Скачать ТЕР Ямало-Ненецкий автономный округ 44-2001 Часть 44. Подводно-строительные (водолазные) работы. Территориальные единичные расценки на строительные и специальные строительные работыДата актуализации: 10.08.2017 ТЕР Ямало-Ненецкий автономный округ 44-2001
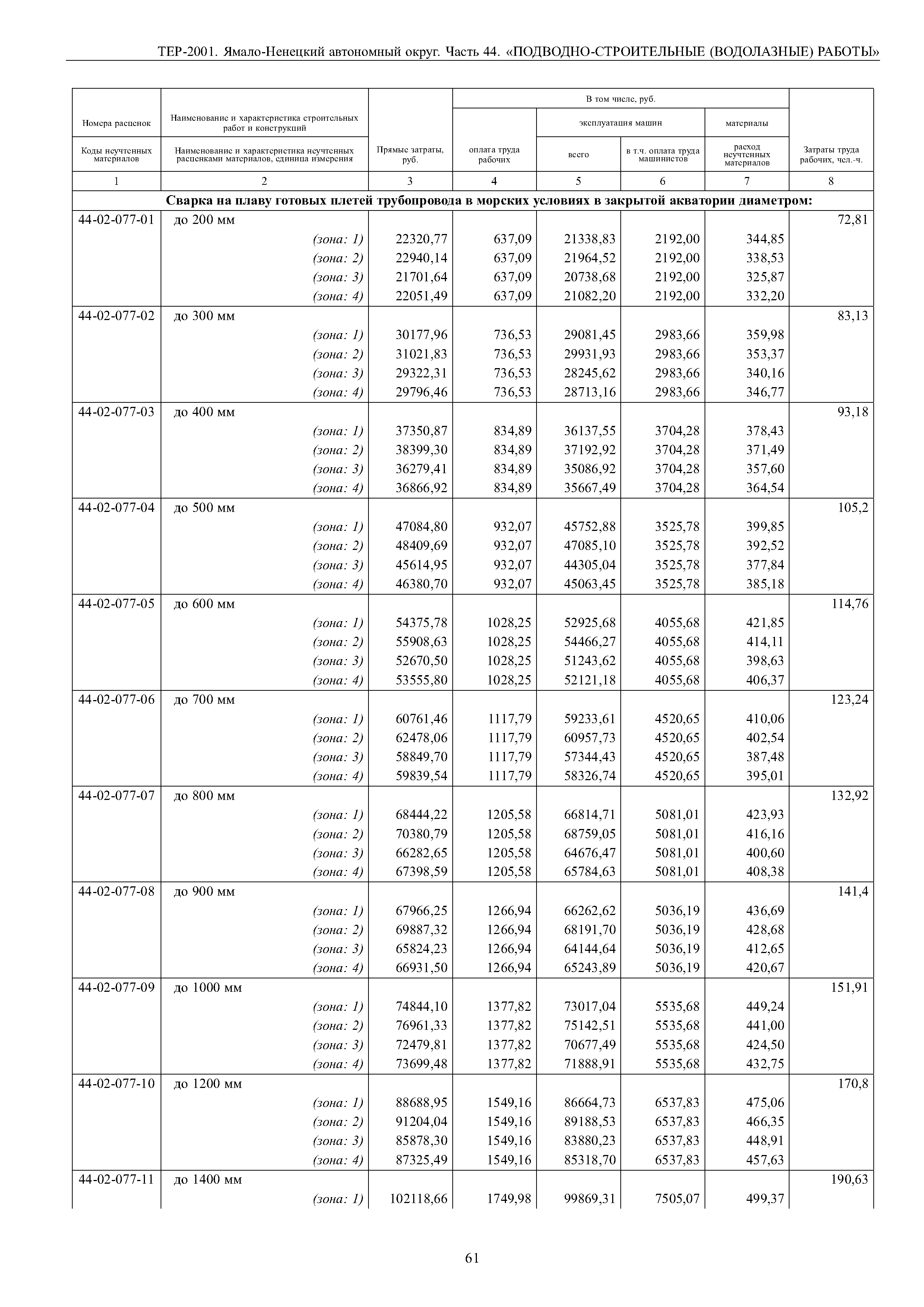
Часть 44. Подводно-строительные (водолазные) работы. Территориальные единичные расценки на строительные и специальные строительные работыОбозначение: | ТЕР Ямало-Ненецкий автономный округ 44-2001 | Обозначение англ: | 44-2001 | Статус: | действует | Название рус.: | Часть 44. Подводно-строительные (водолазные) работы. Территориальные единичные расценки на строительные и специальные строительные работы | Дата добавления в базу: | 01.10.2014 | Дата актуализации: | 05.05.2017 | Оглавление: | Отдел 01. Подводно-строительные (водолазные) работы в речных условиях (реки, озера, водохранилища) Раздел 1. Разработка грунта в речных условиях (реки, озера, водохранилища) Таблица 44-01-001 Рыхление грунта взрывами под водой в речных условиях (реки, озера, водохранилища) Таблица 44-01-002 Разработка грунта под водой водолазами с помощью гидромониторов в речных условиях (реки, озера, водохранилища) Таблица 44-01-003 Разработка грунта под водой водолазами с помощью грунтососов в речных условиях (реки, озера, водохранилища) Таблица 44-01-004 Разработка грунта под водой водолазами с помощью пневматических отбойных молотков в речных условиях (реки, озера, водохранилища) Таблица 44-01-005 Разработка грунта под водой гидромониторно-эжекторными снарядами (на отсос) в речных условиях (реки, озера, водохранилища) Таблица 44-01-006 Разработка грунта под водой землесосными снарядами (на отсос) в речных условиях (реки, озера, водохранилища) Таблица 44-01-007 Разработка грунта под водой канатно-скреперными установками в речных условиях (реки, озера, водохранилища) Таблица 44-01-008 Разработка грунта в отвал из-под воды плавучими кранами с грейферами в речных условиях (реки, озера, водохранилища) Таблица 44-01-009 Разработка грунта из-под воды в баржи плавучими кранами с грейферами с отвозкой и выгрузкой в отвал или сооружение в речных условиях (реки, озера, водохранилища) Таблица 44-01-010 Разработка грунта под водой штанговыми (черпаковыми) снарядами в речных условиях (реки, озера, водохранилища) Таблица 44-01-011 Разработка грунта под водой многочерпаковыми снарядами в речных условиях (реки, озера, водохранилища) Раздел 2. Подъем из воды разных предметов в речных условиях (реки, озера, водохранилища) Таблица 44-01-020 Подъем из воды разных предметов в речных условиях (реки, озера, водохранилища) Раздел 3. Разравнивание каменных, щебеночных (гравийных) и песчаных постелей в речных условиях (реки, озера, водохранилища) Таблица 44-01-025 Разравнивание водолазами каменных постелей под водой в речных условиях (реки, озера, водохранилища) Таблица 44-01-026 Разравнивание под водой водолазами щебеночных (гравийных) и песчаных постелей в речных условиях (реки, озера, водохранилища) Раздел 4. Подводное бетонирование в речных условиях (реки, озера, водохранилища) Таблица 44-01-030 Установка опалубки под водой в речных условиях (реки, озера, водохранилища) Таблица 44-01-031 Укладка бетона в речных условиях (реки, озера, водохранилища) Таблица 44-01-032 Оборудование и разборка плавучего сооружения для укладки бетона методом вертикально перемещаемой трубы (ВПТ) в речных условиях (реки, озера, водохранилища) Раздел 5. Подводные работы с металлическими конструкциями в речных условиях (реки, озера, водохранилища) Таблица 44-01-040 Подводная электросварка в речных условиях (реки, озера, водохранилища) Таблица 44-01-041 Подводная электродуговая резка стали в речных условиях (реки, озера, водохранилища) Таблица 44-01-042 Подводная электрокислородная резка стали и труб в речных условиях (реки, озера, водохранилища) Раздел 6. Укладка трубопроводов в речных условиях (реки, озера, водохранилища) Таблица 44-01-050 Укладка трубопроводов в подводную траншею протаскиванием по дну в речных условиях (реки, озера, водохранилища) Таблица 44-01-051 Укладка трубопроводов «труба в трубе» в подводную траншею протаскиванием по дну в речных условиях (реки, озера, водохранилища) Таблица 44-01-052 Укладка трубопроводов в подводную траншею заполнением водой (свободное погружение) в речных условиях (реки, озера, водохранилища) Таблица 44-01-053 Укладка трубопроводов в подводную траншею секциями с плавучих опор в речных условиях (реки, озера, водохранилища) Раздел 7. Укладка кабеля в речных условиях (реки, озера, водохранилища) Таблица 44-01-060 Укладка кабеля в подводную траншею в речных условиях (реки, озера, водохранилища) Таблица 44-01-061 Протаскивание конца кабеля в береговой колодец через вводную трубу в речных условиях (реки, озера, водохранилища) Раздел 8. Опускание металлических и железобетонных конструкций под воду в речных условиях (реки, озера, водохранилища) Таблица 44-01-065 Опускание металлических и железобетонных оболочек оголовков водозаборных и сбросных сооружений под воду в речных условиях (реки, озера, водохранилища) Раздел 9. Водолазное обследование речных условий (реки, озера, водохранилища) Таблица 44-01-070 Водолазное обследование дна акватории в речных условиях (реки, озера, водохранилища) Раздел 10. Перемещение и выемка камня и щебня из воды в речных условиях (реки, озера, водохранилища) Таблица 44-01-073 Перемещение и выемка камня и щебня из воды в речных условиях (реки, озера, водохранилища) Раздел 11. Сварка плетей трубопровода в речных условиях (реки, озера, водохранилища) Таблица 44-01-077 Сварка на плаву готовых плетей трубопровода в речных условиях (реки, озера, водохранилища) Раздел 12. Устроиство элементов деревянных конструкции в речных условиях (реки, озера, водохранилища) Таблица 44-01-080 Установка элементов деревянных конструкций гидротехнических сооружений под водой в речных условиях (реки, озера, водохранилища) Раздел 13. Крепление подводной части откосов в речных условиях (реки, озера, водохранилища) Таблица 44-01-083 Крепление подводной части откосов плитами с открытыми швами на подготовленные постели в речных условиях (реки, озера, водохранилища) Раздел 14. Обетонирование трубопроводов в полевых условиях Таблица 44-01-087 Обетонирование трубопроводов в полевых условиях при строительстве подводных переходов Отдел 02. Подводно-строительные (водолазные) работы в морских условиях в закрытой акватории Раздел 1. Разработка грунта в морских условиях в закрытой акватории Таблица 44-02-001 Рыхление грунта взрывами под водой в морских условиях в закрытой акватории Таблица 44-02-002 Разработка грунта под водой водолазами с помощью гидромониторов в морских условиях в закрытой акватории Таблица 44-02-003 Разработка грунта под водой водолазами с помощью грунтососов в морских условиях в закрытой акватории Таблица 44-02-004 Разработка грунта под водой водолазами с помощью пневматических отбойных молотков в морских условиях закрытой акватории Таблица 44-02-005 Разработка грунта в отвал из-под воды плавучими кранами с грейферами в морских условиях в закрытой акватории Таблица 44-02-006 Разработка грунта из-под воды в баржи плавучими кранами с грейферами с отвозкой и выгрузкой в отвал или сооружение в морских условиях в закрытой акватории Раздел 2. Подъем из воды разных предметов в морских условиях в закрытой акватории Таблица 44-02-015 Подъем из воды разных предметов в морских условиях в закрытой акватории Раздел 3. Разравнивание и уплотнение каменных, щебеночных (гравийных) и песчаных постелей в морских условиях в закрытой акватории Таблица 44-02-020 Разравнивание водолазами каменных постелей под водой в морских условиях в закрытой акватории. Таблица 44-02-021 Разравнивание под водой водолазами щебеночных (гравийных) и песчаных постелей в морских условиях в закрытой акватории Таблица 44-02-022 Уплотнение подводных каменных постелей виброуплотнением в морских условиях в закрытой акватории Таблица 44-02-023 Уплотнение подводного каменного заполнения оболочек большого диаметра в морских условиях в закрытой акватории Раздел 4. Подводное бетонирование в морских условиях в закрытой акватории Таблица 44-02-030 Установка опалубки под водой в морских условиях в закрытой акватории Таблица 44-02-031 Укладка бетона в морских условиях в закрытой акватории Таблица 44-02-032 Оборудование и разборка плавучего сооружения для укладки бетона методом вертикально перемещаемой трубы (ВПТ) в морских условиях в закрытой акватории Раздел 5. Подводные работы с металлическими конструкциями в морских условиях в закрытой акватории Таблица 44-02-040 Подводная электросварка в морских условиях в закрытой акватории Таблица 44-02-041 Подводная электродуговая резка стали в морских условиях в закрытой акватории Таблица 44-02-042 Подводная электрокислородная резка стали и труб в морских условиях в закрытой акватории Раздел 6. Укладка трубопроводов в морских условиях в закрытой акватории Таблица 44-02-050 Укладка трубопроводов в подводную траншею протаскиванием по дну в морских условиях в закрытой акватории Таблица 44-02-051 Укладка трубопроводов «труба в трубе» в подводную траншею протаскиванием по дну в морских условиях в закрытой акватории Таблица 44-02-052 Укладка трубопроводов в подводную траншею заполнением водой (свободное погружение) в морских условиях в закрытой акватории Таблица 44-02-053 Укладка трубопроводов в подводную траншею секциями с плавучих опор в морских условиях в закрытой акватории Раздел 7. Укладка кабеля в морских условиях в закрытой акватории Таблица 44-02-060 Укладка кабеля в подводную траншею в морских условиях в закрытой акватории Таблица 44-02-061 Протаскивание конца кабеля в береговой колодец через вводную трубу в морских условиях в закрытой акватории Раздел 8. Опускание металлических и железобетонных конструкций под воду в морских условиях в закрытой акватории Таблица 44-02-065 Опускание металлических и железобетонных оболочек оголовков водозаборных и сбросных сооружений под воду в морских условиях в закрытой акватории Раздел 9. Водолазное обследование в морских условиях в закрытой акватории Таблица 44-02-070 Водолазное обследование дна закрытой акватории в морских условиях Раздел 10. Перемещение и выемка камня и щебня из воды в морских условиях в закрытой акватории Таблица 44-02-073 Перемещение и выемка камня и щебня из воды в морских условиях в закрытой акватории Раздел 11. Сварка плетей трубопровода в морских условиях в закрытой акватории Таблица 44-02-077 Сварка на плаву готовых плетей трубопровода в морских условиях в закрытой акватории Раздел 12. Установка швартовных бочек в морских условиях в закрытой акватории Таблица 44-02-080 Установка на акватории швартовных бочек на железобетонных якорях в морских условиях в закрытой акватории Раздел 13. Устройство элементов деревянных конструкций в морских условиях в закрытой акватории Таблица 44-02-083 Установка элементов деревянных конструкций гидротехнических сооружений под водой в морских условиях в закрытой акватории Раздел 14. Крепление подводной части откосов в морских условиях в закрытой акватории Таблица 44-02-087 Крепление подводной части откосов плитами с открытыми швами на подготовленные постели в морских условиях в закрытой акватории Отдел 03. подводно-строительные (водолазные) работы в морских условиях открытого побережья (открытого рейда) Раздел 1. Разработка грунта в морских условиях открытого побережья (открытого рейда) Таблица 44-03-00 1 Рыхление грунта взрывами под водой в морских условиях открытого побережья (открытого рейда) Таблица 44-03-002 Разработка грунта под водой водолазами с помощью гидромониторов в морских условиях открытого побережья (открытого рейда) Таблица 44-03-003 Разработка грунта под водой водолазами с помощью грунтососов в морских условиях открытого побережья (открытого рейда) Таблица 44-03-004 Разработка грунта под водой водолазами с помощью пневматических отбойных молотков в морских условиях открытого побережья (открытого рейда) Таблица 44-03-005 Разработка грунта в отвал из-под воды плавучими кранами с грейферами в морских условиях открытого побережья (открытого рейда) Таблица 44-03-006 Разработка грунта из-под воды в баржи плавучими кранами с грейферами с отвозкой и выгрузкой в отвал или сооружение в морских условиях открытого побережья (открытого рейда) Раздел 2. Подъем из воды разных предметов в морских условиях открытого побережья (открытого рейда) Таблица 44-03-015 Подъем из воды разных предметов в морских условиях открытого побережья (открытого рейда) Раздел 3. Разравнивание и уплотнение каменных, щебеночных (гравийных) и песчаных постелей в морских условиях открытого побережья (открытого рейда) Таблица 44-03-020 Разравнивание водолазами каменных постелей под водой в морских условиях открытого побережья (открытого рейда) Таблица 44-03-021 Разравнивание под водой водолазами щебеночных (гравийных) и песчаных постелей в морских условиях открытого побережья (открытого рейда) Таблица 44-03-022 Уплотнение подводных каменных постелей виброуплотнением в морских условиях открытого побережья (открытого рейда) Таблица 44-03-023 Уплотнение подводного каменного заполнения оболочек большого диаметра в морских условиях открытого побережья (открытого рейда) Раздел 4. Подводное бетонирование в морских условиях открытого побережья (открытого рейда) Таблица 44-03-030 Установка опалубки под водой в морских условиях открытого побережья (открытого рейда) Таблица 44-03-031 Укладка бетона в морских условиях открытого побережья (открытого рейда) Таблица 44-03-032 Оборудование и разборка плавучего сооружения для укладки бетона методом вертикально перемещаемой трубы (ВПТ) в морских условиях открытого побережья (открытого рейда) Раздел 5. Подводные работы с металлическими конструкциями в морских условиях открытого побережья (открытого рейда) Таблица 44-03-040 Подводная электросварка в морских условиях открытого побережья (открытого рейда) Таблица 44-03-041 Подводная электродуговая резка стали в морских условиях открытого побережья (открытого рейда) Таблица 44-03-042 Подводная электрокислородная резка стали и труб в морских условиях открытого побережья (открытого рейда) Раздел 6. Укладка трубопроводов в морских условиях открытого побережья (открытого рейда) Таблица 44-03-050 Укладка трубопроводов в подводную траншею протаскиванием по дну в морских условиях открытого побережья (открытого рейда) Таблица 44-03-051 Укладка трубопроводов в подводную траншею заполнением водой (свободное погружение) в морских условиях открытого побережья (открытого рейда) Таблица 44-03-052 Укладка трубопроводов в подводную траншею секциями с плавучих опор в морских условиях открытого побережья (открытого рейда) Раздел 7. Укладка кабеля в морских условиях открытого побережья (открытого рейда) Таблица 44-03-060 Укладка кабеля в подводную траншею в морских условиях открытого побережья (открытого рейда). Таблица 44-03-061 Протаскивание конца кабеля в береговой колодец через вводную трубу в морских условиях открытого побережья (открытого рейда) Раздел 8. Опускание металлических и железобетонных конструкций под воду в морских условиях открытого побережья (открытого рейда) Таблица 44-03-065 Опускание металлических и железобетонных оболочек оголовков водозаборных и сбросных сооружений под воду в морских условиях открытого побережья (открытого рейда) Раздел 9. Водолазное обследование в морских условиях открытого побережья (открытого рейда) Таблица 44-03-070 Водолазное обследование дна акватории в морских условиях открытого побережья (открытого рейда) Раздел 10. Перемещение и выемка камня и щебня из воды в морских условиях открытого побережья (открытого рейда) Таблица 44-03-073 Перемещение и выемка камня и щебня из воды в морских условиях открытого побережья (открытого рейда) Раздел 11. Сварка плетей трубопровода в морских условиях открытого побережья (открытого рейда) Таблица 44-03-077 Сварка на плаву готовых плетей трубопровода в морских условиях открытого побережья (открытого рейда) Раздел 12. Установка швартовных бочек в морских условиях открытого побережья (открытого рейда) Таблица 44-03-080 Установка на акватории швартовных бочек на железобетонных якорях в морских условиях открытого побережья (открытого рейда) Раздел 13. Устройство элементов деревянных конструкций в морских условиях открытого побережья (открытого рейда) Таблица 44-03-083 Установка элементов деревянных конструкций гидротехнических сооружений под водой в морских условиях открытого побережья (открытого рейда) Раздел 14. Крепление подводной части откосов в морских условиях открытого побережья (открытого рейда) Таблица 44-03-087 Крепление подводной части откосов плитами с открытыми швами на подготовленные постели в морских условиях открытого побережья (открытого рейда) | Разработан: | Сибирский центр ценообразования в строительстве, промышленности и энергетике
| Утверждён: | 13.10.2011 Правительство Ямало-Ненецкого автономного округа (755-п)
| Принят: | 05.07.2011 Министерство регионального развития Российской Федерации (17636-АП/08)
| Расположен в: |
|
                                                                                           
|