Информационная система
«Ёшкин Кот»

Скачать базу одним архивом
Скачать обновления
История создания базы
Карта сайта

Скачать ТЕРм Ямало-Ненецкий автономный округ 12-2001 Часть 12. Технологические трубопроводы

Дата актуализации: 10.08.2017

ТЕРм Ямало-Ненецкий автономный округ 12-2001

Часть 12. Технологические трубопроводы

Обозначение: ТЕРм Ямало-Ненецкий автономный округ 12-2001
Обозначение англ: 12-2001
Статус:действует
Название рус.:Часть 12. Технологические трубопроводы
Дата добавления в базу:01.10.2014
Дата актуализации:05.05.2017
Область применения:Территориальные единичные расценки на монтаж оборудования предназначены для определения затрат при выполнении монтажных работ и составления на их основе сметных расчетов (смет) на производство указанных работ.
Оглавление:Часть 12. Технологические трубопроводы
Отдел 01. Трубопроводы технологические цеховые
Раздел 1. Трубопроводы из труб углеродистых и качественных сталей
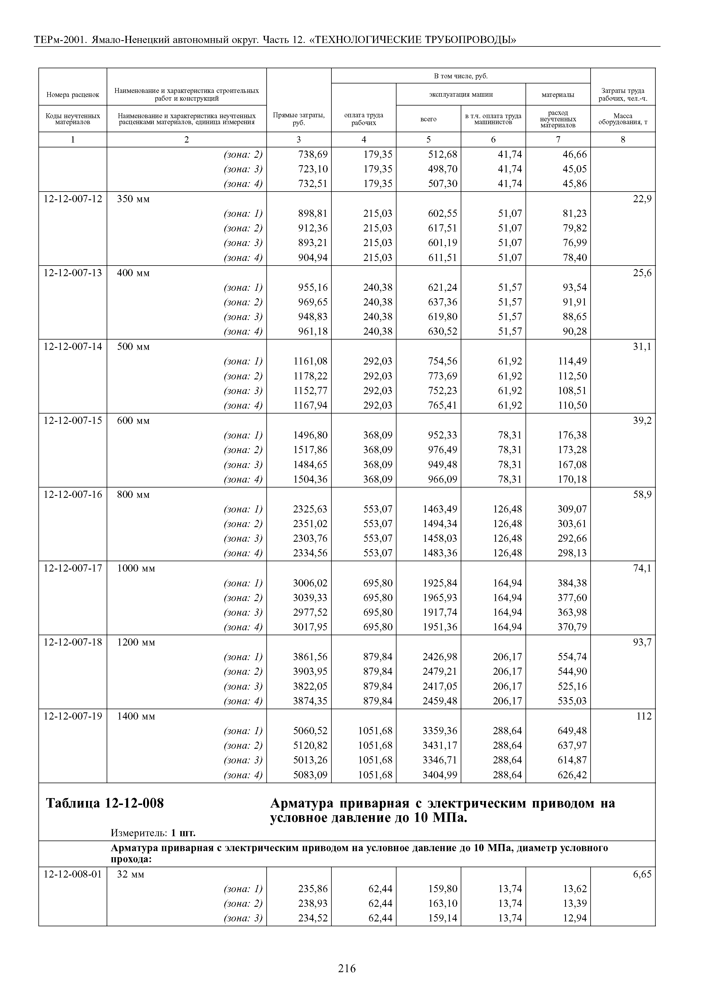
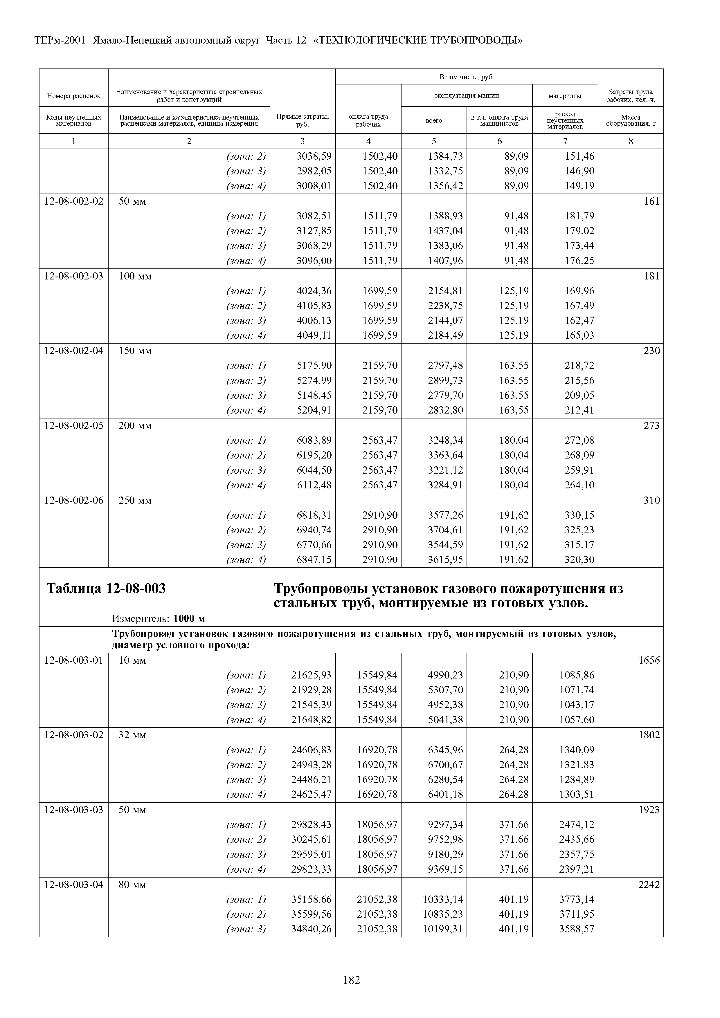
   Таблица 12-01-001 Трубопроводы из водогазопроводных труб с фитингами на резьбе
   Таблица 12-01-002 Трубопроводы в помещениях или на открытых площадках в пределах цехов, монтируемые из готовых узлов, на условное давление не более 2,5 МПа
   Таблица 12-01-003 Трубопроводы в помещениях или на открытых площадках в пределах цехов, монтируемые из готовых узлов, на условное давление не более 10 МПа
   Таблица 12-01-004 Трубопроводы в помещениях или на открытых площадках в пределах цехов, монтируемые из труб и готовых деталей, на условное давление не более 2,5 МПа
   Таблица 12-01-005 Трубопроводы в помещениях или на открытых площадках в пределах цехов, монтируемые из труб и готовых деталей, на условное давление не более 10 МПа
   Таблица 12-01-006 Трубопроводы в дизельных, насосно-компрессорных, парокотельных и тп., монтируемые из готовых узлов, на условное давление не более 2,5 МПа
   Таблица 12-01-007 Трубопроводы в дизельных, насосно-компрессорных, парокотельных и тп., монтируемые из готовых узлов, на условное давление не более 10 МПа
   Таблица 12-01-008 Трубопроводы в дизельных, насосно-компрессорных, парокотельных и тп., монтируемые из труб и готовых деталей, на условное давление не более 2,5 МПа
   Таблица 12-01-009 Трубопроводы в дизельных, насосно-компрессорных, парокотельных и тп., монтируемые из труб и готовых деталей, на условное давление не более 10 МПа
   Таблица 12-01-010 Труб
Разработан: Сибирский центр ценообразования в строительстве, промышленности и энергетике
Утверждён:13.10.2011 Правительство Ямало-Ненецкого автономного округа (755-п)
Принят:05.07.2011 Министерство регионального развития Российской Федерации (17636-АП/08)
Расположен в:Техническая документация Строительство Нормативные документы Нормативные документы субъектов Российской Федерации Нормативные документы Ямало-Ненецкого автономного округа
ТЕРм Ямало-Ненецкий автономный округ 12-2001ТЕРм Ямало-Ненецкий автономный округ 12-2001ТЕРм Ямало-Ненецкий автономный округ 12-2001ТЕРм Ямало-Ненецкий автономный округ 12-2001ТЕРм Ямало-Ненецкий автономный округ 12-2001ТЕРм Ямало-Ненецкий автономный округ 12-2001ТЕРм Ямало-Ненецкий автономный округ 12-2001ТЕРм Ямало-Ненецкий автономный округ 12-2001ТЕРм Ямало-Ненецкий автономный округ 12-2001ТЕРм Ямало-Ненецкий автономный округ 12-2001ТЕРм Ямало-Ненецкий автономный округ 12-2001ТЕРм Ямало-Ненецкий автономный округ 12-2001ТЕРм Ямало-Ненецкий автономный округ 12-2001ТЕРм Ямало-Ненецкий автономный округ 12-2001ТЕРм Ямало-Ненецкий автономный округ 12-2001ТЕРм Ямало-Ненецкий автономный округ 12-2001ТЕРм Ямало-Ненецкий автономный округ 12-2001ТЕРм Ямало-Ненецкий автономный округ 12-2001ТЕРм Ямало-Ненецкий автономный округ 12-2001ТЕРм Ямало-Ненецкий автономный округ 12-2001ТЕРм Ямало-Ненецкий автономный округ 12-2001ТЕРм Ямало-Ненецкий автономный округ 12-2001ТЕРм Ямало-Ненецкий автономный округ 12-2001ТЕРм Ямало-Ненецкий автономный округ 12-2001ТЕРм Ямало-Ненецкий автономный округ 12-2001ТЕРм Ямало-Ненецкий автономный округ 12-2001ТЕРм Ямало-Ненецкий автономный округ 12-2001ТЕРм Ямало-Ненецкий автономный округ 12-2001ТЕРм Ямало-Ненецкий автономный округ 12-2001ТЕРм Ямало-Ненецкий автономный округ 12-2001ТЕРм Ямало-Ненецкий автономный округ 12-2001ТЕРм Ямало-Ненецкий автономный округ 12-2001ТЕРм Ямало-Ненецкий автономный округ 12-2001ТЕРм Ямало-Ненецкий автономный округ 12-2001ТЕРм Ямало-Ненецкий автономный округ 12-2001ТЕРм Ямало-Ненецкий автономный округ 12-2001ТЕРм Ямало-Ненецкий автономный округ 12-2001ТЕРм Ямало-Ненецкий автономный округ 12-2001ТЕРм Ямало-Ненецкий автономный округ 12-2001ТЕРм Ямало-Ненецкий автономный округ 12-2001ТЕРм Ямало-Ненецкий автономный округ 12-2001ТЕРм Ямало-Ненецкий автономный округ 12-2001ТЕРм Ямало-Ненецкий автономный округ 12-2001ТЕРм Ямало-Ненецкий автономный округ 12-2001ТЕРм Ямало-Ненецкий автономный округ 12-2001ТЕРм Ямало-Ненецкий автономный округ 12-2001ТЕРм Ямало-Ненецкий автономный округ 12-2001ТЕРм Ямало-Ненецкий автономный округ 12-2001ТЕРм Ямало-Ненецкий автономный округ 12-2001ТЕРм Ямало-Ненецкий автономный округ 12-2001ТЕРм Ямало-Ненецкий автономный округ 12-2001ТЕРм Ямало-Ненецкий автономный округ 12-2001ТЕРм Ямало-Ненецкий автономный округ 12-2001ТЕРм Ямало-Ненецкий автономный округ 12-2001ТЕРм Ямало-Ненецкий автономный округ 12-2001ТЕРм Ямало-Ненецкий автономный округ 12-2001ТЕРм Ямало-Ненецкий автономный округ 12-2001ТЕРм Ямало-Ненецкий автономный округ 12-2001ТЕРм Ямало-Ненецкий автономный округ 12-2001ТЕРм Ямало-Ненецкий автономный округ 12-2001ТЕРм Ямало-Ненецкий автономный округ 12-2001ТЕРм Ямало-Ненецкий автономный округ 12-2001ТЕРм Ямало-Ненецкий автономный округ 12-2001ТЕРм Ямало-Ненецкий автономный округ 12-2001ТЕРм Ямало-Ненецкий автономный округ 12-2001ТЕРм Ямало-Ненецкий автономный округ 12-2001ТЕРм Ямало-Ненецкий автономный округ 12-2001ТЕРм Ямало-Ненецкий автономный округ 12-2001ТЕРм Ямало-Ненецкий автономный округ 12-2001ТЕРм Ямало-Ненецкий автономный округ 12-2001ТЕРм Ямало-Ненецкий автономный округ 12-2001ТЕРм Ямало-Ненецкий автономный округ 12-2001ТЕРм Ямало-Ненецкий автономный округ 12-2001ТЕРм Ямало-Ненецкий автономный округ 12-2001ТЕРм Ямало-Ненецкий автономный округ 12-2001ТЕРм Ямало-Ненецкий автономный округ 12-2001ТЕРм Ямало-Ненецкий автономный округ 12-2001ТЕРм Ямало-Ненецкий автономный округ 12-2001ТЕРм Ямало-Ненецкий автономный округ 12-2001ТЕРм Ямало-Ненецкий автономный округ 12-2001ТЕРм Ямало-Ненецкий автономный округ 12-2001ТЕРм Ямало-Ненецкий автономный округ 12-2001ТЕРм Ямало-Ненецкий автономный округ 12-2001ТЕРм Ямало-Ненецкий автономный округ 12-2001ТЕРм Ямало-Ненецкий автономный округ 12-2001ТЕРм Ямало-Ненецкий автономный округ 12-2001ТЕРм Ямало-Ненецкий автономный округ 12-2001ТЕРм Ямало-Ненецкий автономный округ 12-2001ТЕРм Ямало-Ненецкий автономный округ 12-2001ТЕРм Ямало-Ненецкий автономный округ 12-2001ТЕРм Ямало-Ненецкий автономный округ 12-2001ТЕРм Ямало-Ненецкий автономный округ 12-2001ТЕРм Ямало-Ненецкий автономный округ 12-2001ТЕРм Ямало-Ненецкий автономный округ 12-2001ТЕРм Ямало-Ненецкий автономный округ 12-2001ТЕРм Ямало-Ненецкий автономный округ 12-2001ТЕРм Ямало-Ненецкий автономный округ 12-2001ТЕРм Ямало-Ненецкий автономный округ 12-2001ТЕРм Ямало-Ненецкий автономный округ 12-2001ТЕРм Ямало-Ненецкий автономный округ 12-2001ТЕРм Ямало-Ненецкий автономный округ 12-2001ТЕРм Ямало-Ненецкий автономный округ 12-2001ТЕРм Ямало-Ненецкий автономный округ 12-2001ТЕРм Ямало-Ненецкий автономный округ 12-2001ТЕРм Ямало-Ненецкий автономный округ 12-2001ТЕРм Ямало-Ненецкий автономный округ 12-2001ТЕРм Ямало-Ненецкий автономный округ 12-2001ТЕРм Ямало-Ненецкий автономный округ 12-2001ТЕРм Ямало-Ненецкий автономный округ 12-2001ТЕРм Ямало-Ненецкий автономный округ 12-2001ТЕРм Ямало-Ненецкий автономный округ 12-2001ТЕРм Ямало-Ненецкий автономный округ 12-2001ТЕРм Ямало-Ненецкий автономный округ 12-2001ТЕРм Ямало-Ненецкий автономный округ 12-2001ТЕРм Ямало-Ненецкий автономный округ 12-2001ТЕРм Ямало-Ненецкий автономный округ 12-2001ТЕРм Ямало-Ненецкий автономный округ 12-2001ТЕРм Ямало-Ненецкий автономный округ 12-2001ТЕРм Ямало-Ненецкий автономный округ 12-2001ТЕРм Ямало-Ненецкий автономный округ 12-2001ТЕРм Ямало-Ненецкий автономный округ 12-2001ТЕРм Ямало-Ненецкий автономный округ 12-2001ТЕРм Ямало-Ненецкий автономный округ 12-2001ТЕРм Ямало-Ненецкий автономный округ 12-2001ТЕРм Ямало-Ненецкий автономный округ 12-2001ТЕРм Ямало-Ненецкий автономный округ 12-2001ТЕРм Ямало-Ненецкий автономный округ 12-2001ТЕРм Ямало-Ненецкий автономный округ 12-2001ТЕРм Ямало-Ненецкий автономный округ 12-2001ТЕРм Ямало-Ненецкий автономный округ 12-2001ТЕРм Ямало-Ненецкий автономный округ 12-2001ТЕРм Ямало-Ненецкий автономный округ 12-2001ТЕРм Ямало-Ненецкий автономный округ 12-2001ТЕРм Ямало-Ненецкий автономный округ 12-2001ТЕРм Ямало-Ненецкий автономный округ 12-2001ТЕРм Ямало-Ненецкий автономный округ 12-2001ТЕРм Ямало-Ненецкий автономный округ 12-2001ТЕРм Ямало-Ненецкий автономный округ 12-2001ТЕРм Ямало-Ненецкий автономный округ 12-2001ТЕРм Ямало-Ненецкий автономный округ 12-2001ТЕРм Ямало-Ненецкий автономный округ 12-2001ТЕРм Ямало-Ненецкий автономный округ 12-2001ТЕРм Ямало-Ненецкий автономный округ 12-2001ТЕРм Ямало-Ненецкий автономный округ 12-2001ТЕРм Ямало-Ненецкий автономный округ 12-2001ТЕРм Ямало-Ненецкий автономный округ 12-2001ТЕРм Ямало-Ненецкий автономный округ 12-2001ТЕРм Ямало-Ненецкий автономный округ 12-2001ТЕРм Ямало-Ненецкий автономный округ 12-2001ТЕРм Ямало-Ненецкий автономный округ 12-2001ТЕРм Ямало-Ненецкий автономный округ 12-2001ТЕРм Ямало-Ненецкий автономный округ 12-2001ТЕРм Ямало-Ненецкий автономный округ 12-2001ТЕРм Ямало-Ненецкий автономный округ 12-2001ТЕРм Ямало-Ненецкий автономный округ 12-2001ТЕРм Ямало-Ненецкий автономный округ 12-2001ТЕРм Ямало-Ненецкий автономный округ 12-2001ТЕРм Ямало-Ненецкий автономный округ 12-2001ТЕРм Ямало-Ненецкий автономный округ 12-2001ТЕРм Ямало-Ненецкий автономный округ 12-2001ТЕРм Ямало-Ненецкий автономный округ 12-2001ТЕРм Ямало-Ненецкий автономный округ 12-2001ТЕРм Ямало-Ненецкий автономный округ 12-2001ТЕРм Ямало-Ненецкий автономный округ 12-2001ТЕРм Ямало-Ненецкий автономный округ 12-2001ТЕРм Ямало-Ненецкий автономный округ 12-2001ТЕРм Ямало-Ненецкий автономный округ 12-2001ТЕРм Ямало-Ненецкий автономный округ 12-2001ТЕРм Ямало-Ненецкий автономный округ 12-2001ТЕРм Ямало-Ненецкий автономный округ 12-2001ТЕРм Ямало-Ненецкий автономный округ 12-2001ТЕРм Ямало-Ненецкий автономный округ 12-2001ТЕРм Ямало-Ненецкий автономный округ 12-2001ТЕРм Ямало-Ненецкий автономный округ 12-2001ТЕРм Ямало-Ненецкий автономный округ 12-2001ТЕРм Ямало-Ненецкий автономный округ 12-2001ТЕРм Ямало-Ненецкий автономный округ 12-2001ТЕРм Ямало-Ненецкий автономный округ 12-2001ТЕРм Ямало-Ненецкий автономный округ 12-2001ТЕРм Ямало-Ненецкий автономный округ 12-2001ТЕРм Ямало-Ненецкий автономный округ 12-2001ТЕРм Ямало-Ненецкий автономный округ 12-2001ТЕРм Ямало-Ненецкий автономный округ 12-2001ТЕРм Ямало-Ненецкий автономный округ 12-2001ТЕРм Ямало-Ненецкий автономный округ 12-2001ТЕРм Ямало-Ненецкий автономный округ 12-2001ТЕРм Ямало-Ненецкий автономный округ 12-2001ТЕРм Ямало-Ненецкий автономный округ 12-2001ТЕРм Ямало-Ненецкий автономный округ 12-2001ТЕРм Ямало-Ненецкий автономный округ 12-2001ТЕРм Ямало-Ненецкий автономный округ 12-2001ТЕРм Ямало-Ненецкий автономный округ 12-2001ТЕРм Ямало-Ненецкий автономный округ 12-2001ТЕРм Ямало-Ненецкий автономный округ 12-2001ТЕРм Ямало-Ненецкий автономный округ 12-2001ТЕРм Ямало-Ненецкий автономный округ 12-2001ТЕРм Ямало-Ненецкий автономный округ 12-2001ТЕРм Ямало-Ненецкий автономный округ 12-2001ТЕРм Ямало-Ненецкий автономный округ 12-2001ТЕРм Ямало-Ненецкий автономный округ 12-2001ТЕРм Ямало-Ненецкий автономный округ 12-2001ТЕРм Ямало-Ненецкий автономный округ 12-2001ТЕРм Ямало-Ненецкий автономный округ 12-2001ТЕРм Ямало-Ненецкий автономный округ 12-2001ТЕРм Ямало-Ненецкий автономный округ 12-2001ТЕРм Ямало-Ненецкий автономный округ 12-2001ТЕРм Ямало-Ненецкий автономный округ 12-2001ТЕРм Ямало-Ненецкий автономный округ 12-2001ТЕРм Ямало-Ненецкий автономный округ 12-2001ТЕРм Ямало-Ненецкий автономный округ 12-2001ТЕРм Ямало-Ненецкий автономный округ 12-2001ТЕРм Ямало-Ненецкий автономный округ 12-2001ТЕРм Ямало-Ненецкий автономный округ 12-2001ТЕРм Ямало-Ненецкий автономный округ 12-2001ТЕРм Ямало-Ненецкий автономный округ 12-2001ТЕРм Ямало-Ненецкий автономный округ 12-2001ТЕРм Ямало-Ненецкий автономный округ 12-2001ТЕРм Ямало-Ненецкий автономный округ 12-2001ТЕРм Ямало-Ненецкий автономный округ 12-2001ТЕРм Ямало-Ненецкий автономный округ 12-2001ТЕРм Ямало-Ненецкий автономный округ 12-2001ТЕРм Ямало-Ненецкий автономный округ 12-2001ТЕРм Ямало-Ненецкий автономный округ 12-2001ТЕРм Ямало-Ненецкий автономный округ 12-2001ТЕРм Ямало-Ненецкий автономный округ 12-2001ТЕРм Ямало-Ненецкий автономный округ 12-2001ТЕРм Ямало-Ненецкий автономный округ 12-2001ТЕРм Ямало-Ненецкий автономный округ 12-2001ТЕРм Ямало-Ненецкий автономный округ 12-2001ТЕРм Ямало-Ненецкий автономный округ 12-2001ТЕРм Ямало-Ненецкий автономный округ 12-2001ТЕРм Ямало-Ненецкий автономный округ 12-2001ТЕРм Ямало-Ненецкий автономный округ 12-2001ТЕРм Ямало-Ненецкий автономный округ 12-2001ТЕРм Ямало-Ненецкий автономный округ 12-2001ТЕРм Ямало-Ненецкий автономный округ 12-2001ТЕРм Ямало-Ненецкий автономный округ 12-2001ТЕРм Ямало-Ненецкий автономный округ 12-2001ТЕРм Ямало-Ненецкий автономный округ 12-2001ТЕРм Ямало-Ненецкий автономный округ 12-2001ТЕРм Ямало-Ненецкий автономный округ 12-2001ТЕРм Ямало-Ненецкий автономный округ 12-2001ТЕРм Ямало-Ненецкий автономный округ 12-2001ТЕРм Ямало-Ненецкий автономный округ 12-2001ТЕРм Ямало-Ненецкий автономный округ 12-2001ТЕРм Ямало-Ненецкий автономный округ 12-2001ТЕРм Ямало-Ненецкий автономный округ 12-2001ТЕРм Ямало-Ненецкий автономный округ 12-2001ТЕРм Ямало-Ненецкий автономный округ 12-2001ТЕРм Ямало-Ненецкий автономный округ 12-2001ТЕРм Ямало-Ненецкий автономный округ 12-2001ТЕРм Ямало-Ненецкий автономный округ 12-2001ТЕРм Ямало-Ненецкий автономный округ 12-2001ТЕРм Ямало-Ненецкий автономный округ 12-2001ТЕРм Ямало-Ненецкий автономный округ 12-2001ТЕРм Ямало-Ненецкий автономный округ 12-2001ТЕРм Ямало-Ненецкий автономный округ 12-2001ТЕРм Ямало-Ненецкий автономный округ 12-2001ТЕРм Ямало-Ненецкий автономный округ 12-2001ТЕРм Ямало-Ненецкий автономный округ 12-2001ТЕРм Ямало-Ненецкий автономный округ 12-2001ТЕРм Ямало-Ненецкий автономный округ 12-2001ТЕРм Ямало-Ненецкий автономный округ 12-2001ТЕРм Ямало-Ненецкий автономный округ 12-2001ТЕРм Ямало-Ненецкий автономный округ 12-2001ТЕРм Ямало-Ненецкий автономный округ 12-2001ТЕРм Ямало-Ненецкий автономный округ 12-2001ТЕРм Ямало-Ненецкий автономный округ 12-2001ТЕРм Ямало-Ненецкий автономный округ 12-2001ТЕРм Ямало-Ненецкий автономный округ 12-2001ТЕРм Ямало-Ненецкий автономный округ 12-2001ТЕРм Ямало-Ненецкий автономный округ 12-2001ТЕРм Ямало-Ненецкий автономный округ 12-2001ТЕРм Ямало-Ненецкий автономный округ 12-2001ТЕРм Ямало-Ненецкий автономный округ 12-2001ТЕРм Ямало-Ненецкий автономный округ 12-2001ТЕРм Ямало-Ненецкий автономный округ 12-2001ТЕРм Ямало-Ненецкий автономный округ 12-2001ТЕРм Ямало-Ненецкий автономный округ 12-2001ТЕРм Ямало-Ненецкий автономный округ 12-2001ТЕРм Ямало-Ненецкий автономный округ 12-2001ТЕРм Ямало-Ненецкий автономный округ 12-2001ТЕРм Ямало-Ненецкий автономный округ 12-2001ТЕРм Ямало-Ненецкий автономный округ 12-2001ТЕРм Ямало-Ненецкий автономный округ 12-2001ТЕРм Ямало-Ненецкий автономный округ 12-2001

© 2013 Ёшкин Кот :-) Карта сайта