Скачать ТЕРм Ямало-Ненецкий автономный округ 08-2001 Часть 8. Электротехнические установкиДата актуализации: 10.08.2017 ТЕРм Ямало-Ненецкий автономный округ 08-2001
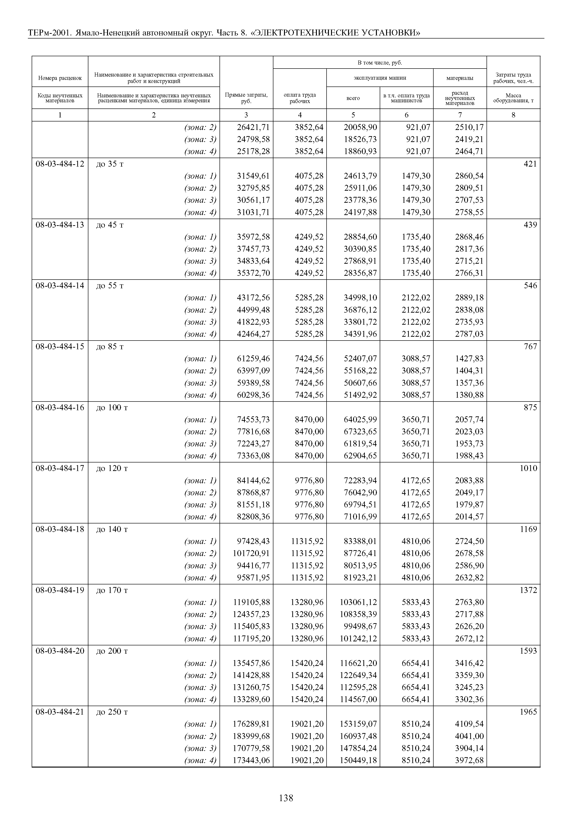
Часть 8. Электротехнические установкиОбозначение: | ТЕРм Ямало-Ненецкий автономный округ 08-2001 | Обозначение англ: | 08-2001 | Статус: | действует | Название рус.: | Часть 8. Электротехнические установки | Дата добавления в базу: | 01.10.2014 | Дата актуализации: | 05.05.2017 | Область применения: | Территориальные единичные расценки на монтаж оборудования предназначены для определения затрат при выполнении монтажных работ и составления на их основе сметных расчетов (смет) на производство указанных работ. | Оглавление: | Часть 8. Электротехнические установки Отдел 01. Распределительные устройства и подстанции Раздел 1. Распределительные устройства открытые 6-750 КВ Таблица 08-01-001 Трансформаторы и автотрансформаторы силовые Таблица 08-01-002 Трансформаторы для регулирования напряжения Таблица 08-01-003 Системы охлаждения трансформаторов Таблица 08-01-004 Реакторы масляные Таблица 08-01-005 Подсушка изоляции трансформаторов, автотрансформаторов и реакторов Таблица 08-01-006 Трансформаторы тока Таблица 08-01-007 Трансформаторы напряжения Таблица 08-01-008 Выключатели воздушные Таблица 08-01-009 Выключатели масляные Таблица 08-01-010 Обработка и защита трансформаторного масла Таблица 08-01-011 Разъединители Таблица 08-01-012 Отделители Таблица 08-01-013 Заземлители Таблица 08-01-014 Короткозамыкатели Таблица 08-01-015 Разрядники вентильные и ограничители перенапряжений Таблица 08-01-016 Предохранители Таблица 08-01-017 Опоры шинные и изоляторы опорные Таблица 08-01-018 Изоляторы проходные и вводы линейные маслонаполненные Таблица 08-01-019 Прогрев маслонаполненных вводов Таблица 08-01-020 Гирлянды поддерживающие Таблица 08-01-021 Ошиновка гибкая Таблица 08-01-022 Ошиновка жесткая Таблица 08-01-023 Спуски, петли и перемычки Таблица 08-01-024 Токопроводы подвесные генераторного напряжения Таблица 08-01-025 Подстанции комплектные трансформаторные и блоки с оборудованием для комплектных подстанций Таблица 08-01-026 Распределительные устройства комплектные 6-10 кВ Таблица 08-01-027 Распределительные устройства комплектные блочные 110 кВ Раздел 2. Распределительные устройства закрытые 35-220 КВ Таблица 08-01-042 Изоляторы Таблица 08-01-043 Разъединители Таблица 08-01-044 Выключатели Таблица 08-01-045 Ошиновка гибкая Таблица 08-01-046 Ошиновка из алюминиевых шин Раздел 3. Распределительные устройства закрытые 3-20 КВ Таблица 08-01-052 Изоляторы Таблица 08-01-053 Трансформаторы тока Таблица 08-01-054 Трансформаторы напряжения Таблица 08-01-055 Разъединители однополюсные Таблица 08-01-056 Разъединители трехполюсные Таблица 08-01-057 Приводы к разъединителям Таблица 08-01-058 Выключатели нагрузки Таблица 08-01-059 Выключатели масляные Таблица 08-01-060 Выключатели воздушные Таблица 08-01-061 Предохранители Таблица 08-01-062 Трансформаторы, автотрансформаторы и реакторы Таблица 08-01-063 Реакторы бетонные Таблица 08-01-064 Сушка масла Таблица 08-01-065 Заливка электрооборудования сухим трансформаторным маслом Таблица 08-01-066 Разрядники Таблица 08-01-067 Конденсаторы статические и комплектные конденсаторные установки Таблица 08-01-068 Шины сборные - одна полоса в фазе Таблица 08-01-069 Шины сборные - две полосы в фазе Таблица 08-01-070 Шины сборные - три полосы в фазе Таблица 08-01-071 Шины сборные - четыре полосы в фазе Таблица 08-01-072 Шины ответвительные - одна полоса в фазе Таблица 08-01-073 Шины ответвительные - две полосы в фазе Таблица 08-01-074 Шины ответвительные - три полосы в фазе Таблица 08-01-075 Шины ответвительные - четыре полосы в фазе Таблица 08-01-076 Шины круглые Таблица 08-01-077 Токопроводы неэкранированные из алюминиевых шин Таблица 08-01-078 Токопроводы экранированные из алюминиевых шин Таблица 08-01-079 Мосты шинные для сборных распределительных устройств Таблица 08-01-080 Приборы измерения и защиты Таблица 08-01-081 Аппараты управления и сигнализации Таблица 08-01-082 Зажимы наборные Таблица 08-01-083 Устройства сигнально-блокировочные Таблица 08-01-084 Камеры сборных распределительных устройств Таблица 08-01-085 Шкафы комплектных распределительных устройств Таблица 08-01-086 Комплектные трансформаторные подстанции (КТП) Таблица 08-01-087 Ограждения, плиты и металлические конструкции под оборудование Раздел 4. Преобразовательные устройства Таблица 08-01-101 Преобразователи Таблица 08-01-102 Шкафы управления и регулирования Таблица 08-01-103 Шкафы с быстродействующими автоматами Таблица 08-01-104 Теплообменники для преобразовательных устройств Таблица 08-01-105 Автоматические выпрямительные устройства (АВУ) Раздел 5. Аккумуляторные установки Таблица 08-01-121 Аккумуляторы кислотные стационарные Таблица 08-01-122 Формирование и контрольный заряд-разряд аккумуляторных батарей Таблица 08-01-123 Стеллажи для аккумуляторов Таблица 08-01-124 Доски проходные в аккумуляторных помещениях Отдел 02. Канализация электроэнергии и электрические сети Раздел 1. Кабельные линии до 500 КВ Таблица 08-02-141 Кабели до 35 кВ в готовых траншеях без покрытий Таблица 08-02-142 Устройство постели для кабеля Таблица 08-02-143 Покрытие кабеля, проложенного в траншее Таблица 08-02-144 Присоединение к зажимам жил проводов или кабелей Таблица 08-02-145 Кабели до 35 кВ, прокладываемые по дну канала без креплений Таблица 08-02-146 Кабели до 35 кВ с креплением накладными скобами Таблица 08-02-147 Кабели до 35 кВ по установленным конструкциям и лоткам Таблица 08-02-148 Кабели до 35 кВ в проложенных трубах, блоках и коробах Таблица 08-02-149 Кабели до 35 кВ, подвешиваемые на тросе Таблица 08-02-150 Подвеска самонесущих изолированных проводов (СИП-2А) напряжением от 0,4 кВ до 1 кВ (со снятием напряжения) Таблица 08-02-151 Кабели до 35 кВ, прокладываемые по непроходным эстакадам Таблица 08-02-152 Конструкции металлические кабельные Таблица 08-02-153 Короба для прокладки кабелей внутри и снаружи зданий Таблица 08-02-154 Плиты асбестоцементные Таблица 08-02-155 Герметизация проходов при вводе кабелей Таблица 08-02-156 Короба (кожухи) и кассеты для герметизации проходов кабелей через стены во взрывоопасных помещениях Таблица 08-02-157 Снятие с кабеля верхнего джутового покрова Таблица 08-02-158 Заделки концевые сухие Таблица 08-02-159 Заделки концевые сухие в резиновой перчатке Таблица 08-02-160 Заделки концевые эпоксидные Таблица 08-02-161 Заделки концевые сухие с применением бандажирующих муфт для контрольного кабеля Таблица 08-02-162 Заделки концевые из самосклеивающихся лент Таблица 08-02-163 Заделки концевые с термоусаживающимися полиэтиленовыми перчатками Таблица 08-02-164 Муфты мачтовые концевые металлические Таблица 08-02-165 Муфты концевые эпоксидные Таблица 08-02-166 Муфты соединительные свинцовые с защитным кожухом Таблица 08-02-167 Муфты соединительные эпоксидные Таблица 08-02-168 Муфты соединительные поливинилхлоридные для контрольных небронированных кабелей Таблица 08-02-169 Муфты соединительные эпоксидные усовершенствованной конструкции Таблица 08-02-170 Муфты концевые из пластмассового корпуса с заливкой эпоксидным компаундом Таблица 08-02-171 Лотки стальные для крепления соединительных муфт Таблица 08-02-172 Кожухи защитные для эпоксидных муфт Таблица 08-02-173 Кабели маслонаполненные Таблица 08-02-174 Трубопроводы для маслонаполненных кабельных линий высокого давления Таблица 08-02-175 Муфты для кабеля 35 кВ и выше Таблица 08-02-176 Кабели 110 кВ и выше с пластмассовой изоляцией Таблица 08-02-177 Указатели кабельных трасс Таблица 08-02-178 Маслоподпитывающее оборудование Таблица 08-02-179 Обработка кабельного масла и заполнение им кабелепровода Таблица 08-02-180 Выводы питания контактных сетей городского транспорта с установкой конструкций Таблица 08-02-181 Бустеры для отсасывающих кабелей трамвая с установкой муфт Таблица 08-02-182 Ящики или короба кабельные для контактных сетей городского транспорта Раздел 2. Сети контактные городского транспорта Таблица 08-02-301 Кронштейны на установленных опорах Таблица 08-02-302 Поперечины Таблица 08-02-303 Элементы системы подвески контактных сетей и продольно-несущих тросов Таблица 08-02-304 Анкеровки средние и струнки Таблица 08-02-305 Хомуты, розетки, крюки стенные и траверсы Таблица 08-02-306 Изоляторы Таблица 08-02-307 Подвесы потолочные и узлы подвешивания Таблица 08-02-308 Перемычки междупутные Таблица 08-02-309 Винты температурные и криводержатели Таблица 08-02-310 Провода контактные трамвая Таблица 08-02-311 Провода контактные троллейбуса Таблица 08-02-312 Провода контактные троллейбуса при продольно-цепной и полукомпенсированной подвеске Таблица 08-02-313 Стрелки и пересечения Таблица 08-02-314 Посты управления Таблица 08-02-315 Электроприводы и салазки стрелок трамвая Таблица 08-02-316 Провода контактно-сигнальные Таблица 08-02-317 Указатели, реле, сигнальные светофоры и стрелки Таблица 08-02-318 Оттяжки Раздел 3. Сети контактные метрополитена Таблица 08-02-331 Устройства в тоннелях метрополитена Таблица 08-02-332 Устройства на наземных участках метрополитена Раздел 4. Сети контактные промышленного транспорта Таблица 08-02-341 Подвеска контактной сети на консолях Таблица 08-02-342 Подвеска контактной сети на гибких и жестких поперечинах Таблица 08-02-343 Подвеска контактной сети в тоннелях, под мостами и путепроводами Таблица 08-02-344 Передвижные контактные сети с боковой подвеской контактного провода Таблица 08-02-345 Рельсовые и шинные отсасывающие сети Таблица 08-02-346 Заземление Таблица 08-02-347 Воздушные питающие, отсасывающие и усиливающие сети Раздел 5. Электроосвещение наружное Таблица 08-02-361 Колонки Таблица 08-02-362 Цоколи к опорам Таблица 08-02-363 Кронштейны специальные на опорах для светильников Таблица 08-02-364 Кронштейны "Переход" Таблица 08-02-365 Растяжки Таблица 08-02-366 Планки Таблица 08-02-367 Провода Таблица 08-02-368 Провода, подвешиваемые на тросе Таблица 08-02-369 Светильники, устанавливаемые вне зданий Таблица 08-02-370 Щитки Таблица 08-02-371 Пускорегулирующие аппараты (ПРА) отдельно стоящие Таблица 08-02-372 Предохранители столбовые Таблица 08-02-373 Провода на переходах Таблица 08-02-374 Устройство вводов Раздел 6. Сети проводок в зданиях и сооружениях Таблица 08-02-391 Провода по деревянному основанию Таблица 08-02-392 Провода по роликам Таблица 08-02-394 Проводки тросовые Таблица 08-02-395 Лотки металлические Таблица 08-02-396 Короба металлические Таблица 08-02-397 Профили перфорированные монтажные Таблица 08-02-398 Провода в лотках Таблица 08-02-399 Провода в коробах Таблица 08-02-400 Провода по перфорированным профилям Таблица 08-02-401 Кабели с креплением накладными скобами, полосками с установкой ответвительных коробок Таблица 08-02-402 Кабели по установленным конструкциям и лоткам с установкой ответвительных коробок Таблица 08-02-403 Провода групповых осветительных сетей Таблица 08-02-404 Провода магистралей, стояков и силовых сетей в готовых каналах или асбестоцементных трубах Таблица 08-02-405 Провода по стальным конструкциям и панелям Таблица 08-02-406 Конструкции металлические для труб Таблица 08-02-407 Трубы стальные по установленным конструкциям Таблица 08-02-408 Трубы стальные во взрывоопасных и пожароопасных помещениях по установленным конструкциям Таблица 08-02-409 Трубы винипластовые по установленным конструкциям Таблица 08-02-410 Трубы полиэтиленовые Таблица 08-02-411 Рукава металлические и вводы гибкие Таблица 08-02-412 Затягивание проводов в проложенные трубы и металлические рукава Таблица 08-02-413 Провод в резинобитумных трубках Таблица 08-02-414 Конструкции металлические для шинопроводов Таблица 08-02-415 Шинопроводы открытые Таблица 08-02-416 Шинопроводы закрытые магистральные переменного тока Таблица 08-02-417 Шинопроводы закрытые распределительные переменного тока Таблица 08-02-418 Шинопроводы закрытые постоянного тока Таблица 08-02-419 Шинопроводы осветительные Таблица 08-02-420 Коробки ответвительные к распределительному шинопроводу Таблица 08-02-421 Проводки модульные Таблица 08-02-422 Затягивание проводов в электротехнический плинтус Раздел 7. Шины тяжелые Таблица 08-02-452 Шины для мощных алюминиевых электролизных ванн Раздел 8. Сети заземления электротехнических установок Таблица 08-02-471 Заземлители Таблица 08-02-472 Заземляющие проводники Отдел 03. Электросиловые и электроосветительные установки Раздел 1. Электрические машины Таблица 08-03-481 Электрические машины со щитовыми подшипниками, поступающие в собранном виде Таблица 08-03-482 Электрические машины фланцевые с горизонтальным или вертикальным валом, поступающие в собранном виде Таблица 08-03-483 Электрические машины со стояковыми подшипниками, с горизонтальным валом, поступающие в собранном виде Таблица 08-03-484 Электрические машины со стояковыми подшипниками, с горизонтальным валом, поступающие в разобранном виде Таблица 08-03-485 Электрические машины с вертикальным валом, поступающие в разобранном виде Таблица 08-03-486 Электрические машины двухъякорные, поступающие в разобранном виде Таблица 08-03-487 Электрическая часть генераторов для паровых турбин Таблица 08-03-488 Синхронные компенсаторы Таблица 08-03-489 Агрегаты, поступающие в собранном виде Таблица 08-03-490 Агрегаты, поступающие в разобранном виде Таблица 08-03-491 Тахогенераторы и центробежные выключатели Таблица 08-03-492 Шкивы, муфты, полумуфты, шестерни Таблица 08-03-493 Электромагнитные муфты Таблица 08-03-494 Флажковые (фигурные) кабельные наконечники Раздел 2. Токоподвод к подъемно-транспортным установкам Таблица 08-03-501 Троллеи для кранов (кроме напольных) из профильной стали и алюминиевого сплава Таблица 08-03-502 Троллеи для напольных кранов и тележек из профильной стали Таблица 08-03-503 Троллеи для кранов (кроме напольных) из троллейных секций и комплектные троллейные устройства заводского изготовления Таблица 08-03-504 Троллеи для напольных кранов и тележек из троллейных секций заводского изготовления Таблица 08-03-505 Шины алюминиевые для подпитки троллеев Таблица 08-03-506 Троллеи для электрических талей трехфазные из профильной стали Таблица 08-03-507 Гибкий токоподвод к электрическим талям, кранам и другим передвижным механизмам Таблица 08-03-508 Токоприемники Таблица 08-03-509 Аппаратура защиты Таблица 08-03-510 Электромагниты подъемные (электрическая часть) и барабаны кабельные Таблица 08-03-511 Шинопроводы троллейные Раздел 3. Устройства пускорегулирующие Таблица 08-03-521 Рубильники (выключатели, разъединители) Таблица 08-03-522 Переключатели (рубильники переключающие) Таблица 08-03-523 Предохранители Таблица 08-03-524 Ящики и шкафы с рубильниками и предохранителями Таблица 08-03-525 Выключатели и переключатели пакетные, аппараты штепсельные Таблица 08-03-526 Выключатели установочные автоматические (автоматы) или неавтоматические Таблица 08-03-527 Устройства вводные Таблица 08-03-528 Реверсоры и контакторы высокого напряжения Таблица 08-03-529 Контакторы и блок-контакторы Таблица 08-03-530 Пускатели магнитные Таблица 08-03-531 Пускатели ручные Таблица 08-03-532 Посты управления кнопочные Таблица 08-03-533 Посты управления кнопочные подвесные Таблица 08-03-534 Переключатели универсальные Таблица 08-03-535 Командоаппараты нерегулируемые (командоконтроллеры) Таблица 08-03-536 Контроллеры кулачковые Таблица 08-03-537 Командоаппараты регулируемые (Путевые выключатели) Таблица 08-03-538 Выключатели путевые конечные и микропереключатели Таблица 08-03-539 Линейки ограничения хода механизмов Таблица 08-03-540 Реостаты и регуляторы установочные и возбуждения Таблица 08-03-541 Блоки резисторов (ящики сопротивлений) без ошиновки и других соединений между блоками Таблица 08-03-542 Электромагниты (электрическая часть) Таблица 08-03-543 Световые сигнальные приборы Таблица 08-03-544 Колонки распределительные для цеховых модульных распределительных сетей Таблица 08-03-545 Коробки (ящики) с зажимами и кожухи металлические для защиты вводов и электрооборудования Раздел 4. Низковольтные комплектные устройства Таблица 08-03-571 Щиты и стеллажи с блоками резисторов (ящиками сопротивления) высотой свыше 1700 мм Таблица 08-03-572 Блоки управления и распределительные пункты (шкафы) высотой до 1700 мм Таблица 08-03-573 Пульты и шкафы управления Таблица 08-03-574 Разводка по устройствам и подключение жил кабелей или проводов внешней сети к блокам зажимов и к зажимам аппаратов и приборов, установленных на устройствах Таблица 08-03-575 Приборы и аппараты, снятые перед транспортировкой Раздел 5. Приборы осветительные, нагревательные, щитки и счетчики Таблица 08-03-591 Выключатели, переключатели и штепсельные розетки Таблица 08-03-592 Патроны Таблица 08-03-593 Светильники для ламп накаливания Таблица 08-03-594 Светильники с люминесцентными лампами Таблица 08-03-595 Светильники с ртутными лампами Таблица 08-03-596 Прожекторы Таблица 08-03-597 Комплектные осветительные устройства с щелевыми световодами Таблица 08-03-598 Универсальные сборные электромонтажные конструкции (УСЭК) для светильников Таблица 08-03-599 Щитки осветительные Таблица 08-03-600 Счетчики Таблица 08-03-601 Щитки лабораторные Таблица 08-03-602 Приборы нагревательные Таблица 08-03-603 Ящики с понижающими трансформаторами Таблица 08-03-604 Звонки электрические с кнопкой Таблица 08-03-605 Вентиляторы Раздел 6. Установки театрально-зрелищных предприятий Таблица 08-03-631 Автотрансформаторы Таблица 08-03-632 Регуляторы сценические реверсивные Таблица 08-03-633 Регуляторы электрические Таблица 08-03-634 Темнители зрительного зала Таблица 08-03-635 Трансформаторы силовые (сухие) Таблица 08-03-636 Арматура осветительная сценическая Таблица 08-03-637 Арматура и приспособления для проектирования сценических эффектов Таблица 08-03-638 Щиты коммутационные сценические Таблица 08-03-639 Системы тросовые к сценическим регуляторам Таблица 08-03-640 Токоприемники кольцевые Таблица 08-03-641 Коробки с зажимами переходные и штепсельные сценические Таблица 08-03-642 Петли гибкие Отдел 04. Кабельные линии и электрооборудование специальных установок Раздел 1. Кабельные линии и электрооборудование ядерных энергоустановок и спецкорпусов АЭС Таблица 08-04-741 Муфты для силовых кабелей Таблица 08-04-742 Присоединение кабелей к вводам и оборудованию Таблица 08-04-743 Заделки концевые для контрольных кабелей Таблица 08-04-744 Кабели силовые и контрольные Таблица 08-04-745 Герметизация проходов кабелей Отдел 5. Кабельные линии и электрооборудование специальных установок для горнорудных выработок Раздел 1. Кабельные линии до 110 КВ в горнорудных выработках Таблица 08-05-001 Кабели в вертикальных стволах Таблица 08-05-002 Кабели по горизонтальным горным выработкам с бетонной и металлической крепью по установленным конструкциям с креплением Таблица 08-05-003 Кабели по наклонным горным выработкам с бетонной и металлической крепью по установленным конструкциям с креплением Таблица 08-05-004 Кабели по горизонтальным горным выработкам с бетонной и металлической крепью по установленным конструкциям без крепления Таблица 08-05-005 Кабели по наклонным горным выработкам с бетонной и металлической крепью по установленным конструкциям без крепления Таблица 08-05-006 Кабели по горизонтальным горным выработкам с установкой конструкций по деревянной крепи Таблица 08-05-007 Кабели по наклонным горным выработкам с установкой конструкций по деревянной крепи Таблица 08-05-008 Кабельные конструкции в вертикальных стволах по металлическим расстрелам штампованные Таблица 08-05-009 Кабельные конструкции в вертикальных стволах по бетонной крепи штампованные Таблица 08-05-010 Кабельные конструкции по горизонтальным и наклонным горным выработкам по металлической крепи штампованные из полосовой стали Таблица 08-05-011 Кабельные конструкции массой до 3 кг по горизонтальным и наклонным горным выработкам по породе или бетону Таблица 08-05-012 Кабельные конструкции массой свыше 3 кг по горизонтальным и наклонным горным выработкам по породе или бетону Таблица 08-05-013 Подвески штампованные массой до 0,2 кг Таблица 08-05-014 Кабельные конструкции по деревянной крепи с креплением гвоздями Таблица 08-05-015 Муфты тройниковые Раздел 2. Электрооборудование в горнорудных выработках Таблица 08-05-030 Подстанции шахтные передвижные трансформаторные Таблица 08-05-031 Трансформаторы шахтные силовые Таблица 08-05-032 Устройства распределительные высоковольтные взрывобезопасные Таблица 08-05-033 Автоматы фидерные взрывобезопасные и пускатели магнитные взрывобезопасные в шахтах горнорудных Таблица 08-05-034 Пускатели ручные взрывобезопасные Таблица 08-05-035 Кнопки управления взрывобезопасные Таблица 08-05-036 Трансформаторы шахтные осветительные и пусковые агрегаты Таблица 08-05-037 Ящики кабельные взрывобезопасные Таблица 08-05-038 Кабели в проложенных трубах Таблица 08-05-039 Кабели и провода, прокладываемые в восстающих с навеской конструкции на расстрелы Таблица 08-05-040 Кабели и провода, прокладываемые в каналах камер на установленных кронштейнах Таблица 08-05-041 Электропроводки в камерах Таблица 08-05-042 Провода и шнуры, прокладываемые в горизонтальных горных выработках Таблица 08-05-043 Конструкции металлические кабельные Таблица 08-05-044 Трубы стальные или полиэтиленовые для монтажа кабельных трасс Таблица 08-05-045 Заземления | Разработан: | Сибирский центр ценообразования в строительстве, промышленности и энергетике
| Утверждён: | 13.10.2011 Правительство Ямало-Ненецкого автономного округа (755-п)
| Принят: | 05.07.2011 Министерство регионального развития Российской Федерации (17636-АП/08)
| Расположен в: |
|
                                                                                                                                                                                                                                                  
|