный округ 02-2001ТЕР Ямало-Ненецкий автономный округ 02-2001ТЕР Ямало-Ненецкий автономный округ 02-2001ТЕР Ямало-Ненецкий автономный округ 02-2001ТЕР Ямало-Ненецкий автономный округ 02-2001ТЕР Ямало-Ненецкий автономный округ 02-2001ТЕР Ямало-Ненецкий автономный округ 02-2001ТЕР Ямало-Ненецкий автономный округ 02-2001ТЕР Ямало-Ненецкий автономный округ 02-2001ТЕР Ямало-Ненецкий автономный округ 02-2001ТЕР Ямало-Ненецкий автономный округ 02-2001ТЕР Ямало-Ненецкий автономный округ 02-2001ТЕР Ямало-Ненецкий автономный округ 02-2001ТЕР Ямало-Ненецкий автономный округ 02-2001ТЕР Ямало-Ненецкий автономный округ 02-2001

© 2013 Ёшкин Кот :-) Карта сайта